- 圆锥曲线中的探索性问题
- 共76题
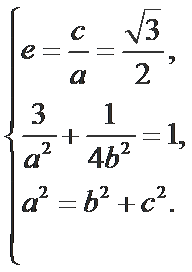
22.设






(1)对任意





(2)若点


(3)对(1)中点







正确答案
(1)直线






(2)若点


(方法1)两边同除以

∴点

(方法2) 设

得
即


(3)(方法1)设

由
① 当直线
设


②当直线
设



即原点到直线


∴直线

(方法2)设

则
即
注意到圆

∴
即原点到直线

∴直线

解析
解析已在路上飞奔,马上就到!
知识点
18. 已知点






(1)求动点P所在曲线C的方程;
(2)直线



(3)记






正确答案
解析
解析已在路上飞奔,马上就到!
知识点
21.已知:向量

(1)求动点 M 的轨迹 C 的方程;
(2)已知直线







正确答案
解:设点
∵
∴
∴点 M 的轨迹C是以
∴
∴ 动点M 的轨迹 C的方程为
(2)
由(1)知,轨迹C是椭圆

设满足条件的直线



则直线

将①代入椭圆方程并整理得:


将②代入椭圆方程并整理得:

由△BDE是等腰直角三角形得
∴

∵方程④

∴即满足条件的直线

解析
解析已在路上飞奔,马上就到!
知识点
20. 已知F(







(Ⅰ)求抛物线方程和N点坐标;
(Ⅱ)判断直线




正确答案
见解析
解析
(Ⅰ)由题意

故抛物线方程为
由|NF|=

∵
∴
所以N(2,2)。
(Ⅱ)由题意知直线的斜率不为0,则可设直线

联立方程组

设两个交点A(





由

此时,
故直线


因为M(2,-2),
所以M,E所在直线平行x轴,
所以△MAB的面积



考查方向
解题思路
建立适当的坐标系,利用直线斜率之间的关系建立方程,进而求解,与抛物线联立成方程组,整理可得。
易错点
计算能力弱,找不到面积最小时候的情况
知识点
20.已知点







(I)求椭圆C的方程;
(Ⅱ)椭圆C上是否存在一点


正确答案
(I)
(Ⅱ)存在直线

解析
(I)由题意得

所以椭圆
(Ⅱ)(1)当直线




(2)当直线



设




由直线


因此


所以直线

综上,椭圆C上存在点




考查方向
解题思路
第一问直接根据离心率得到

第二问设直线方程,别忘了考虑斜率不存在的情况,然后根据


易错点
1、在第二问设斜率的时候没有考虑斜率不存在的情况;
2、在第二问中计算出错
知识点
扫码查看完整答案与解析































