- 圆锥曲线中的探索性问题
- 共76题
20.设椭圆



(Ⅰ)求椭圆
(Ⅱ)是否存在圆心在原点的圆,使得该圆的任意一条切线与椭圆


正确答案
(Ⅰ)
(Ⅱ)
解析
试题分析:本题是直线与圆锥曲线的常见题型,运算量较大。此类问题往往要用到韦达定理,设而不求等方法技巧,把几何关系转化为代数运算。
(Ⅰ)因为




(Ⅱ)若存在满足题意的定圆,设该定圆半径为









①由上述讨论可知,切线







②当切线不与



则圆心


由

所以


所以,
所以,
所以
综上所述,存在定圆



考查方向
解题思路
本题主要考查椭圆的标准方程和几何性质,直线与椭圆的交点,直线斜率等基础知识,解题步骤如下:
(Ⅰ)把点的坐标代入,求出椭圆方程;
(Ⅱ)通过分析得出圆方程,然后对切线与X轴垂直与否,进行分类讨论,推理,得出答案。
易错点
(Ⅰ)得出定圆方程
(Ⅱ)对切线与X轴垂直与否,不能进行分类说明。
知识点
20.已知椭






正确答案
(1)
(2)
解析
试题分析:本题属于解析几何的基本问题,题目的难度是逐渐由易到难,
(1)直接按照步骤来求
(2)要注意计算的准确性,利用三点共线解题
(1)由题意得


(2)设

由

由A,P,M三点共线可知,

所以
考查方向
本题考查了椭圆的集合性质和直线与椭圆的位置关系
解题思路
(1)由已知条件推导出
(2)设设


易错点
1、第一问中的易丢对a的分类讨论。
2、第二问计算的准确性;
知识点
正确答案
知识点
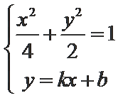
19.




(Ⅰ)求椭圆
(Ⅱ)若点



的另一个交点为


若存在,求出点
正确答案
(Ⅰ)
(Ⅱ)不存在
解析
(Ⅰ)因为椭圆


令


又离心率为


所以
所以

(Ⅱ)法一



与椭圆方程联

化简得到
因为
所以
所以
所以
因为圆心到直线

所以
因为
代入得到
显然


法二:设点


与椭圆方程联立得
化简得到


显然
所以另一个根,
即
由
因为圆心到直线

所以
因为
代入得到
若


所以不存在直线

法三:假设存在点



显然直线


由

由

所以
同理可得
所以由

则

所以不存在直线

考查方向
本题主要考察了椭圆的方程与直线与椭圆的位置关系问题:
一是会用待定系数法求椭圆的方程;
二是会用熟悉用根与系数的关系解决直线和圆锥曲线的位置关系问题。
易错点
1、本题易在用待定系数法用错导致圆锥曲线方程算错。
2、本题用根与系数的关系时运算出错导致后面全部错误。
知识点
21.已知椭圆



(1)求椭圆
(2)在椭圆











正确答案
(1)
(2)定值为4.
解析
(1)
(2)当
故设









由



故


考查方向
本题主要考查直线与椭圆的位置关系和性质。
解题思路
设出直线方程,与椭圆方程联立,巧用韦达定理设而不求。
易错点
第二问中运算较烦,学生没有耐心,不细心,所以很容易出错。
知识点
扫码查看完整答案与解析














