- 三角函数的周期性及其求法
- 共131题
1
题型:
单选题
|
9.函数
正确答案
A
解析
解析已在路上飞奔,马上就到!
知识点
三角函数的周期性及其求法正弦函数的奇偶性诱导公式的作用二倍角的余弦
1
题型:简答题
|
17.已知函数
(Ⅰ)求
(Ⅱ)记




正确答案
解析
解析已在路上飞奔,马上就到!
知识点
三角函数的周期性及其求法三角函数中的恒等变换应用余弦定理
1
题型:
单选题
|
8.关于函数
正确答案
D
解析
解析已在路上飞奔,马上就到!
知识点
三角函数的周期性及其求法正弦函数的定义域和值域正弦函数的单调性三角函数中的恒等变换应用
1
题型:简答题
|
17.已知函数y=

(1) 求ω 的值;
(2) 当0≤x≤
正确答案
解析
解析已在路上飞奔,马上就到!
知识点
三角函数的周期性及其求法三角函数中的恒等变换应用三角函数的最值
1
题型:简答题
|
16.在


(1)求角B的大小;
(2)设




正确答案
解析
解析已在路上飞奔,马上就到!
知识点
三角函数的周期性及其求法三角函数中的恒等变换应用正弦定理三角函数的最值平行向量与共线向量
1
题型:简答题
|
16.在



(1)求角B的大小;
(2)设



正确答案
解析
解析已在路上飞奔,马上就到!
知识点
三角函数的周期性及其求法三角函数中的恒等变换应用正弦定理三角函数的最值平行向量与共线向量
1
题型:
单选题
|
15.已知函数
正确答案
B
解析
解析已在路上飞奔,马上就到!
知识点
三角函数的周期性及其求法正弦函数的奇偶性
1
题型:
单选题
|
16.函数

正确答案
D
解析
解析已在路上飞奔,马上就到!
知识点
函数零点的判断和求解三角函数的周期性及其求法
1
题型:简答题
|
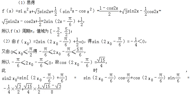
15.已知函数
(1)求f(x)的最小正周期和值域;
(2)若x=x0
正确答案
解析
解析已在路上飞奔,马上就到!
知识点
三角函数的周期性及其求法正弦函数的定义域和值域三角函数中的恒等变换应用
1
题型:
单选题
|
6.函数
正确答案
B
解析
解析已在路上飞奔,马上就到!
知识点
三角函数的周期性及其求法三角函数中的恒等变换应用
下一知识点 : 正弦函数的图象
扫码查看完整答案与解析



























