- 函数的单调性及单调区间
- 共89题
设函数

(1)讨论
(2)若








正确答案
见解析
解析
(1)
令
当

故f(x)在(0,+
当



故f(x)在(0,+
当



当


当

故f(x)分别在


(2)由(1)知

又由(1)知,

若存在m,使得
即
即

再由(1)知,函数
在


这与(*)式矛盾,故不存在m,使得
知识点
已知函数
(1)求此函数的单调区间及最值;
(2)求证:对于任意正整数n,均有

(3)当a=1时,是否存在过点(1,-1)的直线与函数
正确答案
见解析
解析
解析:(1)由题意
当


此时函数在


当


此时函数在


(2)取

故
取

(3)假设存在这样的切线,设其中一个切点
∴切线方程:



设






故
又
注意到


方程①有且仅有一解,故符合条件的切线有且仅有一条…………14分
知识点
已知函数
(1)当

(2)当




正确答案
见解析
解析
解析:(1)


故只需讨论
所以 ① 当



② 当


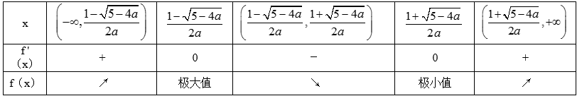
当x变化时, f '(x)和f(x)的变化情况如下表:
∴f(x)在


(2)


即

首先


考虑











综上
知识点
已知函数
(1)求
(2)若

正确答案
见解析
解析

(1)由

所以,

(2)由





所以实数

知识点
在△ABC中,角A,B,C的对边分别是a、b、c,已知向量
(1)求角A的大小;
(2)若
正确答案
见解析。
解析
(1) 因为m//n.,所以,

所以
即
所以,sin(A+B)=2sinCcosA
又A+B+C=

所以cosA=


(2)由余弦定理,得:
16=
当且仅当b=c=4时,上式取“=“,
所以,△ABC面积为S=

所以△ABC面积的最大值为4
知识点
设函数f(x)=(x+2)2-2ln(x+2)。
(1)求f(x)的单调区间;
(2)若关于x的方程f(x)=x2+3x+a在区间[-1,1]上只有一个实数根,求实数a的取值范围。
正确答案
见解析
解析
解析:(1)函数


所以 当



故


(注: -1处写成“闭的”亦可)
(2)由

令

所以



故


要使方程

解之得
所以实数

知识点
设函数f (x)=ln x+

(1) 求实数a的取值范围;
(2)若x1∈(0,1),x2∈(1,+

(注:e是自然对数的底数)
正确答案
见解析
解析
(1)


由


不妨设



解得
(2)由

由

得




由

由

所以
因为

所以

记

则

所以
知识点
已知a∈R,函数

(1)判断函数f(x)在
(2)是否存在实数




(3)若实数


正确答案
见解析
解析
解析:(1)∵


①若



②若




当



③若



(2)解:∵


由(1)易知,当





又

曲线



而

(3)证明:




知识点
已知函数

(1)讨论函数f(x)的单调性;
(2)当
正确答案
见解析
解析
解:(1)


当




同理,单减区间为
当



当




同理,单减区间为
(2)当



所以,
知识点
如图,已知幂函数y=xa的图象过点P(2,4),则图中阴影部分的面积等于( )
正确答案
解析
∵ 幂函数y=xa的图象过点P(2,4),
∴ 4=2a,
∴ a =2
∴ 幂函数为y=x2,
∴ 阴影部分的面积等于
故选B。
知识点
扫码查看完整答案与解析










































