- 圆锥曲线的定点、定值问题
- 共61题
1
题型:简答题
|
19.已知椭圆





(1)求
(2)过曲线






若


正确答案
解析
解析已在路上飞奔,马上就到!
知识点
椭圆的定义及标准方程抛物线的定义及应用圆锥曲线的定点、定值问题直线、圆及圆锥曲线的交汇问题
1
题型:简答题
|
20.已知椭圆C:


(Ⅰ)求椭圆C的标准方程
(Ⅱ)若直线L:
求证:
正确答案
解析
解析已在路上飞奔,马上就到!
知识点
椭圆的定义及标准方程圆锥曲线的定点、定值问题直线、圆及圆锥曲线的交汇问题
1
题型:简答题
|
20.已知点






(1)求椭圆
(2)若







正确答案
解析
解析已在路上飞奔,马上就到!
知识点
椭圆的定义及标准方程圆锥曲线的定点、定值问题直线、圆及圆锥曲线的交汇问题
1
题型:简答题
|
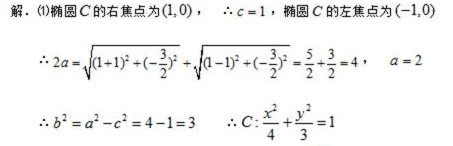
20.已知椭圆



(1)求椭圆C的方程;
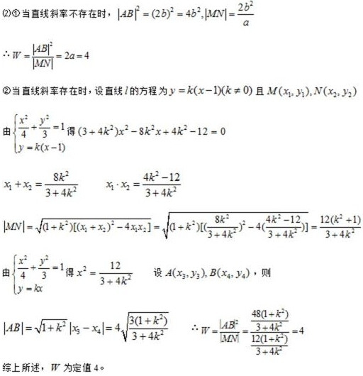
(2)求
(3)若B点在于x轴的对称点是E,证明:直线AE与x轴相交于定点。
正确答案
(1)解:由题意知
∴
又
∴
故椭圆的方程为
(2)解:由题意知直线l的斜率存在,设直线l的方程为
由

由
得:
设A(x1,y1),B (x2,y2),则
∴
解析
解析已在路上飞奔,马上就到!
知识点
直线与圆的位置关系椭圆的定义及标准方程圆锥曲线的定点、定值问题直线、圆及圆锥曲线的交汇问题
1
题型:简答题
|
21.已知椭圆C的离心率
(I)求椭圆C的方程;
(II)设直线x=my+1与椭圆C交于P,Q两点,直线A1P与A2Q交于点S,试问:当m变化时,点S是否恒在一条定直线上?若是,请写出这条直线方程,并证明你的结论;若不是,请说明理由.
正确答案
解析
解析已在路上飞奔,马上就到!
知识点
椭圆的定义及标准方程圆锥曲线的定点、定值问题圆锥曲线中的探索性问题直线、圆及圆锥曲线的交汇问题
下一知识点 : 圆锥曲线中的探索性问题
扫码查看完整答案与解析
















