- 圆锥曲线的定点、定值问题
- 共61题
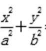
在平面直角坐标系xOy中,点C在椭圆M:



20.求椭圆M的离心率;
21.设椭圆M的焦距为4,P,Q是椭圆M上不同的两点,线段PQ的垂直平分线为直线l,且直线l不与y轴重合.
①若点P(-3,0),直线l过点(0,-
②若直线l过点(0,-1) ,且与x轴的交点为D,求D点横坐标的取值范围.
正确答案
(1)
解析
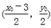
解:(1)设C (x0,y0),则



因为





得
代入椭圆方程得a2=
因为a2-b2=c2,所以e=
考查方向
解题思路
本题考查直线与椭圆位置关系,解题步骤如下:
(1)设C(m,n),由向量共线的坐标表示,可得C的坐标,代入椭圆方程,可得a,b的关系,
再由离心率公式计算即可得到所求值;
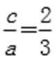
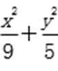
(2)①由题意可得c=2,a=3, b2=5,可得椭圆方程,设直线PQ的方程为y=k(x+3),代入椭圆方程,运用韦达定理和中点坐标公式,再由两直线垂直的条件:斜率之积为-1,解方程可得k,进而得到所求直线方程;
②设直线PQ的方程为y=kx+m,代入椭圆方程可得,运用韦达定理和中点坐标公式,再由两直线垂直的条件,求得4m=5+9k2,再由中点在椭圆内,可得k的范围,再由直线l的方程可得D的横坐标的范围.
易错点
第二问容易计算错误
正确答案
(2)①y=-x+




解析
解:(2)①因为c=2,所以a2=9,b2=5,所以椭圆的方程为
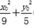
设Q (x0,y0),则
因为点P(-3,0),所以PQ中点为
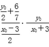
因为直线l过点(0,-
所以
化简得x02=9-y02-
将②代入①化简得y02-

将y0=



所以PQ斜率为1或

所以直线l的方程为y=-x+


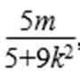
②设PQ:y=kx+m,则直线l的方程为:y=-
将直线PQ的方程代入椭圆的方程,消去y得(5+9k2)x2+18kmx+9m2-45=0.…………①,
设P(x1,y1),Q(x2,y2),中点为N,
xN=


代入直线l的方程得9k2=4m-5. ……②
又因为△=(18km)2-4(5+9k2) (9m2-45)>0,
化得m2-9k2-5<0.
将②代入上式得m2-4m<0,解得0<m<4,
所以-



综上所述,点D横坐标的取值范围为(-

考查方向
解题思路
本题考查直线与椭圆位置关系,解题步骤如下:
(1)设C(m,n),由向量共线的坐标表示,可得C的坐标,代入椭圆方程,可得a,b的关系,
再由离心率公式计算即可得到所求值;
(2)①由题意可得c=2,a=3, b2=5,可得椭圆方程,设直线PQ的方程为y=k(x+3),代入椭圆方程,运用韦达定理和中点坐标公式,再由两直线垂直的条件:斜率之积为-1,解方程可得k,进而得到所求直线方程;
②设直线PQ的方程为y=kx+m,代入椭圆方程可得,运用韦达定理和中点坐标公式,再由两直线垂直的条件,求得4m=5+9k2,再由中点在椭圆内,可得k的范围,再由直线l的方程可得D的横坐标的范围.
易错点
第二问容易计算错误
如图,椭圆E:







25.求椭圆E的方程;
26.在平面直角坐标系

正确答案

解析
由已知,点
因此,
解得
所以椭圆的方程为
考查方向
解题思路
根据椭圆的对称性,当直线







易错点
不会转化题中给出的条件
正确答案
存在,Q点的坐标为
解析
当直线



如果存在定点Q满足条件,则

所以Q点在y轴上,可设Q点的坐标为
当直线


则
由



所以,若存在不同于点P的定点Q满足条件,则Q点的坐标

下面证明:对任意的直线

当直线
当直线



联立

其判别式
所以,
因此
易知,点B关于y轴对称的点的坐标为
又
所以

所以
故存在与P不同的定点

考查方向
解题思路
先利用










易错点
想不到先解决特色情况再证明一般情况。
已知




24.求

25.如图5所示,过


(点



正确答案
(1)

解析
(Ⅰ)由点




抛物线的方程为


考查方向
解题思路
1.先利用抛物线定义求出p,然后将点M的坐标带入求解即可;2.设出直线



易错点
不会利用抛物线的定义转化题中的条件



正确答案
(2)略
解析
(Ⅱ):显然直线

分别设


联立

联立

设



则


故

注意到点


故得



考查方向
解题思路
1.先利用抛物线定义求出p,然后将点M的坐标带入求解即可;2.设出直线



易错点
1.不会利用抛物线的定义转化题中的条件



已知椭圆


且 
23.求椭圆E的方程;
24.过点P的直线
(i)若

(ii)在y轴上是否存在与点P不同的定点Q,使得
正确答案
考查方向
解题思路
由题意,根据数量积求得方程中的待定的a,b.(2).按照解析几何的常规思路求解,
先讨论直线方程的斜率问题,然后联系方程组,求方程的
易错点
解析几何易出现对于直线方程的分类讨论上的错,再就是直线与曲线联系以后,寻求变量之间的联系时,易出现转化和计算,代数整理上的错误。
正确答案
解析
解:(1)当直线不存在斜率时,|PB|=


考查方向
解题思路
也是要讨论直线方程的斜率两种情况,假设存在,Q,使得
易错点
解析几何易出现对于直线方程的分类讨论上的错,再就是直线与曲线联系以后,寻求变量之间的联系时,易出现转化和计算,代数整理上的错误。
如图,已知椭圆



22.求椭圆
23. 若过点






正确答案
解析
解: 由已知可得, 
所求椭圆的方程为
考查方向
解题思路
列出a,b,c方程, 直接求椭圆的标准方程
易错点
解析几何易出现对于直线方程的分类讨论上的错误,其次就是直线与曲线联系以后,寻求变量之间的关系时,易出现转化、计算、代数整理的错误。
正确答案
直线

解析
解:设切线方程为


设两切线



由


同理可得:
所以




故直线

考查方向
解题思路
首先根据直线与圆相切得出
易错点
解析几何易出现对于直线方程的分类讨论上的错误,其次就是直线与曲线联系以后,寻求变量之间的关系时,易出现转化、计算、代数整理的错误。
已知椭圆



求椭圆
设椭圆











为定值,并求出该定值.
正确答案

解析
试题分析:本题属于圆锥曲线的基本问题,题目的难度是逐渐由易到难,由方程思想求解出标准方程;
解法一:由题意得










考查方向
解题思路
本题考查圆锥曲线中求标准方程的方法和定值问题,解题步骤如下:由方程思想求解出标准方程;
易错点
无法理顺题设的关系导致解题受阻。
正确答案
解析
试题分析:本题属于圆锥曲线的基本问题,题目的难度是逐渐由易到难,根据题设求出














而


所以


解法二:由(Ⅰ)可知

直线



直线






所以



考查方向
解题思路
本题考查圆锥曲线中求标准方程的方法和定值问题,解题步骤如下:构建
易错点
无法理顺题设的关系导致解题受阻。
已知椭圆




24.求直线

25.过点






正确答案
直线


解析
由题可得

则有
考查方向
解题思路
解题步骤如下:由椭圆的方程,可得到A ,B两点的坐标,设出点P(x,y),即可表示出直线

易错点
本题是综合性比较强的大题,涉及到的的知识点比较多,计算量较大,所以在计算时易发生错误 。
正确答案
见解析
解析
设





由题意,可知


∴


考查方向
解题思路
解题步骤如下:要证明以





易错点
本题是综合性比较强的大题,涉及到的的知识点比较多,计算量较大,所以在计算时易发生错误 。
已知椭圆




24.求直线


25.设









正确答案
直线


解析



考查方向
解题思路
解题步骤如下:由椭圆的方程,可得到A ,B两点的坐标,设出点P(x,y),即可表示出直线

易错点
本题是综合性比较强的大题,涉及到的的知识点比较多,计算量较大,所以在计算时易发生错误 。
正确答案
存在
解析
【解析】令




由




将(*)式代入上式,得
即
展开,得
整理,得


经检验,


考查方向
解题思路
解题步骤如下:要满足以





易错点
本题是综合性比较强的大题,涉及到的的知识点比较多,计算量较大,所以在计算时易发生错误 。
已知






23.求该椭圆的离心率;
24.设

正确答案
.e=
解析
当线段A


因为cos∠







考查方向
解题思路
先证出

易错点
解析几何易出现对于直线方程的分类讨论上的错,其次就是直线与曲线联系以后,寻求向量、坐标、常数、参数之间的联系时,易出现转化和计算、代数整理上的错误。
正确答案


解析
由23得椭圆方程为
(1) 当AB、AC的斜率都存在时,设,A(


则直线AC的方程为y=






(2) 若AB⊥x轴,则



综上所述,

考查方向
解题思路
由23得到含有b的椭圆方程,根据题意对直线AB、AC的斜率进行分为讨论,设出坐标,联立方程组,利用根与系数关系,结合向量关系式,将向量关系转化为坐标关系,用A的坐标及b,表求

易错点
解析几何易出现对于直线方程的分类讨论上的错,其次就是直线与曲线联系以后,寻求向量、坐标、常数、参数之间的联系时,易出现转化和计算、代数整理上的错误。
已知






24.求该椭圆的离心率;
25.设

正确答案
.e=
解析
当线段A


因为cos∠







考查方向
解题思路
先证出

易错点
解析几何易出现对于直线方程的分类讨论上的错,其次就是直线与曲线联系以后,寻求向量、坐标、常数、参数之间的联系时,易出现转化和计算、代数整理上的错误。
正确答案


解析
由24得椭圆方程为




则直线AC的方程为y=






(2) 若AB⊥x轴,则



综上所述,

考查方向
解题思路
由24得到含有b的椭圆方程,根据题意对直线AB、AC的斜率进行分为讨论,设出坐标,联立方程组,利用根与系数关系,结合向量关系式,将向量关系转化为坐标关系,用A的坐标及b,表求

易错点
解析几何易出现对于直线方程的分类讨论上的错,其次就是直线与曲线联系以后,寻求向量、坐标、常数、参数之间的联系时,易出现转化和计算、代数整理上的错误。
扫码查看完整答案与解析




















































