- 导数的乘法与除法法则
- 共1249题
已知函数

正确答案
解析
略
知识点
“


正确答案
解析
略
知识点
已知函数



(1)求



正确答案
见解析。
解析
(1)由

又∵

(2)由

∵

∴
知识点
对甲、乙两名篮球运动员分别在
(1)估计甲在一场比赛中得分不低于
(2)判断甲、乙两名运动员哪个成绩更稳定;(结论不要求证明)
(3)在乙所进行的







正确答案
见解析
解析
(1)
(2)甲更稳定, ………………5分
(3)按照分层抽样法,在
内抽出的比赛场数分别 为






知识点
对任意两个非零的平面向量









正确答案
解析
略
知识点
下图是一个几何体的三视图,则该几何体的体积是()
正确答案
解析
略
知识点
对于函数

正确答案
解析
略
知识点
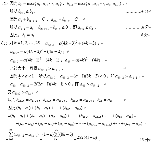
对于项数为








(1)若各项均为正整数的数列


(2)设



求证:
(3)设




求
正确答案
见解析
解析
知识点
在实数集






正确答案
解析
略
知识点
如图3,圆


正确答案
解析
略
知识点
扫码查看完整答案与解析












































