- 根据实际问题选择函数类型
- 共10题
15.某商品一直打7折出售,利润率为

正确答案
解析
解析已在路上飞奔,马上就到!
知识点
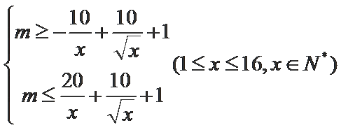
17. 某油库的设计容量为30万吨,年初储量为10万吨,从年初起计划每月购进石油 




(1)试写出第


(2)要使16个月内每月按计划购进石油之后,油库总能满足区域内和区域外的需求,且每月石油调出后,油库的石油剩余量不超过油库的容量,试确定
正确答案
见解析
解析
解:(1)
(2)根据题意
所以
即 
考查方向
解题思路
本题考查函数不等式的应用.解题步骤如下:
(1)求出函数表达式。
(2)根据函数值域,列出不等式。
(3)用换元法求出
易错点
不等式恒成立分析不够
知识点
如图,某人在垂直于水平地面ABC的墙面前的点A处进行射击训练.已知点A到墙面的距离为AB,某目标点P沿墙面上的射击线CM移动,此人为了准确瞄准目标点P,需计算由点A观察点P的仰角





正确答案
解析
∵AB=15cm,AC=25cm,∠ABC=90°,∴BC=20cm,
过P作PP′⊥BC,交BC于P′,
1当P在线段BC上时,连接AP′,则
设BP′=x,则CP′=20-x,(
由∠BCM=30°,得
在直角△ABP′中,
∴
令
∴x=0时,
2当P在线段CB的延长线上时,连接AP′,则
设BP′=x,则CP′=20+x,(
由∠BCM=30°,得
在直角△ABP′中,
∴
令

所以,当


所以当
此时

综合1,2可知
知识点
设







正确答案
解析
略
知识点
20.小明同学制作了一个简易的网球发射器,可用于帮忙练习定点接发球,如图1所示,网球场前半区、后半区总长为23.77米,球网的中间部分高度为0.914米,发射器固定安










正确答案
(1)由




(Ⅱ)网球发过球网,满足
所以

因此

依题意:关于k的方程 

即

得

解析
本题是函数的应用,将实际问题与函数联系起来,有利于学生对函数的理解。
考查方向
函数的应用
解题思路
最大射程就是最大值,是网球落地的横坐标
易错点
实际问题和函数模型的转换
知识点
扫码查看完整答案与解析




























