- 真题试卷
- 模拟试卷
- 预测试卷
葡萄糖是人体所需的一种单糖。下列关于人体内葡萄糖的叙述,错误的是( )
正确答案
我国劳动人民在漫长的历史进程中,积累了丰富的生产、生活经验,并在实践中应用。生产和生活中常采取的一些措施如下。
①低温储存,即果实、蔬菜等收获后在低温条件下存放
②春化处理,即对某些作物萌发的种子或幼苗进行适度低温处理
③风干储藏,即小麦、玉米等种子收获后经适当风干处理后储藏
④光周期处理,即在作物生长的某一时期控制每天光照和黑暗的相对时长
⑤合理密植,即裁种作物时做到密度适当,行距、株距合理
⑥间作种植,即同一生长期内,在同一块土地上隔行种植两种高矮不同的作物
关于这些措施,下列说法合理的是( )
正确答案
人体内的免疫细胞是体液免疫和细胞免疫过程的重要参与者。下列叙述正确的是( )
①免疫细胞表面的受体可识别细菌、病毒等入侵机体的病原体
②树突状细胞能够处理和呈递抗原,淋巴细胞不能呈递抗原
③辅助性T细胞参与体液免疫过程而不参与细胞免疫过程
④体液免疫可产生记忆B细胞,细胞免疫可产生记忆T细胞
⑤某些致病细菌感染人体既可引发体液免疫又可引发细胞免疫
正确答案
为了研究和保护我国东北地区某自然保护区内的野生哺乳动物资源,研究人员采用红外触发相机自动拍摄技术获得了该保护区内某些野生哺乳动物资源的相应数据,为生态学研究提供了相关依据。下列叙述错误的是( )
正确答案
某研究小组从野生型高秆(显性)玉米中获得了2个矮秆突变体,为了研究这2个突变体的基因型,该小组让这2个矮秆突变体(亲本)杂交得



正确答案
某同学拟用限制酶(酶1、酶2、酶3和酶4)、DNA连接酶为工具,将目的基因(两端含相应限制酶的识别序列和切割位点)和质粒进行切割、连接,以构建重组表达载体。限制酶的切割位点如图所示。
下列重组表达载体构建方案合理且效率最高的是( )
正确答案
化学在文物的研究和修复中有重要作用。下列说法错误的是
正确答案
光学性能优良的高分子材料聚碳酸异山梨醇酯可由如下反应制备。
下列说法错误的是
正确答案
一种可吸附甲醇的材料,其化学式为

下列说法正确的是
正确答案
一种以





正确答案
根据实验操作及现象,下列结论中正确的是
正确答案
“肼合成酶”以其中



下列说法错误的是
正确答案
向





所示(其中M代表



下列说法错误的是
正确答案
船上的人和水下的潜水员都能听见轮船的鸣笛声。声波在空气中和在水中传播时的( )
正确答案
无风时,雨滴受空气阻力的作用在地面附近会以恒定的速率竖直下落。一质量为m的雨滴在地面附近以速率v下落高度h的过程中,克服空气阻力做的功为(重力加速度大小为g)( )
正确答案
铯原子基态的两个超精细能级之间跃迁发射的光子具有稳定的频率,铯原子钟利用的两能级的能量差量级为

正确答案
2023年5月,世界现役运输能力最大的货运飞船天舟六号,携带约5800 kg的物资进入距离地面约400 km(小于地球同步卫星与地面的距离)的轨道,顺利对接中国空间站后近似做匀速圆周运动。对接后,这批物资( )
正确答案


正确答案
使甲、乙两条形磁铁隔开一段距离,静止于水平桌面上,甲的N极正对着乙的S极,甲的质量大于乙的质量,两者与桌面之间的动摩擦因数相等。现同时释放甲和乙,在它们相互接近过程中的任一时刻( )
正确答案


正确答案
2
正确答案
在“观察电容器的充、放电现象”实验中,所用器材如下:电池、电容器、电阻箱、定值电阻、小灯泡、多用电表、电流表、秒表、单刀双掷开关以及导线若干。
(1)用多用电表的电压挡检测电池的电压。检测时,红表笔应该与电池的_______(填“正极”或“负极”)接触。
(2)某同学设计的实验电路如图(a)所示。先将电阻箱的阻值调为
--A迅速变亮,然后亮度趋于稳定
--B亮度逐渐增大,然后趋于稳定
--C迅速变亮,然后亮度逐渐减小至熄灭




正确答案
(1)正极 (2)C (3)
一学生小组做“用单摆测量重力加速度的大小”实验。
(1)用实验室提供的螺旋测微器测量摆球直径。首先,调节螺旋测微器,拧动微调旋钮使测微螺杆和测砧相触时,发现固定刻度的横线与可动刻度上的零刻度线未对齐,如图(a)所示,该示数为________mm;螺旋测微器在夹有摆球时示数如图(b)所示,该示数为_______mm,则摆球的直径为________mm。
(2)单摆实验的装置示意图如图(c)所示,其中角度盘需要固定在杆上的确定点O处,摆线在角度盘上所指的示数为摆角的大小。若将角度盘固定在 O点上方,则摆线在角度盘上所指的示数为

(3)某次实验所用单摆的摆线长度为 81.50cm,则摆长为_______cm。实验中观测到从摆球第1次经过最低点到第 61次经过最低点的时间间隔为54.60s,则此单摆周期为_______s,该小组测得的重力加速度大小为_______

正确答案
(1)0.006~0.008;20.034~20.036;20.026~20.030
(2)大于 (3)82.50;1.82;9.83
铬和钒具有广泛用途。铬钒渣中铬和钒以低价态含氧酸盐形式存在,主要杂质为铁、铝、硅、磷等的化合物,从铬钒渣中分离提取铬和钒的一种流程如下图所示:
已知:最高价铬酸根在酸性介质中以

回答下列问题:
(1)煅烧过程中,钒和铬被氧化为相应的最高价含氧酸盐,其中含铬化合物主要为_______(填化学式)。
(2)水浸渣中主要有
(3)“沉淀”步骤调
(4)“除硅磷”步骤中,使硅、磷分别以



(5)“分离钒”步骤中,将溶液







--A酸性 --B碱性 --C两性
(6)“还原”步骤中加入焦亚硫酸钠
正确答案
(1)
(2)
(3)
(4)不能形成

(5)C
(6)
实验室由安息香制备二苯乙二酮的反应式如下:
相关信息列表如下:
装置示意图如下图所示,实验步骤为:
①在圆底烧瓶中加入
②停止加热,待沸腾平息后加入

③加入
④过滤,并用冷水洗涤固体3次,得到粗品。
⑤粗品用

回答下列问题:
(1)仪器A中应加入_______(填“水”或“油”)作为热传导介质。
(2)仪器B
(3)实验步骤②中,安息香必须待沸腾平息后方可加入,其主要目的是_______。
(4)在本实验中,

(5)本实验步骤①~③在乙酸体系中进行,乙酸除作溶剂外,另一主要作用是防止_______。
(6)若粗品中混有少量未氧化的安息香,可用少量_______洗涤的方法除去(填标号)。若要得到更高纯度的产品,可用重结晶的方法进一步提纯。
a.热水 b.乙酸 c.冷水 d.乙醇
(7)本实验的产率最接近于_______(填标号)。
a.85% b.80% c.75% d.70%
正确答案
(1)油
(2)球形冷凝管;a
(3)防暴沸
(4)


(5)溶解安息香,防止安息香析出
(6)a
(7)b
氨是最重要的化学品之一,我国目前氨的生产能力位居世界首位。回答下列问题:
(1)根据图1数据计算反应
(2)研究表明,合成氨反应在


(3)合成氨催化剂前驱体(主要成分为








(4)在不同压强下,以两种不同组成进料,反应达平衡时氨的摩尔分数与温度的计算结果如下图所示。其中一种进料组成为
①图中压强由小到大的顺序为_______,判断的依据是_______。
②进料组成中含有情性气体
③图3中,当

正确答案
(1)
(2)(ⅱ);在化学反应中,最大的能垒为速率控制步骤,而断开化学键的步骤都属于能垒,由于
(3)
(4)

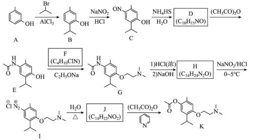
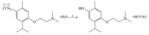
莫西赛利(化合物K)是一种治疗脑血管疾病的药物,可改善脑梗塞或脑出血后遗症等症状。以下为其合成路线之一。
回答下列问题:
(1)A的化学名称是_______。
(2)C中碳原子的轨道杂化类型有_______种。
(3)D中官能团的名称为_______、_______。
(4)E与F反应生成G的反应类型为_______。
(5)F的结构简式为_______。
(6)I转变为J的化学方程式为_______。
(7)在B的同分异构体中,同时满足下列条件的共有_______种(不考虑立体异构);
①含有手性碳;②含有三个甲基;③含有苯环。
其中,核磁共振氢谱显示为6组峰,且峰面积比为
正确答案
(1)3-甲基苯酚(间甲基苯酚)
(2)2
(3)氨基;羟基
(4)取代反应
(5)
(6)
(7)9;
植物
(1)细胞增殖是植物生长发育的基础。细胞增殖具有周期性,细胞周期中的分裂间期为分裂期进行物质准备,物质准备过程主要包括___________。
(2)植物细胞分裂是由生长素和细胞分裂素协同作用完成的。在促进细胞分裂方面,生长素的主要作用是__________,细胞分裂素的主要作用是__________。
(3)给黑暗中生长的幼苗照光后幼苗的形态出现明显变化,在这一过程中感受光信号的受体有__________(答出1点即可),除了光,调节植物生长发育的环境因素还有__________(答出2点即可)。
正确答案
(1)DNA分子复制和有关蛋白质的合成
(2)促进细胞核的分裂;促进细胞质的分裂
(3)光敏色素;温度、重力
人在运动时会发生一系列生理变化,机体可通过神经调节和体液调节维持内环境的稳态。回答下列问题。
(1)运动时,某种自主神经的活动占优势使心跳加快,这种自主神经是__________。
(2)剧烈运动时,机体耗氧量增加、葡萄糖氧化分解产生大量


(3)运动时葡萄糖消耗加快,胰高血糖素等激素分泌增加,以维持血糖相对稳定。胰高血糖素在升高血糖浓度方面所起的作用是__________。
(4)运动中出汗失水导致细胞外液渗透压升高,垂体释放的某种激素增加,促进肾小管、集合管对水的重吸收,该激素是__________。若大量失水使细胞外液量减少以及血钠含量降低时,可使醛固酮分泌增加。醛固酮的主要生理功能是__________。
正确答案
(1)交感神经
(2)人体剧烈运动时,呼吸作用增强,耗氧量增大,同时产生的
(3)促进肝糖原分解成葡萄糖,促进非糖物质转变成糖
(4)抗利尿激素;促进肾小管和集合管对
现发现一种水鸟主要在某湖区的浅水和泥滩中栖息,以湖区的某些植物为其主要的食物来源。回答下列问题。
(1)湖区的植物、水鸟、细菌等生物成分和无机环境构成了一个生态系统。能量流经食物链上该种水鸟的示意图如下,①、②、③表示生物的生命活动过程,其中①是__________;②是__________;③是__________。
(2)要研究湖区该种水鸟的生态位,需要研究的方面有__________(答出3点即可)。该生态系统中水鸟等各种生物都占据着相对稳定的生态位,其意义是__________。
(3)近年来,一些水鸟离开湖区前往周边稻田,取食稻田中收割后散落的稻谷,羽毛艳丽的水鸟引来一些游客观赏。从保护鸟类的角度来看,游客在观赏水鸟时应注意的事项是__________(答出1点即可)。
正确答案
(1)水鸟的同化量;水鸟通过呼吸作用以热能散失的能量;流向分解者的能量
(2)栖息地、食物、天敌以及与其它物种的关系等;有利于不同生物之间充分利用环境资源
(3)不破坏水鸟的生存环境、远距离观赏
果蝇常用作遗传学研究的实验材料。果蝇翅型的长翅和截翅是一对相对性状,眼色的红眼和紫眼是另一对相对性状,翅型由等位基因T/t控制,眼色由等位基因R/r控制。某小组以长翅红眼、截翅紫眼果蝇为亲本进行正反交实验,杂交子代的表型及其比例分别为,长翅红眼雌蝇:长翅红眼雄蝇=1:1(杂交①的实验结果);长翅红眼雌蝇:截翅红眼雄蝇=1:1(杂交②的实验结果)。回答下列问题。
(1)根据杂交结果可以判断,翅型的显性性状是__________,判断的依据是__________。
(2)根据杂交结果可以判断,属于伴性遗传的性状是__________,判断的依据是__________。
杂交①亲本的基因型是__________,杂交②亲本的基因型是__________。
(3)若杂交①子代中的长翅红眼雌蝇与杂交②子代中的截翅红眼雄蝇杂交,则子代翅型和眼色的表型及其比例为__________。
正确答案
(1)长翅;亲代是长翅和截翅果蝇,杂交①子代全是长翅
(2)翅型;翅型的正反交实验结果不同;
(3)红眼长翅雌蝇:红眼截翅雌蝇:红眼长翅雄蝇∶红眼截翅雄蝇∶紫眼长翅雌蝇∶紫眼截翅雌蝇:紫眼长翅雄蝇∶紫眼截翅雄蝇
根瘤菌与豆科植物之间是互利共生关系,根瘤菌侵入豆科植物根内可引起根瘤的形成,根瘤中的根瘤菌具有固氮能力。为了寻找抗逆性强的根瘤菌,某研究小组做了如下实验:从盐碱地生长的野生草本豆科植物中分离根瘤菌;选取该植物的茎尖为材料,通过组织培养获得试管苗(生根试管苗);在实验室中探究试管苗根瘤中所含根瘤菌的固氮能力。回答下列问题。
(1)从豆科植物
(2)取豆科植物的茎尖作为外植体,通过植物组织培养可以获得豆科植物的试管苗。外植体经诱导形成试管苗的流程是:外植体

(3)研究小组用上述获得的纯培养物和试管苗为材料,研究接种到试管苗上的根瘤菌是否具有固氮能力,其做法是将生长在培养液中的试管苗分成甲、乙两组,甲组中滴加根瘤菌菌液,让试管苗长出根瘤。然后将甲、乙两组的试管苗分别转入__________的培养液中培养,观察两组试管苗的生长状况,若甲组的生长状况好于乙组,则说明____________________。
(4)若实验获得一种具有良好固氮能力的根瘤菌,可通过发酵工程获得大量根瘤菌,用于生产根瘤菌肥。根瘤菌肥是一种微生物肥料,在农业生产中使用微生物肥料的作用是__________(答出2点即可)。
正确答案
(1)由根瘤菌繁殖形成的单菌落
(2)脱分化;再分化;细胞经分裂和分化后,仍具有产生完整有机体或分化成其他各种细胞的潜能和特性。
(3)无氮源;接种到试管苗上的根瘤菌具有固氮能力
(4)促讲植物生长,增加作物产量;能够减少化肥使用,改良土壤,减少污染,保护生态环境
将扁平的石子向水面快速抛出,石子可能会在水面上一跳一跳地飞向远方,俗称“打水漂”。要使石子从水面跳起产生“水漂”效果,石子接触水面时的速度方向与水面的夹角不能大于e。为了观察到“水漂”,一同学将一石子从距水面高度为h处水平抛出,抛出速度的最小值为多少? (不计石子在空中飞行时的空气阻
力,重力加速度大小为g)
正确答案
抛出时的最小速度为
密立根油滴实验的示意图如图所示。两水平金属平板上下放置,间距固定,可从上板中央的小孔向两板间喷入大小不同、带电量不同、密度相同的小油滴。两板间不加电压时,油滴a 、b在重力和空气阻力的作用下竖直向下匀速运动,速率分别为

(1)求油滴a和油滴b的质量之比;
(2)判断油滴a和油滴b所带电荷的正负,并求a 、b所带电荷量的绝对值之比。
正确答案
(1)
(2)
一边长为L、质量为m的正方形金属细框,每边电阻为
(1)使金属框以一定的初速度向右运动,进入磁场。运动过程中金属框的左、右边框始终与磁场边界平行,金属框完全穿过磁场区域后,速度大小降为它初速度的一半,求金属框的初速度大小。
(2)在桌面上固定两条光滑长直金属导轨,导轨与磁场边界垂直,左端连接电阻

正确答案
(1)















































































