- 真题试卷
- 模拟试卷
- 预测试卷
如图为某种质谱仪的结构的截面示意图,该种质谱仪由加速电场、静电分析器、磁分析器及收集器组成。其中静电分析器由两个相互绝缘且同心的四分之一圆柱面的金属电极K1和K2构成,两柱面电极的半径分别为R1和R2,O1点是圆柱面电极的圆心。S1和S2分别为静电分析器两端为带电粒子进出所留的狭缝。静电分析器中的电场的等势面在该截面图中是一系列以O1为圆心的同心圆弧,图中虚线A是到K1、K2距离相等的等势线。磁分析器中有以O2为圆心的四分之一圆弧的区域,该区域有垂直于截面的匀强磁场,磁场左边界与静电分析器的右边界平行。P1为磁分析器上为带电粒子进入所留的狭缝,O2P1的连线与O1S1的连线垂直。
离子源不断地发出正离子束,正离子束包含电荷量均为q的两种质量分别为m、m′(m<m′<2m)的同位素离子,其中质量为m的同位素离子个数所占的百分比为α。离子束从离子源发出的初速度可忽略不计,经电压为U的加速电场加速后,全部从狭缝S1沿垂直于O1S1的方向进入静电分析器。稳定情况下,离子束进入静电分析器时的等效电流为I。进入静电分析器后,质量为m的同位素离子沿等势线A运动并从狭缝S2射出静电分析器,而后由狭缝P1沿垂直于O2P1的方向进入磁场中,偏转后从磁场下边界中点P2沿垂直于O2P2的方
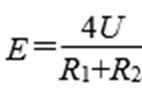
21.求静电分析器中等势线A上各点的电场强度E的大小;
22.通过计算说明质量为m′的同位素离子能否从狭缝S2射出电场并最终从磁场下边界射出;
23.求收集器单位时间内收集的离子的质量M0。
正确答案
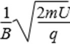
由题意可知,等势线A的半径R=
质量为m的离子在静电分析器中做匀速圆周运动,
根据牛顿第二定律有qE=
设质量为m的离子从狭缝S1进入静电分析器时的速度为v,
则其在加速电场中加速过程中,根据动能定理有qU=
解得:
解析
由题意可知,等势线A的半径R=
质量为m的离子在静电分析器中做匀速圆周运动,
根据牛顿第二定律有qE=
设质量为m的离子从狭缝S1进入静电分析器时的速度为v,
则其在加速电场中加速过程中,根据动能定理有qU=
解得:
考查方向
带电粒子在电场和磁场中的运动
解题思路
先由动能定理求出离子从狭缝S1进入静电分析器时的速度为v,然后根据离子在静电分析器中做匀速圆周运动,由合力提供向心力即可算出势线A上各点的电场强度E的大。
易错点
离子在静电分析器中做匀速圆周运动
正确答案
设质量为m′的离子经加速电场加速后,速度为v′,由动能定理可得qU=
质量为m′的离子在电场中做半径为R的匀速圆周运动,所需要的向心力F向=
解得:F向=qE
即该离子所受电场力,恰好等于它若做匀速圆周运动的向心力,因此这个离子仍然在静电分析器中做半径为R的匀速圆周运动。故质量为m′的离子能从狭缝S2射出,仍从狭缝P1进入磁场做匀速圆周运动。
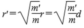
设质量为m′的离子进入磁场做匀速圆周运动的半径为r′,O2P2=d,
若质量为m′的离子能从磁场下边界射出,则出射位置到O2距离为x须满足的条件为0<x<2d
质量为m的离子在磁分析器中做匀速圆周运动,
根据牛顿第二定律有qvB=
离子在磁分析器中做匀速圆周运动的半径r=
由题意可知,质量为m的离子圆周运动的轨道半径r=d
所以质量为m′的离子在磁分析器中做匀速圆周运动的半径
因m<m′<2m,故d<r′< 
则由几何关系有r′2=x2+(r′-d)2
解得:x2max =(2 
解析
设质量为m′的离子经加速电场加速后,速度为v′,由动能定理可得qU=
质量为m′的离子在电场中做半径为R的匀速圆周运动,所需要的向心力F向=
解得:F向=qE
即该离子所受电场力,恰好等于它若做匀速圆周运动的向心力,因此这个离子仍然在静电分析器中做半径为R的匀速圆周运动。故质量为m′的离子能从狭缝S2射出,仍从狭缝P1进入磁场做匀速圆周运动。
设质量为m′的离子进入磁场做匀速圆周运动的半径为r′,O2P2=d,
若质量为m′的离子能从磁场下边界射出,则出射位置到O2距离为x须满足的条件为0<x<2d
质量为m的离子在磁分析器中做匀速圆周运动,
根据牛顿第二定律有qvB=
离子在磁分析器中做匀速圆周运动的半径r=
由题意可知,质量为m的离子圆周运动的轨道半径r=d
所以质量为m′的离子在磁分析器中做匀速圆周运动的半径
因m<m′<2m,故d<r′< 
则由几何关系有r′2=x2+(r′-d)2
解得:x2max =(2 
考查方向
带电粒子在电场和磁场中的运动
解题思路
若质量为m′的离子能从磁场下边界射出,则出射位置到O2距离为x须满足的条件为0<x<2d,由洛伦兹力提供向心力和几何关系求出x,即可判断。
易错点
物理和数学的紧密综合
正确答案
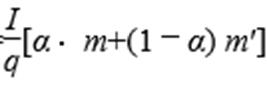
时间Δt内能进入静电分析器的离子个数N=
因所有离子都能进入磁场并从磁场下边界射出进入收集器,由题意可知,进入收集器的离子中,质量为m的离子个数N1=αN,质量为m′的离子个数 N2=(1-α)N
解得:M0= 
解析
时间Δt内能进入静电分析器的离子个数N=
因所有离子都能进入磁场并从磁场下边界射出进入收集器,由题意可知,进入收集器的离子中,质量为m的离子个数N1=αN,质量为m′的离子个数 N2=(1-α)N
解得:M0= 
考查方向
带电粒子在电场和磁场中的运动
解题思路
由电流的定义式求出单位时间内总电量,从而可求出总离子个数,就可以求出质量。
易错点
由题意可知:质量为m的离子个数N1=αN,质量为m′的离子个数 N2=(1-α)N
如图所示,有一固定在水平面的平直轨道,该轨道由白色轨道和黑色轨道交替排列并平滑连接而成。各段轨道的编号已在图中标出。仅黑色轨道处在竖直向上的匀强电场中,一不带电的小滑块A静止在第1段轨道的最左端,绝缘带电小滑块B静止在第1段轨道的最右端。某时刻给小滑块A施加一水平向右的恒力F,使其从静止开始沿轨道向右运动,小滑块A运动到与小滑块B碰撞前瞬间撤去小滑块A所
18.求F的大小;
19.碰撞过程中滑块B对滑块A的冲量;
20.若A和B最终停在轨道上编号为k的一段,求k的数值。
正确答案
以滑块A为研究对象,
在第1段轨道上,滑块A受到摩擦力的大小
对于滑块A在第1段轨道上从最左端到最右端的过程,
根据动能定理有
解得:F=1.84N
解析
以滑块A为研究对象,
在第1段轨道上,滑块A受到摩擦力的大小
对于滑块A在第1段轨道上从最左端到最右端的过程,
根据动能定理有
解得:F=1.84N
考查方向
动能定理
解题思路
对于滑块A在第1段轨道上从最左端到最右端的过程,由动能定理求解。
易错点
利用动能定理时一定要选择好对哪个阶段列方程
正确答案
设滑块A、B碰撞后瞬间A和B的共同速度为vAB,根据动量守恒定律有
mv=2m vAB
设滑块B对滑块A的冲量为I, 规定水平向右为正方向。
以滑块A为研究对象,根据动量定理有:I =mv AB-mv,
解得:I=-0.030N•s
滑块B对滑块A冲量的方向水平向左
解析
设滑块A、B碰撞后瞬间A和B的共同速度为vAB,根据动量守恒定律有
mv=2m vAB
设滑块B对滑块A的冲量为I, 规定水平向右为正方向。
以滑块A为研究对象,根据动量定理有:I =mv AB-mv,
解得:I=-0.030N•s
滑块B对滑块A冲量的方向水平向左
考查方向
动量守恒定律和动量定理
解题思路
由动量守恒定律求出共同速度,然后由动量定理计算冲量
易错点
动量守恒定律是矢量式,要考虑方向
正确答案
设滑块A和B每经过一段长为L的黑色轨道损失的动能为ΔE1,则
设滑块A和B每经过一段长为L的白色轨道,损失的动能为ΔE2,则
设滑块A和B碰撞后瞬间的总动能为EkAB,令
解得:N=7.5
即滑块通过标号为15的白色轨道后,仍有动能Ek=0.5(ΔE1+ΔE2) =6×10-3J,
因Ek>ΔE1,故物块可通过第16号轨道而进入第17号轨道,
进入第17号轨道时的动能Ek′= Ek-ΔE1=2×10-3J< ΔE2,故将不能通过第17号轨道,即最终停在第17号轨道上。
解析
设滑块A和B每经过一段长为L的黑色轨道损失的动能为ΔE1,则
设滑块A和B每经过一段长为L的白色轨道,损失的动能为ΔE2,则
设滑块A和B碰撞后瞬间的总动能为EkAB,令
解得:N=7.5
即滑块通过标号为15的白色轨道后,仍有动能Ek=0.5(ΔE1+ΔE2) =6×10-3J,
因Ek>ΔE1,故物块可通过第16号轨道而进入第17号轨道,
进入第17号轨道时的动能Ek′= Ek-ΔE1=2×10-3J< ΔE2,故将不能通过第17号轨道,即最终停在第17号轨道上。
考查方向
功能关系和数学知识的结合
解题思路
由功能关系计算出损失的能量,然后根据数学知识求出K
易错点
对常见的功能关系不熟悉
如图所示,一个少年脚踩滑板沿倾斜街梯扶手从A点由静止滑下,经过一段时间后从C点沿水平方向飞出,落在倾斜街梯扶手上的D点。已知C点是一段倾斜街梯扶手的起点,倾斜的街梯扶手与水平面的夹角θ= 37°,CD间的距离s=3.0m,少年的质量m=60kg。滑板及少年均可视为质点,不计空气阻力。取sin37° = 0.60,cos37° = 0.80,重力加速度g=10 m/s2,求:
15.少年从C点水平飞出到落在倾斜街梯扶手上D点所用的时间t;
16.少年从C点水平飞出时的速度大小vC;
17.少年落到D点时的动能Ek。
正确答案
少年从C点水平飞出做平抛运动
在竖直方向: y=
y=
解得:t=0.60s
解析
少年从C点水平飞出做平抛运动
在竖直方向: y=
解得:t=0.60s
考查方向
平抛运动的规律
解题思路
由平抛运动中竖直方向上的分运动为自由落体运动列方程计算
易错点
基础题,不应该出错
正确答案
在水平方向: x=vCt
解得:vC=4.0m/s
解析
在水平方向: x=vCt
解得:vC=4.0m/s
考查方向
平抛运动的规律
解题思路
由平抛运动的规律计算
易错点
基础题,不应该出错
正确答案
少年到D点时竖直方向的速度
少年到D点时速度大小为
解得:Ek=1560J
解析
少年到D点时竖直方向的速度
少年到D点时速度大小为
解得:Ek=1560J
考查方向
平抛运动的规律
解题思路
由平抛运动的规律求出D点的速度,然后由动能的定义式计算动能
易错点
基础题,不应该出错
教师点评
此问,也可以有动能定理计算
在“测定金属的电阻率”实验中,
9.利用螺旋测微器测量合金丝的直径d。某次测量时,螺旋测微器的示数如图1所示,则该合金丝直径的测量值d=_______mm。
10.若测出合金丝长度为L,直径为d,电阻为R,则该合金电阻率的表达式ρ=__________。(用上述字母和通用数学符号表示)
11.按图2所示的电路图测量合金丝的电阻Rx。实验中除开关、若干导线之外还提供下列器材:
12.按图2所示的电路图测量合金丝的电阻Rx,开关闭合前应将滑动变阻器的滑片P置于_____端(选填“a”或“b”)。
13.甲同学按照图2电路图正确连接好电路,将电阻箱接入电路的阻值调为R0=14500Ω,改变滑动变阻器接入电路的电阻值,进行多次实验,根据实验数据,画出了灵敏电流计

14.乙同学选择同样的器材,按图4所示电路测量合金丝的阻值Rx,保持电阻箱接入电路的阻值不变。在不损坏电表的前提下,他将滑动变阻器滑片P从一端滑向另一端,随滑片P移动距离x的增加,灵敏电流计G的示数IG和电流表A的示数IA也随之增加,图5反映IG-x和IA-x关系的示意图中可能正确的是 。
正确答案
1.170(说明1.168~1.172之间均可得分)
解析
由图甲所示螺旋测微器可知,固定刻度示数为1.0mm,可动刻度所示为17.0×0.01mm=0.170mm,螺旋测微器的示数为1.0mm+0.170mm=1.170mm.
考查方向
螺旋测微器的使用
解题思路
螺旋测微器固定刻度与可动刻度的示数之和是螺旋测微器的示数.
易错点
本题关键掌握螺旋测微器的读数原理.
正确答案
解析
根据


考查方向
测定金属的电阻率
解题思路
根据电阻定律结合题意求出金属的电阻率.
易错点
本题关键理解金属电阻率公式,
正确答案
解析
由题意可知,电路最大电流约为:
考查方向
测量金属丝的电阻率
解题思路
根据电路最大电流选择电流表,为方便实验操作应选择最大阻值较小的滑动变阻器.
易错点
根据实验安全性原则及方便性原则,关键是先计算电路中最大电流,然后选择合理的器材.
正确答案
b
解析
由图2所示电路图可知,滑动变阻器采用分压接法,为保护电路闭合开关前滑片应置于b端.
考查方向
实验中常用仪器及其正确操作方法
解题思路
对于分压器,实验前电路输出电压应为最小值.
易错点
本题关键是分析电路图,根据实验操作要求分析清楚分压器的输出端的电压.
正确答案
4.5(说明:4.3~4.7之间均可得分)
解析
根据图2所示电路,由欧姆定律可知,合金丝阻值:
考查方向
欧姆定律
解题思路
根据电路结构应用欧姆定律求出金属丝的电阻.
易错点
本题关键会从图中读出相应的电压U,电流I数值.
正确答案
A
解析
根据图4所示电路图,由欧姆定律可知,电表示数:

考查方向
闭合电路欧姆定律;电阻定律
解题思路
根据欧姆定律与电阻定律求出图象的函数表达式,然后分析图示图象答题.
易错点
本题关键找到出图象的解析表达式,根据数学知识解决.
5.若已知引力常量 G,则利用下列哪组数据可以算出地球的质量( )
正确答案
解析
A、根据万有引力提供向心力得:

B、根据近地卫星与地球之间的万有引力提供向心力,有

C、由



D、中心天体是太阳,故无法求地球质量,故D错误;
考查方向
万有引力定律的应用
解题思路
计算中心天体的质量是万有引力的应用之一,计算原理就是万有引力提供绕天体做圆周运动的向心力,列式只能计算中心天体的质量.
易错点
本题关键是利用万有引力提供向心力,列式找出可求解中心天体的质量的表达式,进行分析.
知识点
2.对下列各原子核变化的方程,表述正确的是( )
正确答案
解析
A、轻核聚变是把轻核结合成质量较大的核,释放出核能的反应称聚变反应.故A正确;
B、B是核聚变.故B错误;
C、C是β衰变故C错误;
D、D是重核裂变是.故D错误.
故选:A
考查方向
本题考查了衰变、聚变和裂变的核反应方程
解题思路
天然衰变分为αβ衰变,裂变是重核变为中等质量的核,聚变是轻核变为较重质量的核.
易错点
本题考查了衰变、聚变和裂变的核反应方程,难度不大.
知识点
8.物理图像能够直观、简洁地展现两个物理量之间的关系,利用图像分析物理问题的方法有着广泛的应用。如图,若令x 轴和 y轴分别表示某个物理量,则图像可以反映在某种情况下,相应物理量之间的关系。


正确答案
解析
A、若x轴表示空间位置,y轴表示电势,由于点电荷的电势随x的增大而减小,所以不是某静电场的电势在x轴上分布情况,故A错误;
B、若x轴表示空间位置,y轴表示电场强度,由于点电荷的电场强度随x的增大而减小,所以不是某静电场的电场强度在x轴上分布情况,故B错误;
C、若x轴表示分子间距离,y轴表示分子势能,结合分子势能的特点可知,图象可以反映分子势能随分子间距离变化的情况;则将分子甲固定在O点,将分子乙从A点由静止释放,分子乙仅在分子甲的作用下运动至B点时分子势能最小,所以动能最大,速度最大.故C正确;
D、若x轴表示分子间距离,y轴表示分子间作用力,结合分子力的特点可知,图象可以反映分子间作用力随分子间距离变化的情况;若则将分子甲固定在O点,将分子乙从B点由静止释放,分子乙仅在分子甲的作用下运动时,开始时受到的是分子引力,做加速运动,过A点后乙分子受到的是分子斥力,开始做减速运动.故D错误.
考查方向
电场线;分子间的相互作用力;分子势能;电势
解题思路
根据相关物理规律,得到y与x所表示的物理量的表达式,结合图象分析.
易错点
本题关键读懂物理图象,能把物理图象中反应出的信息与相关物理规律对应分析.
知识点
6.如图甲所示,交流发电机的矩形金属线圈abcd的匝数n=100,线圈的总电阻r=5.0Ω,线圈位于匀强磁场中,且线圈平面与磁场方向平行。线圈的两端分别与两个彼此绝缘的铜环E、F(集流环)焊接在一起,并通过电刷与阻值R=95Ω的定值电阻连接。现使线圈绕过bc和ad边中点、且垂直于磁场的转轴OOˊ以一定的角速度匀速转动。穿过线圈的磁通量随时间t变化的图像如图乙所示。若电路其他部分的电阻以及线圈的自感系数均可忽略不计。则下列说法中正确的是( )
正确答案
解析
A、由图知,T=π×10-2S则
B、交流发电机产生电动势的最大值Em=nBSω,而Φm=BS,

C、电动势的有效值
D、由闭合电路的欧姆定律,电路中电流的有效值为
考查方向
正弦式电流的图象和三角函数表达式;交流发电机及其产生正弦式电流的原理
解题思路
交流发电机产生电动势的最大值Em=nBSω,根据Φ-t图线得出周期T以及磁通量的最大值Φ=BS.从而求出感应电动势的最大值,交流电压表的示数为有效值,求出电动势的有效值,根据闭合电路欧姆定律求出电流表的示数.
易错点
本题的关键掌握正弦式交流电峰值的表达式Em=nBSω,从峰值的表达式中得出信息会求解交流电有效值.
知识点
4.一列横波沿x轴正方向传播,t=0时刻的波形图如图甲所示,则图乙描述的可能是( )
正确答案
解析
由乙图可知,t=0时刻,质点向上振动.
根据“上坡低头,下坡抬头”可判断在甲图上,x=1.5m和x=2.5m处处于下坡,由于简谐横波沿着x轴正方向传播,则知x=1.5m处质点F沿y轴正方向振动,与振动图象t=0时刻的状态相符,故乙图应是x=1.5m处质点的振动图象.故C正确.
故选:C
考查方向
波长、频率和波速的关系;横波的图象.
解题思路
由振动图象乙读出:t=0时刻质点处于平衡位置,且振动方向沿y轴正方向.由波动图象,根据波的传播方向,判断甲图中各个质点的振动方向,找出与振动图象t=0时刻运动情况一致的质点.
易错点
波动图像和振动图像的区别
教师点评
本题考查识别、理解振动图象和波动图象的能力,以及把握两种图象联系的能力.
知识点
3.平行的a、b两种单色光的光束以相同的入射角从空气斜射向某种长方体玻璃砖上表面的同一位置,在玻璃砖下表面将分开为不同的单色光光束。若a光的频率小于b光的频率,则以下光路图中正确的是( )
正确答案
解析
AB.a光的频率小于b光的频率,则玻璃对a光的折射率比b光的小,根据折射定律可知,b光通过玻璃砖时侧移较大,故A正确,B错误.
CD.光线通过玻璃砖发生了两次折射,在玻璃砖下表面的入射角等于上表面的折射角,根据光路的可逆性原理可知,在玻璃砖下表面的折射角等于上表面的入射角,由几何关系可知,出射光线与入射光线平行,所以出射时a、b两束单色光互相平行.故C、D错误.
考查方向
光的折射定律
解题思路
光的频率越大,玻璃砖对该光的折射率越大,通过玻璃砖时光线的侧移越大.光线通过长方体玻璃砖后,根据光路图可知,出射光线与入射光线平行.
易错点
本题的关键理解光的频率越大,介质对光的折射率越大,根据光路图可得出射光线与入射光线平行,且发生一定的侧移.
知识点
1.如图所示,在一个配有活塞的厚壁有机玻璃筒底放置一小团硝化棉,迅速向下压活塞,筒内气体被压缩后可点燃硝化棉。在筒内封闭的气体被活塞压缩的过程中( )
正确答案
解析
压缩玻璃筒内的空气,气体的压强变大,在此过程中,机械能转化为筒内空气的内能,空气的内能增加,温度升高,当达到棉花的燃点后,棉花会燃烧;故B正确,ACD错误;
考查方向
热力学第一定律
解题思路
做功可以使内能与机械能之间进行转化,外界对气体做功,气体内能会增加;气体对外界做功,气体内能会减少。
易错点
本题关键要理解热力学第一定律,做功与热传递改变内能是等效的。
知识点
7.某同学用半径相同的两个小球a、b来研究碰撞问题,实验装置示意图如图所示,O点是小球水平抛出点在水平地面上的垂直投影。实验时,先让入射小球a多次从斜轨上的某一确定位置由静止释放,从水平轨道的右端水平抛出,经多次重复上述操作,确定出其平均落地点的位置P;然后,把被碰小球b置于水平轨道的末端,再将入射小球a从斜轨上的同一位置由静止释放,使其与小球b对心正碰,多次重复实验,确定出a、b相碰后它们各自的平均落地点的位置M、N;分别测量平抛射程OM、ON和OP。已知a、b两小球质量之比为6:1,在实验误差允许范围内,下列说法中正确的是( )
正确答案
解析
A、根据 
B、两球落地时的竖直分速度相等,根据知,a、b两球的质量之比为6:1,则重力的瞬时功率之比为6:1,故B错误;
C、开始a球平抛运动的初速度


D、若为弹性碰撞,动量守恒,有:6OP=6OM+ON,机械能守恒,有:
6(OP)2=6(OM)2+(0N)2,联立解得OP+OM=ON,故D正确.
考查方向
研究物体的平抛运动
解题思路
两球碰撞后均做平抛运动,根据高度比较平抛运动的时间,根据重力的瞬时功率公式,结合竖直方向上的分速度得出瞬时功率之比.碰撞过程中动量守恒,由于落地时间相同,运用水平位移代替速度得出动量守恒的表达式.若为弹性碰撞,动量守恒,机械能守恒.
易错点
本题的关键要清楚平抛运动的时间由高度决定,与初速度无关,知道弹性碰撞的过程中,动量守恒,机械能守恒,由于时间相等,则碰撞前后的速度可以通过水平位移表示.



















































