- 真题试卷
- 模拟试卷
- 预测试卷
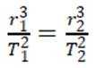
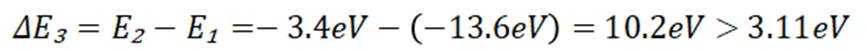
大连相干光源是我国第一台高增益自由电子激光用户装置,其激光辐射所应用的玻尔原子理论很好地解释了氢原子的光谱特征。图为氢原子的能级示意图,已知紫外光的光
子能量大于3.11eV,当大量处于n=3能级的氢原子向低能级跃迁时,辐射不同频率的紫外光有
正确答案
解析
该题主要考查了氢原子能级跃迁的知识点。具体来说,涉及到氢原子在不同能级之间跃迁时辐射光子的能量以及不同能量光子的分类等相关知识
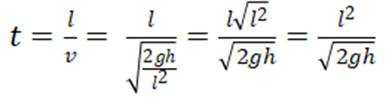
处于n=3能级的氢原子向低能级跃迁时,能够辐射出不同频率的种类为3种,可能跃迁到n=2能级或n=1能级或n=2跃迁到n=1能级,当跃迁到n=2能级时,辐射出光子的能量为
当跃迁到n=1能级时,辐射出光子的能量为
当从n=2跃迁到n=1能级时,辐射出光子的能量为
所以有两种选B
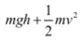
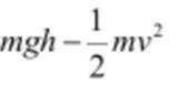
某同学参加户外拓展活动,遵照安全规范,坐在滑板上,从高为h的祖糙斜坡顶端由静止下滑,至底端时速度为v.已知人与滑板的总质量为m,可视为质点。重力加速度大
小为g,不计空气阻力。则此过程中人与滑板克服摩擦力做的功为
正确答案
解析
某仪器发射甲、乙两列横波,在同一均匀介质中相向传插,波速v大小相等,某时刻的波形图如图所示,则这两列横波
正确答案
解析
该题主要考查了波的传播规律、波的叠加等知识点。涉及到对波形图的理解以及两列波相遇时的情况分析
A选项从波形图可知,两列波在x=10m处开始相遇,A错误。
B选项两列波在同一均匀介质中传播,速度相同,从波形图可以看出,经过相同时间,它们会在x=11m处相遇,B错误。
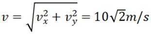
甲波峰的坐标为


倾角为



正确答案
解析
此题主要考查了牛顿第二定律、匀变速直线运动规律以及对物体运动过程的分析。具体来说,涉及到物块在传送带上所受摩擦力的变化,以及由此引起的加速度和速度的变化情况等知识点。
物体刚放到传送带上时,由于相对传送带向下运动,会受到向上的摩擦力,摩擦力使物体加速,当速度与传送带速度相等后,可能与传送带一起匀速运动,也可能继续加速。
A选项加速度不可能一直不变,A错误。
B选项速度不会突变到
C选项若物体一直加速,速度会逐渐增大,C正确。
D选项加速度不会一直为0,D错误。
2024年3月20日,我国探月工程四期鹊桥二号中继星成功发射升空,当抵达距离月球表面某高度时,鹊桥二号开始进行近月制动,并顺利进入捕获轨道运行,如图所示,轨道的半长轴约为51900km,后经多次轨道调整,进入冻结轨道运行,轨道的半长轴约为9900 km,周期约为24h,则鹏桥二号在捕获轨道运行时
正确答案
解析
该题主要考查了开普勒第三定律、万有引力定律以及天体运动中速度、加速度的相关知识点
A选项根据开普勒第三定律有


B选项,根据开普勒第二定律可知,近月点的速度大于远月点的速度,B正确
C选项,鹊桥二号在捕获轨道近月点需要减速才能进入冻结轨道运行,所以鹊桥二号在捕获轨道运行时近月点的速度大于在冻结轨道运行时近月点的速度,故C错误
D选项,根据万有引力定律

如图所示,竖直平面内有两完全相同的轻质弹簧,它们的一端分别固定于水平线上的M、N两点,另一端均连接在质量为m的小球上。开始时,在竖直向上的拉力作用下,小球静止于MN连线的中点0,弹簧处于原长。后将小球竖直向上缓慢拉至P点,并保持静止,此时拉力F大小为2mg.已知重力加速度大小为g,弹簧始终处于弹性限度内,不计空气阻力。若撒去拉力,则小球从P点运动到0点的过程中
正确答案
解析
该题主要考查了胡克定律、相互作用力规律、重力系数、动能定理等知识点。
小球从P点向下运动,开始时弹簧的弹力大于重力,合力向下,速度增大,随着弹簧的伸长量减小,弹力增大,小球所受重力和两弹簧的弹力都对小球做正功,根据动能定理可知,小球的动能一直增大,所以速度一直增大,则A正确,B错误
C选项在P点时,根据平衡条件可得:


D选项小球从P点向下运动,合力先向下减小到零,再向上增大,所以加速度先减小到零再增大,D错误。
在某地区的干早季节,人们常用水泵从深水井中抽水灌溉农田,简化模型如图所示。水井中的水面距离水平地面的高度为H.出水口距水平地面的高度为h,与落地点的水平距离约为1.假
设抽水过程中H保持不变,水泵输出能量的

正确答案
解析
该题主要考查了重力势能、机械能、功率等知识点,同时涉及到对能量转化的理解以及相关物理量的计算
第一步水从水井中被抽到出水口,增加的机械能包括重力势能和动能。重力势能的增加量为

第二步根据平抛运动的规律,可得

第三步所以动能的增加量为
第四步总机械能的增加量为
第五步因为水泵输出能量的η倍转化为水的机械能,所以水泵输出功率为


所以选择B选项。
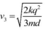
在某装置中的光滑绝缘水平面上,三个完全相同的带电小球,通过不可伸长的绝缘轻质细线,连接成边长为d的正三角形,如图甲所示。小球质量为m,带电量为+q,可视为点电荷,初始时,小球均静止,细线拉直,现将球1和球2间的细线剪断,当三个小球运动到同一条直线上时,速度大小分别为

正确答案
解析
该题主要考查了库仑定律、能量守恒定律、动量守恒定律以及物体的受力分析等知识点
A选项小球3受到的库仑力大小和方向会随着小球位置的变化而变化,所以合力大小不是始终不变的,A错误。
B选项整个过程中没有外力做功,系统能量守恒,由于库仑力是内力,系统所受合外力为删除0,动量守恒,B错误。
C选项根据能量守恒定律,系统减少的电势能等于系统动能的增加量,可得:



一倾角为



正确答案
解析
此题主要考查了力的合成与分解、牛顿第二定律以及匀变速运动等知识点。通过对物体所受力的分析,结合力的合成与分解规律,利用牛顿第二定律来确定物体的加速度,进而判断物体的运动情况
对物体进行受力分析,重力沿斜面向下的分力为

计算:t=1s时,



所以:t=1s时,物块沿x轴做匀减速运动,沿y轴静止,物块做匀变速曲线运动,y坐标值为
当t=1s时,F=6N,故此时加速度大小为
在x轴正方向,根据动量定理




空间中存在竖直向下的匀强电场和垂直于纸面向里的匀强磁场,电场强度大小为E,磁感应强度大小为B。一质量为m的带电油滴a,在纸面内做半径为R的圆周运动,轨迹如图所示。当a运动到最低点P时,瞬间分成两个小油滴1、Ⅱ,二者带电量、质量均相同。1在P点时与a的速度方向相同,并做半径为3R的圆周运动,轨迹如图所示。Ⅱ的轨迹未画出。已知重力加速度大小为g,不计空气浮力与阻力以及I、Ⅱ分开后的相互作用。则
正确答案
解析
此题主要考查了带电粒子在复合场中的运动,包括电场力、洛伦兹力、圆周运动等知识点。同时还涉及到牛顿第二定律、向心力的相关知识
油滴a在复合场中做圆周运动,重力与电场力平衡,所以电场力向上,油滴带负电,且有

油滴a做圆周运动,洛伦兹力提供向心力,有


小油滴1做圆周运动,半径为3K,同理可得




由于分离后的小液滴受到的电场力和重力仍然平衡,分离后小油滴Ⅱ的速度方向与正方向相反,根据左手定则可知小油滴Ⅱ沿顺时针方向做圆周运动,故D正确。
(6分)
某实验小组做“测量玻璃的折射率”及拓展探究实验。
(1)为测量玻璃的折射率,按图甲所示进行实验,以下表述正确的一项是____。(填正确答案标号)
A.用笔在白纸上沿着玻璃砖上边和下边分别画出直线a和
B.在玻璃砖一侧插上大头针











C.实验时入射角
(2)为探究介质折射率与光的频率的关系,分别用一束红光和一束绿光从同一点入射到空气与玻璃的分界面。保持相同的入射角,根据实验结果作出光路图,并标记红光和绿光,如图乙所示。此实验初步表明:对于同一种介质,折射率与光的频率有关。频率大,折射率____(填“大”或“小”)。
(3)为探究折射率与介质材料的关系,用同一束激光分别入射玻璃砖和某透明介质,如图丙、丁所示。保持相同的入射角a1,测得折射角分别为(
正确答案
(1)B (2)大 (3)>
解析
该题主要考查了光的折射相关知识点,包括如何测量玻璃折射率的实验方法以及折射率与光的频率的关系
(1)逐一分析选项:
A项:应该是沿着玻璃砖上边和下边分别画出直线a和b,A错误。
B项:描述的实验操作步骤正确,B正确。
C项:实验时入射角不能太小,否则会使测量误差增大,C错误。
故本问答案为:B。
(2)从图乙可以看出,绿光偏折程度更大,说明绿光的折射率大,而绿光的频率大于红光的频率,所以此实验初步表明对于同一种介质,频率大,折射率大。故本问答案为:大。
(3)因为入射角相同,折射角越大,折射率越小,已知折射角
故本问答案为:>。
(10分)
某实验小组要将电流表G(铭牌标示:
(1)开关
(2)根据要求和己知信息,电阻箱


(3)当单刀双掷开关


(4)校准电表时,发现改装后电压表的读数始终比标准电压表的读数偏大,经排查发现电流表G内阻的真实值与铭牌标示值有偏差,则只要____即可。(填正确答案标号)
A.增大电阻箱
B.减小电阻箱
C.将滑动变阻器的滑片P向M端滑动
(5)校准完成后,开关
正确答案
(1)M (2)4000 (3)
解析
本题主要考查了电路的分析与计算、电压表的改装原理、欧姆定律等知识点。具体包括:对滑动变阻器在电路中的作用的理解,根据电压表改装原理计算所需电阻值,利用欧姆定律分析表头内阻的表达式,以及通过分析误差来确定改进措施等
(1)开关闭合前,为保护电路,且该滑动变阻器采用分压式接法,滑片P应移动到使电路中电阻最大处,即M端。故本题答案为:M。
(2)将电流表G改装成量程为Ⅳ的电压表时,根据串联分压原理,















(3)当单刀双掷开关



故本问答案为:
(4)改装后电压表的读数始终比标准电压表的读数偏大,说明通过表头的电流偏大,即表头内阻偏小,要减小误差,应增大电阻箱
(5)电流表G的量程为500μA,图(2)中指针指在300μA处,即此时电流为300μA,改装成3V电压表时,根据闭合电路欧姆定律
(10分)
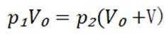
某人驾驶汽车,从北京到哈尔滨。在哈尔滨发现汽车的某个轮胎内气体的压强有所下降(假设轮胎内气体的体积不变,且没有漏气,可视为理想气体),于是在哈尔滨给该轮胎充入压强与大气压相同的空气,使其内部气体的压强恢复到出发时的压强(假设充气过程中,轮胎内气体的温度与环境温度相同,且保持不变)。已知该轮胎内气体的体积





(1)在哈尔滨时,充气前该轮胎内气体压强的大小;
(2)充进该轮胎的空气体积。
正确答案
(1)
解析
此题主要考查了理想气体状态方程、查理定律等知识点
(1)第一步:一定质量的理想气体,体积不变时,压强与温度成正比,即
第二步:北京出发时温度



(2)第一步:设充进轮胎的空气体积为V,充气后轮胎内气体压强为

第二步:将


(14分)
如图所示,一实验小车静止在光滑水平面上,其上表面有相描水平轨道与光滑四分之一圆弧轨道,圆弧轨道与水平轨道相切于圆弧轨道最低点。一物块静止于小车最左端,-小球用不可伸长的轻质细线悬挂于0点正下方,并轻靠在物块左侧。现将细线拉直到水平位置,由静止释放小球,小球运动到最低点时与物块发能弹性碰掩,碰撞后,物块沿小车上的轨道运动。已知细线长L=1.25m,小球质量m=0.20kg.,物块、小车质量均为M=0.30kg,小车上的水平轨道长s=1.0 m,圆弧轨道半径R=0.15m。小球、物块均可视为质点,不计空气阻力,重力加速度g取
(1)求小球运动到最低点与物块碰撞前,所受拉力的大小:
(2)求小球与物块碰撞后的瞬间,物块速度的大小;
(3)为使物块能进入圆弧轨道,且在上升阶段不脱离小车,求物块与水平轨道间动摩擦因数μ的取值范围。
正确答案
(1)6N;(2)4m/s;(3)
解析
此题主要考查了机械能守恒定律、向心力公式、动量守恒定律、动能定理以及相互作用力规律等知识点
(1)小球从释放到最低点,根据动能定理:



(2)小球与物块碰撞过程动量守恒、机械能守恒,设碰撞后物块速度为



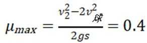
(3)当物块滑到水平轨道的最右端时刚好与小车共速,此时μ最大,即小球与小车水平方向动量守恒,则有







(18分)
如图所示,一“U”型金属导轨居定在竖直平面内,一电阻不计,质量为m的金属棒ab重直于导轨,并静置于绝缘固定支架上。边长为L的正方形cdef区域内,存在垂直于低面向外的匀强磁场。支架上方的导轨间,存在竖直向下的匀强磁场。两磁场的磁感应强度大小B随时间的变化关系均为B=kt (SI),k为常数(k>0)。支架上方的导轨足够长,两边导轨单位长度的电阻均为r,下方导轨的总电阻为R。t=0时,对ab施加竖直向上的拉力,恰使其向上做加速度大小为a的匀加速直线运动,整个运动过程中ab与两边导轨接触良好。已知ab与导轨间动摩擦因数为,重力加速度大小为g。不计空气阻力,两磁场互不影响。
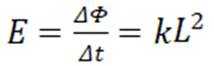
(1)求通过面积
(2)求ab所受安培力的大小随时间t变化的关系式;
(3)求经过多长时间,对ab所施加的拉力达到最大值,并求此最大值。
正确答案
(1)方向为从a到b;(2)
解析
本题主要考查了电磁感应、安培力、牛顿第二定律等知识点
(1)正方形cdef的面积为




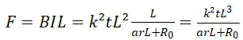
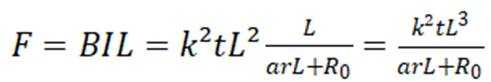
(2)ab棒的长度为L,电阻为arL,则回路总电阻为
电流

(3)对加速向上运动的导体棒,平行于导轨向上的拉力为F,在垂直于导轨的方向上,轨道对棒的支持力大小



根据F的表达式可知,当


















































