- 真题试卷
- 模拟试卷
- 预测试卷
一辆汽车制动时,在2s内速度由12m/s减至0,则该汽车加速度大小为
A.1m/s²
B.0m/s²
C.6m/s²
D.8m/s²
正确答案
C
可拆式变压器原线圈两端电压为4V,副线圈接在0和4之间,输出电压为2V,则原线圈接于
A.0和2之间
B.2和8之间
C.4和8之间
D.8和14之间
正确答案
A
下图为某冰箱贴磁感线分布,则
A.b处磁感应强度大于a处
B.a处磁感应强度大于b处
C.c处磁感应强度大于a处
D.a、b、c三点磁感应强度大小相等
正确答案
B
游乐场转盘,

A.A作匀速圆周运动
B.
C.此时
D.此时A的速度小于
正确答案
B
瓶内有少量水,往瓶内打气,瓶塞跳出,瓶内有白雾,则瓶塞跳出后
A.气体内能增大
B.气体稳度升高
C.气体压强增大
D.气体体积迅速膨胀
正确答案
D
一束激光照亮一个肥皂泡(图中未画出入射光线),发现在肥皂泡内测出现一个亮环,则
A.激光波长等于亮环周长
B.肥皂泡内激光频率小于真空中的
C.亮环处发生了衍射
D.亮环处发生了全反射
正确答案
D
两气体体积相同,改变温度,其分子速率分布如图,与甲相比,乙
A.分子数密度减小
B.压强不变
C.平均动能增大
D.单位时间内撞击容器壁次数减少
正确答案
C
一电荷由a移至b,电场力做功W,现将电容器两极板间距增大至原来的两倍,再把电荷由a移至b,则电场力做功
正确答案
A
弹簧左端固定,右端与滑块相连,处于压缩状态。水平面光滑,物块与滑块间有摩擦。现释放弹簧,发现物块与滑块间有相对滑动且物块与滑块不相碰。
A.释放时物块加速度为0
B.物块和滑块最终静止在水平面上
C.滑块某次运动至最右端时物块停止
D.滑块与物块第一次共速前,滑块所受摩擦力不变
正确答案
D
如图,充完电后开关由1拨至2,则电流变化图像为
正确答案
验证机械能守恒
(1)实验有以下步骤,
①安装光电门
②调节导轨在竖直平面内
③调节导轨末端水平
④将导轨安置于底座
合理顺序为
A.①④②③
B.④②③①
C.④①②③
(2)测量小球直径的正确操作是
(3)
正确答案
【答案】(1)C
(2)甲
(3)15.7mJ
(4)mgH
(5)不同意。

光电倍增管阴极材料逸出功为

(1)求截止频率
(2)入射光频率

正确答案
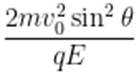
带正电小球,已知m、q、

(1)小球1到达最高点的时间t;
(2)小球1到达最高点时与小球2之间的距离.
正确答案
(1)
(2)
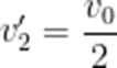
2n个钢球与一个质量为m的玻璃球,所有碰撞均为弹性碰撞。
(1)钢球质量为m,求碰撞后最右侧小球的速度大小;
(2)钢球质量为3m,求碰撞后瞬间右侧第一个小钢球速度大小;
(3)钢球质量为3m,碰撞2n次后,玻璃球最终动能大小
正确答案
(1)
(2)
(3)
外转子半径


(1)内转子固定,ab边感应电动势大小E;
(2)内转子固定,abcd转一圈产生的热量;
(3)内转子解除固定,在外转子带动下以恒定角速度转动,abcd中电流大小为I,求abcd中电流变化周期。
正确答案
(1)
(2)
(3)





























