- 真题试卷
- 模拟试卷
- 预测试卷
2.种子贮藏中需要控制呼吸作用以减少有机物的消耗。若作物种子呼吸作用所利用的物质是淀粉分解产生的葡萄糖,下列关于种子呼吸作用的叙述,错误的是
正确答案
4、为达到实验目的,需要选用合适的实验材料进行实验,下列实验目的与实验材料的对应,不合理的是
正确答案
6.土壤小动物对动植物遗体的分解起着重要的作用,下列关于土壤小动物的叙述,错误的是
正确答案
8.紫花前胡醇(
正确答案

正确答案
1.新冠肺炎疫情警示人们要养成良好的生活习惯,提高公共卫生安全意识。下列相关叙述错误的是
正确答案
3.某研究人员以小鼠为材料进行了与甲状腺相关的实验,下列叙述错误的是
正确答案
5.已知果蝇的长翅和截翅由一对等位基因控制,多只长翅果蝇进行单对交配(每个瓶中有1只雌果蝇和1只雄果蝇),子代果蝇将中长翅:截翅=3:1。据此无法判的是
正确答案
7.国家卫健委公布的新型冠状病毒肺炎诊疗方案指出,乙醚、75%乙醇、含氯消毒剂、过氧乙酸(
正确答案
10.

下列叙述错误的是
正确答案
12. 科学家近年发明了一种新型

下列说法错误的是
正确答案
14. 行驶中的汽车如果发生剧烈碰撞,车内的安全气囊会被弹出并瞬间充满气体。若碰撞后汽车的速度在很短时间内减小为零,关于安全气囊在此过程中的作用,下列说法正确的是
正确答案
16.如图,一同学表演荡秋千。已知秋千的两根绳长均为10m,该同学和秋千踏板的总质量约为50kg。绳的质量忽略不计。当该同学荡到秋千支架的正下方时,速度大小为8m/s,此时每根绳子平均承受的拉力约为
正确答案
15. 火星的质量约为地球质量的1/10,半径约为地球半径的1/2,则同一物体在火星表面与在地球表面受到的引力的比值约为
正确答案
17.图(a)所示的电路中,K与L间接一智能电源,用以控制电容器C两端的电压



正确答案
11. 1934年约里奥-居里夫妇在核反应中用α粒子(即氦核


其中元素X、Y的最外层电子数之和为8。下列叙述正确的是
正确答案
13. 以酚酞为指示剂,用







[比如

下列叙述正确的是
正确答案
18. 一匀强磁场的磁感应强度大小为B,方向垂直于纸面向外,其边界如图中虚线所示,

正确答案
19. 下列核反应方程中,

正确答案
20. 一物块在高3.0m、长5.0m的斜面顶端从静止开始沿斜面下滑,其重力势能和动能随下滑距离s的变化图中直线I、II所示,重力加速度取
正确答案
21. 如图,U形光滑金属框abcd置于水平绝缘平台上,ab和dc边平行,和bc边垂直。
ab、dc足够长,整个金属框电阻可忽略。一根具有一定电阻的导体棒MN置于金属框上,用水平恒力F向右拉动金属框,运动过程中,装置始终于竖直向下的匀强磁场中,MN与金属框保持良好接触,且与bc边保持平行。经过一段时间后
正确答案
三、非选择题:共174分,第22-32题为必考题,每个试题考生都必须作答,第33-38题为选考题,考生根据要求作答。
22.(6分)




回答下列问题:
(1) 图(b)中标记为II的图线是采用电压表跨接在__ ___(填“O、P”或“O、Q”)两点的方案测量得到的。
(2)根据所用实验器材和图(b)可判断,由图线_ ___(填“I”或“II”)得到的结果更接近待测电阻的真实值,结果为_____ 
(3)考虑到实验中电表内阻的影响,需对(2)中得到的结果进行修正,修正后待测电阻的阻值为_____ 
正确答案
24.(12分)
我国自主研制了运-20重型运输机。飞机获得的升力大小







(1)求飞机装载货物后的起飞离地速度;
(2)若该飞机装载货物后,从静止开始匀加速滑行1521m起飞离地,求飞机在滑行过程中加速度的大小和所用的时间。
正确答案
23.(9分)
某同学用如图所示的实验装置验证动量定理,所用器材包括:气垫导轨、滑块(上方安装有宽度为d的遮光片)、两个与计算机相连接的光电门、砝码盘和砝码等。
实验步骤如下:
(1)开通气泵,调节气垫导轨,轻推滑块,当滑块上的遮光片经过两个光电门的遮光时间___时可认为气垫导轨水平;
(2)用天平测法码与砝码盘的总质量

(3)用细线跨过轻质定滑轮将滑块与砝码盘连接,并让细线水平拉动滑块;
(4)令滑块在砝码和砝码盘的拉动下从左边开始运动,和计算机连接的光电门能测量出遮光片经过A、B两处的光电门的遮光时间


(5)在遮光片随滑块从A运动到B的过程中,如果将砝码和砝码盘所受重力视为滑块所受拉力,拉力冲量的大小


(6)某次测量得到的一组数据为:










(7)定义

正确答案
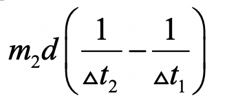
(1)相等
(5)
(6)0.221;0.212
(7)4
27.(15分)
为验证不同化合价铁的氧化还原能力,利用下列电池装置进行实验。
回答下列问题:
(1) 由

(2) 电池装置中,盐桥连接两电极电解质溶液。盐桥中阴、阳离子不与溶液中的物质发生化学反应,并且电迁移率(
(3) 电流表显示电子由铁电极流向石墨电极。可知,盐桥中的阳离子进入____电极溶液中。
(4) 电池反应一段时间后,测得电极溶液中



(5) 根据(3)、(4)实验结果,可知石墨电极的电极反应式为_______,铁电极的电极反应式为_______。因此,验证了
(6) 实验前需要对铁电极表面活化。在

正确答案
(1)托盘天平、量筒、烧杯
(2) KCL
(3)石墨
(4) 0.09mol/L
25. (20分)
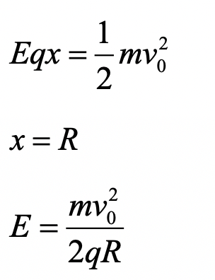
在一柱形区域内有匀强电场,柱的横截面是以O为圆心,半径为R的圆,AB为圆的直径,如图所示。质量为m,电荷量为q(q>0)的带电粒子在纸面内自A点先后以不同的速度进入电场,速度方向与电场的方向垂直。已知刚进入电场时速度为零的粒子,自圆周上的C点以速率

(1)求电场强度的大小;
(2)为使粒子穿过电场后的动能增量最大,该粒子进入电场时的速度应为多大?
(3)为使粒子穿过电场前后动量变化量的大小为
正确答案
(1)粒子初速度为零 由动能定理
26. (14分)
钒具有广泛用途。黏土钒矿中,钒以+3、+4、+5价的化合物存在,还包括钾、镁的铝硅酸盐,以及

该工艺条件下,溶液中金属离子开始沉淀和完全沉淀的pH如下表所示:
回答下列问题:
(1)“酸浸氧化”需要加热,其原因是________。
(2)“酸浸氧化”中,




(3)“中和沉淀”中,钒水解并沉淀为



(4)“沉淀转溶”中,
(5)“调pH”中有沉淀生成,生成沉淀反应的化学方程式是____。
(6)“沉钒”中析出

正确答案
28.(14分)
硫酸是一种重要的基本化工产品。接触法制硫酸生产中的关键工序是

(1) 钒催化剂参与反应的能量变化如图(a)所示,



(2) 当











(3)将组成(物质的量分数)为








(4)研究表明,
式中:










曲线上






正确答案
30.(10分)
农业生产中的一些栽培措施可以影响作物的生理活动,促进作物的生长发育,达到增加产量等目的。回答下列问题:
(1) 中耕是指作物生长期中,在植株之间去除杂草并进行松土的一项栽培措施,该栽培措施对作物的作用有____________(答出2点即可)
(2) 农田施肥的同时,往往需要适当浇水,此时浇水的原因是___________(答出1点即可)
(3) 农业生产常采用间作(同一生长期内,在同一块农田上间隔种植两种作物)的方法提高农田的光能利用率。现有4种作物,在正常条件下生长能达到的株高和光饱和点(光合速率达到最大时所需的光照强度)见下表。从提高光能利用率的角度考虑,最适合进行间作的两种作物是________,选择这两种作物的理由是_________________。
正确答案
(1) 中耕松土使土壤疏松,有利于根部的有氧呼吸,从而促进根对离子(矿质元素)的吸收(2分):除去杂草,减少杂草与农作物对光照,二氧化碳的竞争,使很多能量流向农作物,从而对人类更利(2分)。
(2) 植物光合作用的原料之一是水,所以浇水可以提高农作物的光合作用:水可让化肥溶解以离子形式存在,才被农作物吸收:浇水使得土壤湿润有利于土壤中的分解者代谢活动提高,分解有机肥释放二氧化碳,有利于光合作用。(2分)
(3) A和C (1分) A株高比较高,光饱和点比较高(1分),C株高较矮,光饱和点为阴生植物(1分),套种应选择阳生株高高植物与阴生的株高低植物植物套种,使光能和空间充分利用(1分),A和C适合套种。
29.(10分)
真核细胞的膜结构具有重要功能。请参照表中内容完成下表。
正确答案
(1) 细胞膜(2分)
(2) 参与信息传递(2分)
(3) 对蛋白质进行加工修饰(2分)
(4) 脂质和蛋白质(2分)
(5) 叶肉细胞进行光合作用时,光能转化为化学能的过程发生在类囊体膜上(2分)
32.(9分)
遗传学理论可用于指导农业生产实践。回答下列问题:
(1)生物体进行有性繁殖形成配子的过程中,在不发生染色体结构变异的情况下,产生基因重新组合的途径有两条,分别是
(2)在诱变育种过程中,通过诱变获得的新性状一般不能稳定遗传,原因是 ,若要使诱变获得的性状能够稳定遗传,需要采取的措施是
正确答案
(1) 同源染色体的非姐妹染色单体之间发生交叉互换(2分)和非同源染色体的自由组合(2分)
(2) 由于生物的性状通常是由体细胞中成对基因控制的,且基因突变的频率往往很低,所以基因突变通常是成对基因中的一个基因发生突变,基因突变后的个体通常为杂合子(3分)
让该突变个体连续自交,直到不发生性状分离为止(2分)
(二)选考题:共45分,请考生从2道物理题、2道化学题、2道生物题中每科任选一题作答。如果多做,则每科按所做的第一题计分。
33.[物理——选修3-3](15分)
(1)(5分)分子间作用力











(2)(10分)甲、乙两个储气罐储存有同种气体(可视为理想气体),甲罐的容积为



(i)两罐中气体的压强;
(ii)两罐中气体的质量与甲罐中原有气体的质量之比。
(ii)两罐中气体的质量与甲罐中原有气体的质量之比。
(6)E的六元环芳香同分异构体中,能与金属钠反应,且核磁共振氢谱有四组峰,峰面积之比为6:2:2:1的有 ? 种,其中,芳香环上为二取代的结构简式为 ?
正确答案
(1)减小 减小 小于
(2)
正确答案
(1)BCE
正确答案
(1)4:5 (2分)
正确答案
(1)三氯乙烯
(2)
(3) 碳碳双键、氯原子
(4) 取代反应
(5)
(6)6
正确答案
(1)高压蒸汽灭菌法(2分) 琼脂(2分) 选择(2分)
(2) 104(2分)
(3) S浓度过高,细菌失水严重,进而导致细胞代谢紊乱(2分)
(4) 取样器取淤泥样品A 毫升,用无菌水适当稀释B倍,涂布于以S为唯一碳源和氮源的选择培养基上(上述乙培养基),在适宜条件下培养,待长出单菌落为30-300个进行单菌落计数为C.则淤泥中的细菌细胞数为:(B*C)/A(个/毫升)(3分)
(5) 水 无机盐 碳源 氮源(2分)
正确答案
(1) 使小鼠产生免疫反应(2分)
(2) 取小鼠的脾脏——剪碎——用胰蛋白酶处理分散成单个细胞——制成细胞悬液(3分)
(3) 选择性培养基(2分)只有融合的杂种细胞才能生长(2分)抗原抗体特异性结合(2分)
(4) 在体外条件下大规模培养或注射到小鼠腹腔内增殖(4分答对一种方法2分)
31.(10分)
某研究人员用药物W进行了如下实验:给甲组大鼠注射药物W,乙组大鼠注射等量生理盐水,饲养一段时间后,测定两组大鼠的相关生理指标。实验结果表明:乙组大鼠无显著变化;与乙组大鼠相比,甲组大鼠的血糖浓度升高,尿中葡萄糖含量增加,进食量增加,体重下降,回答下列问题:
(1) 由上述实验结果可推测,药物W破坏了胰腺中的_____细胞,使细胞失去功能,从而导致血糖浓度升高。
(2) 由上述实验结果还可推测,甲组大鼠肾小管液中的葡萄糖含量增加,导致肾小管液的渗透压比正常时的_____,从而使该组大鼠的排尿量_______。
(3) 实验中测量到甲组大鼠体重下降,推测体重下降的原因是_____。
(4) 若上述推测都成立,那么该实验的研究意义是_____(答出1点即可)。
正确答案
(1) 胰岛B细胞(2分)
(2) 升高(2分)增加(2分)
(3) 药物 W破坏胰岛 B 细胞,胰岛素含量下降,使得细胞摄取利用葡萄糖能力下降,合成自身有机物能力下降(1分):又因为尿液中葡萄糖含量升高,使得细胞能利用的葡萄糖进一步下降(1分),最终导致大鼠体重下降。
(4) 药物 W 临床应用人体副作用的影响;药物W引起血糖升高的分子机制;为高血糖症治疗提供新思路等(2分)























































































