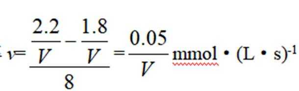
- 真题试卷
- 模拟试卷
- 预测试卷
细胞是生物体结构和功能的基本单位。下列叙述正确的是( )
正确答案
解析
原核细胞和真核细胞最主要的区别是原核细胞没有核膜包被的典型的细胞核,但是它们均具有细胞膜、细胞质、核糖体以及遗传物质DNA等结构。原核生物虽没有叶绿体和线粒体,但是少数生物也能进行光合作用和有氧呼吸,如蓝藻。
选项A.病毒没有细胞结构,A错误;
选项B.原核生物也可以进行有氧呼吸,原核细胞中含有与有氧呼吸相关的酶,B错误;
选项C.哺乳动物同一个体中细胞的染色体数目有可能不同,如生殖细胞中染色体数目是体细胞的一半,C正确;
选项D.小麦根细胞不含叶绿体,而线粒体是有氧呼吸的主要场所,小麦根细胞吸收离子消耗的ATP主要由线粒体产生,D错误。
故选C。
ATP可为代谢提供能量,也参与RNA的合成,ATP结构如图所示,图中~表示高能磷酸键,下列叙述错误的是( )
正确答案
解析
细胞生命活动的直接能源物质是ATP,ATP的结构简式是A-P~P~P,其中“A”是腺苷,“P”是磷酸;“A”代表腺苷,“T”代表3个。
选项A、ATP为直接能源物质,
选项B、ATP分子水解两个高能磷酸键后,得到RNA的基本单位之一——腺嘌呤核糖核苷酸,故用


选项C、ATP可在细胞核中发挥作用,如为rRNA合成提供能量,故

选项D、光合作用光反应,可将光能转化活跃的化学能储存于ATP的高能磷酸键中,故光合作用可将光能转化为化学能储存于

故选C。
植物生长发育受植物激素的调控。下列叙述错误的是( )
正确答案
解析
选项1、植物激素是由植物体内产生,能从产生部位送到作用部位,对植物的生长发育有显著影响的微量有机物;植物激素主要有生长素、赤霉素、细胞分裂素、乙烯和脱落酸等,它们对植物各种生命活动起着不同的调节作用。
选项2、植物激素包括生长素、细胞分裂素、赤霉素、脱落酸、乙烯等。其中生长素、细胞分裂素、赤霉素能促进植物的生长,而脱落酸和乙烯是抑制植物的生长。生长素能促进子房发育成果实,而乙烯能促进果实成熟。
选项3、调节植物生命活动的激素不是孤立的,而是相互作用共同调节的,植物生命活动的调节从根本上说是植物基因组程序性表达的结果。植物的生长发育既受内部因子(激素)的调节,也受外部因子(如光、温度、日照长度、重力、化学物质等)的影响。这些化学和物理因子通过信号转导,诱导相关基因表达,调控生长发育。
选项A、赤霉素主要合成部位是未成熟的种子、幼根和幼芽,赤霉素能促进植物的生长,可以诱导某些酶的合成促进种子萌发,A正确;
选项B、生长素的极性运输属于主动运输,主动运输需要载体蛋白的协助并消耗能量,B错误;
选项C、植物激素与受体特异性结合,引发细胞内发生一系列信号转导过程,进而诱导特定基因的表达,从而产生效应,C正确;
选项D、调节植物生命活动的激素不是孤立的,而是相互作用共同调节的,因此一种激素可通过诱导其他激素的合成发挥作用,D正确;
故选B。
甲状腺激素在人体生命活动的调节中发挥重要作用。下列叙述错误的是( )
正确答案
解析
甲状腺分泌甲状腺激素,甲状腺激素能促进代谢,增加产热;能提高神经系统兴奋性;能促进幼小动物的生长发育。
选项A.甲状腺激素几乎可以作用于人体所有细胞,因此其受体分布于人体内几乎所有细胞,A正确;
选项B.甲状腺激素可以促进中枢神经系统的发育,提高机体神经系统的兴奋性,B正确;
选项C.甲状腺激素能促进新陈代谢,因此其分泌增加可使细胞代谢速率加快,C正确;
选项D.甲状腺激素对下丘脑分泌促甲状腺激素释放激素(TRH)和垂体分泌促甲状腺激素(TSH)存在反负馈调节,因此甲状腺激素分泌不足会使血中促甲状腺激素(TSH)含量增加,D错误。
故选D。
某生态系统中捕食者与被捕食者种群数量变化的关系如图所示,图中→表示种群之间数量变化的关系,如甲数量增加导致乙数量增加。下列叙述正确的是( )
正确答案
解析
分析题图可知,甲数量增加导致乙数量增加,而乙数量增加导致丙数量增加、甲数量下降;乙数量下降导致丙数量下降、甲数量增加,可见甲、乙、丙三者的能量流动方向是甲→乙→丙。
选项A、分析题图可知,甲数量增加导致乙数量增加,而乙数量增加导致丙数量增加;甲数量下降导致乙数量下降,而乙数量下降导致丙数量下降;可见甲数量的变化会间接对丙数量产生影响,A错误;
选项B、由A项分析可知,乙捕食甲,同时乙又被丙捕食,可见乙在该生态系统中既
选项C、由B项分析可知,乙捕食甲,丙捕食乙,故丙不可能是初级消费者,可能是次级消费者,C错误;
选项D、分析题图可知,甲数量增加导致乙数量增加,而乙数量增加导致丙数量增加、甲数量下降;乙数量下降导致丙数量下降、甲数量增加,可见甲、乙、丙三者的能量流动方向是甲→乙→丙,D错误。
故选B。
果蝇翅型、体色和眼色性状各由1对独立遗传的等位基因控制,其中弯翅、黄体和紫眼均为隐性性状,控制灰体、黄体性状的基因位于X染色体上。某小组以纯合体雌蝇和常染色体基因纯合的雄蝇为亲本杂交得


正确答案
解析
选项1、自由组合定律的实质:控制不同性状的遗传因子的分离和组合是互不干扰的;在形成配子时,决定同一性状的成对的遗传因子彼此分离,决定不同性状的遗传因子自由组合。
选项2、依据题干信息,①果蝇翅型、体色和眼色性状各由1对独立遗传的等位基因控制,②控制灰体、黄体性状的基因位于X染色体上,③其中弯翅、黄体和紫眼均为隐性性状,说明这三对等位基因的遗传遵循基因的自由组合定律。
选项A、令直翅对弯翅由A、a控制,体色灰体对黄体由B、b控制,眼色红眼对紫眼由D、d控制。当直翅黄体♀×弯翅灰体♂时,依据题干信息,其基因型为:


选项B、当直翅灰体♀×弯翅黄体♂时,依据题干信息,其基因型为:


选项C、当弯翅红眼♀×直翅紫眼♂时,依据题干信息,其基因型


选项D、当灰体紫眼♀×黄体红眼♂时,依据题干信息,其基因型为:

故选A。
人类对能源的利用经历了柴薪、煤炭和石油时期,现正向新能源方向高质量发展。下列有关能源的叙述错误的是
正确答案
解析
选项A.木材的主要成分为纤维素,纤维素中含碳、氢、氧三种元素,煤是古代植物埋藏在地下经历了复杂的变化逐渐形成的固体,是有机物和无机物组成的复杂混合物,主要含碳元素,A正确;
选项B.石油裂化是将相对分子质量较大、沸点较高的烃断裂为相对分子质量较小、沸点较低的烃的过程,汽油的相对分子质量较小,可以通过石油裂化的方式得到,B正确;
选项C.燃料电池是将燃料
选项D.在催化剂作用下,利用太阳能光解水可以生成氢气和氧气,D正确;
故答案选C。
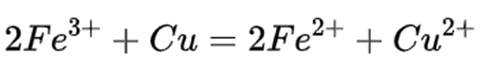
下列过程对应的离子方程式正确的是
正确答案
解析
选项A.玻璃的主要成分为



选项B.



选项C.氯气具有强氧化性,可以氧化硫代硫酸根成硫酸根,氯气被还原为氯离子,反应的离子方程式为
选项D.碳酸钙的溶解度小于硫酸钙,可以用碳酸钠溶液浸泡水垢使硫酸钙转化为疏松、易溶于酸的碳酸钙,反应的离子方程式为
故答案选D。
我国化学工作者开发了一种回收利用聚乳酸(PLA)高分子材料的方法,其转化路线如下所示。
下列叙述错误的是
正确答案
解析
选项A.根据PLA的结构简式,聚乳酸是其分子中的羧基与另一分子中的羟基发生反应聚合得到的,含有酯基结构,可以在碱性条件下发生降解反应,A正确;
选项B.根据MP的结果,MP可视为丙酸和甲醇发生酯化反应得到的,因此其化学名称为丙酸甲酯,B正确;
选项C.MP的同分异构体中,含有羧基的有2种,分别为正丁酸和异丁酸,C错误;
选项D.MMA中含有双键结构,可以发生加聚反应生成高分子
故答案选C。
四瓶无色溶液
正确答案
解析
由题意及关系图可知,a与b反应需要加热,且产生的e为无色气体,则a和b分别为
















选项A.由分析可知,a为

选项B.由分析可知,f为


选项C.由分析可知,c为






选项D.由分析可知,b为


故选B。
W、X、Y、Z为原子序数依次增大


正确答案
解析
W、X、Y、Z为原子序数依次增大的短周期元素,且能形成离子化合物



选项A.由分析可知,X为N元素,Z为P元素,X和Z属于同一主族,A项正确;
选项B.由分析可知,X为N元素,Y为F元素,Z为P元素,非金属性:F>N>P,B项错误;
选项C.由分析可知,Y为F元素,Z为P元素,非金属性越强,其简单气态氢化物的稳定性越强,即气态氢化物的稳定性:HF>PH3,C项错误;
选项D.由分析可知,W为Li元素,X为N元素,Y为F元素,同周期主族元素原子半径随着原子序数的增大而减小,故原子半径:Li>N>F,D项错误;
故选A。
科学家使用




正确答案
解析
Zn具有比较强的还原性,




选项A.充电时该装置为电解池,电解池中阳离子向阴极迁移,即
选项B.放电时,负极的电极反应为

选项C.放电时



选项D.放电时,Zn电极质量减少0.65g(物质的量为0.010mol),电路中转移0.020mol电子,由正极的主要反应




综上所述,本题选C。
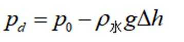
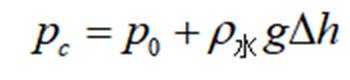
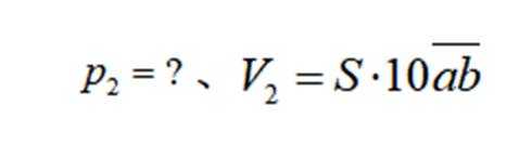
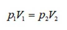
将








下列叙述正确的是
正确答案
解析
向














选项A.2mL时










选项B.当





选项C.








选项D.V>2.0mL时











故答案选D。
氘核可通过一系列聚变反应释放能量,总的反应效果可用
正确答案
解析
根据反应前后质量数和电荷数守恒可得
解得
故选C。
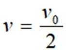
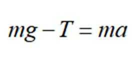
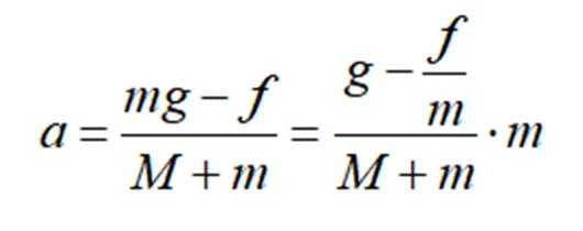
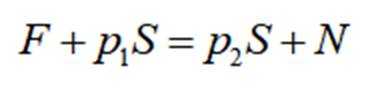
如图,一轻绳跨过光滑定滑轮,绳的一端系物块P,P置于水平桌面上,与桌面间存在摩擦;绳的另一端悬挂一轻盘(质量可忽略),盘中放置砝码。改变盘中砝码总质量m,并测量P的加速度大小a,得到


正确答案
解析
设P的质量为

以盘和砝码为对象,根据牛顿第二定律可得
联立可得
可知当砝码的重力大于


故选D。
2024年5月,嫦娥六号探测器发射成功,开启了人类首次从月球背面采样返回之旅。将采得的样品带回地球,飞行器需经过月面起飞、环月飞行、月地转移等过程。月球表面自由落体加速度约为地球表面自由落体加速度的
正确答案
解析
选项A.在环月飞行时,样品所受合力提供所需的向心力,不为零,故A错误;
选项B.若将样品放置在月球正面,它对月球表面压力大小等于它在月球表面的重力大小;u由于月球表面自由落体加速度约为地球表面自由落体加速度的
选项C.样品在不同过程中受到的引力不同,但样品的质量相同,故C错误。
故选D。
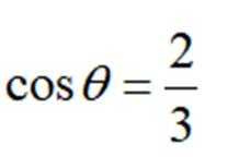
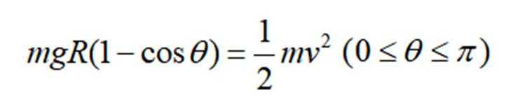
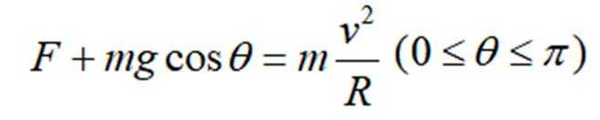
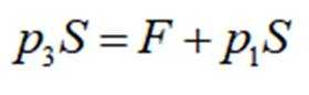
如图,一光滑大圆环固定在竖直平面内,质量为m的小环套在大圆环上,小环从静止开始由大圆环顶端经Q点自由下滑至其底部,Q为竖直线与大圆环的切点。则小环下滑过程中对大圆环的作用力大小( )
正确答案
解析
方法一(分析法):设大圆环半径为

设图中夹角为

在
联立解得
从大圆环顶端到

方法二(数学法):设大圆环半径为

在该处根据牛顿第二定律
联立可得
则大圆环对小环作用力的大小
根据数学知识可知

故选C。
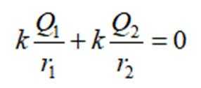
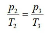
在电荷量为Q的点电荷产生的电场中,将无限远处的电势规定为零时,距离该点电荷r处的电势为


正确答案
解析
【详解】根据两点电荷周围的电势分布可知

由图中距离关系可知
联立解得
故选B。
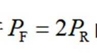
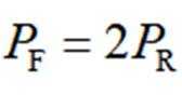
如图,理想变压器的副线圈接入电路的匝数可通过滑动触头T调节,副线圈回路接有滑动变阻器R、定值电阻



正确答案
解析
选项A.保持T不动,根据理想变压器的性质可知副线圈中电压不变,当滑动变阻器R的滑片向f端滑动时,R与

选项B.将T向b端移动,副线圈匝数变小,故副线圈两端电压变小,滑动变阻器R的滑片位置不变时,通过
选项C.将T向a端移动,副线圈匝数增加,故副线圈两端电压变大,滑动变阻器R的滑片向f端滑动,R与
选项D.将T向b端移动,副线圈匝数减少,故副线圈两端电压变小,滑动变阻器R的滑片向e端滑动,R与
故选AC。
蹦床运动中,体重为


正确答案
解析
选项A.根据牛顿第三定律结合题图可知
选项BC.根据题图可知运动员从




故B正确,C错误;
选项D.同理可知运动员落到蹦床时的速度大小为
其中
代入数据可得
根据牛顿第三定律可知运动员每次与蹦床接触到离开过程中对蹦床的平均作用力大小为
故选BD。
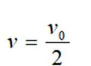
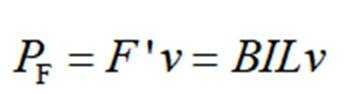
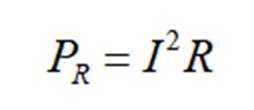
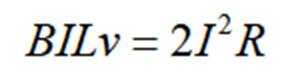
如图,一绝缘细绳跨过两个在同一竖直面(纸面)内的光滑定滑轮,绳的一端连接一矩形金属线框,另一端连接一物块。线框与左侧滑轮之间的虚线区域内有方向垂直纸面的匀强磁场,磁场上下边界水平,在
正确答案
解析
设线圈的上边进入磁场时的速度为v,设线圈的质量M,物块的质量m,图中线圈进入磁场时线圈的加速度向下,则对线圈由牛顿第二定律可知
对滑块
其中
即
线圈向上做减速运动,随速度的减小,向下的加速度减小;当加速度为零时,即线圈匀速运动的速度为
选项A.若线圈进入磁场时的速度较小,则线圈进入磁场时做加速度减小的减速运动,线圈的速度和加速度都趋近于零,则图像A可能正确;
选项B.因t=0时刻线圈就进入磁场,则进入磁场时线圈向上不可能做匀减速运动,则图像B不可能;
选项CD.若线圈的质量等于物块的质量,且当线圈进入磁场时,且速度大于v0,线圈进入磁场做加速度减小的减速运动,完全进入磁场后线圈做匀速运动;当线圈出离磁场时,受向下的安培力又做加速度减小的减速运动,最终出离磁场时做匀速运动,则图像C有可能,D不可能。
学生小组为了探究超重和失重现象,将弹簧测力计挂在电梯内,测力计下端挂一物体。已知当地重力加速度大小为
(1)电梯静止时测力计示数如图所示,读数为_____N(结果保留1位小数);
(2)电梯上行时,一段时间内测力计的示数为

正确答案
(1)5.0 (2) ①. 失重 ②. 1.0
解析
(1)由图可知弹簧测力计的分度值为0.5N,则读数为5.0N。
(2)[1]电梯上行时,一段时间内测力计的示数为
[2]根据
根据牛顿第二定律
代入数据联立解得电梯加速度大小
电阻型氧气传感器的阻值会随所处环境中的氧气含量发生变化。在保持流过传感器的电流(即工作电流)恒定的条件下,通过测量不同氧气含量下传感器两端的电压,建立电压与氧气含量之间的对应关系,这一过程称为定标。一同学用图(a)所示电路对他制作的一个氧气传感器定标。实验器材有:装在气室内的氧气传感器(工作电流

(1)将图(a)中的实验器材间的连线补充完整_____,使其能对传感器定标;
(2)连接好实验器材,把氧气含量为1%的气瓶接到气体入口;
(3)把滑动变阻器的滑片滑到_____端(填“a”或“b”),闭合开关;
(4)缓慢调整滑动变阻器的滑片位置,使毫安表的示数为
(5)断开开关,更换气瓶,重复步骤(3)和(4);
(6)获得的氧气含量分别为


现测量一瓶待测氧气含量的气体,将气瓶接到气体入口,调整滑动变阻器滑片位置使毫安表的示数为

正确答案
①. 

解析
(1)[1]为了保持流过传感器的电流恒定,电阻型氧气传感器两端的电压调节范围较大,所以滑动变阻器采用分压式接法,由于毫安表内阻可忽略,所以电流表采用内接法,实物连接图如图所示
(3)[2]为了保护电路,闭合开关前,需要电阻型氧气传感器两端的电压为零,故滑动变阻器的滑片滑到a端口;
(6)[3]由图可知,电压表的分度值为0.1V,需要估读到分度值下一位,其读数为1.40V;
[4]当瓶气体的氧气含量为
可知电压表的示数为1.50V时,此瓶气体的氧气含量为
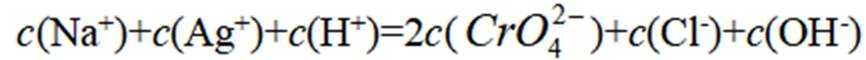
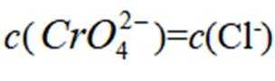
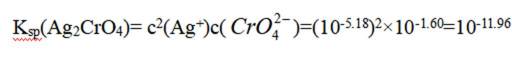
钴在新能源、新材料领域具有重要用途。某炼锌废渣含有锌、铅、铜、铁、钴、锰的
注:加沉淀剂使一种金属离子浓度小于等于
已知:
②以氢氧化物形式沉淀时,

回答下列问题:
(1)“酸浸”前,需将废渣磨碎,其目的是_____。
(2)“酸浸”步骤中,
(3)假设“沉铜”后得到的滤液中








(4)“沉锰”步骤中,生成

(5)“沉淀”步骤中,用

(6)“沉钴”步骤中,控制溶液


(7)根据题中给出的信息,从“沉钴”后的滤液中回收氢氧化锌的方法是_____。
正确答案
(1)增大固体与酸反应的接触面积,提高钴元素的浸出效率
(2)
(3) ①. 
(4)
(5)
(6)
(7)向滤液中滴加
解析
炼锌废渣含有锌、铅、铜、铁、钴、锰的




(1)“酸浸”前,需将废渣磨碎,其目的是增大固体与酸反应的接触面积,提高钴元素的浸出效率。
(2)“酸浸”步骤中,Cu不溶解,Zn单质及其他




(3)假设“沉铜”后得到的滤液中











(4)“沉锰”步骤中,





(5)“沉锰”步骤中,






(6)“沉钴”步骤中,控制溶液




(7)根据题中给出的信息,“沉钴”后的滤液的





(一)过氧化脲的合成
烧杯中分别加入




(二)过氧化脲性质检测
I.过氧化脲溶液用稀

Ⅱ.过氧化脲溶液用稀

(三)产品纯度测定
溶液配制:称取一定量产品,用蒸馏水溶解后配制成
滴定分析:量取


回答下列问题:
(1)过滤中使用到的玻璃仪器有_____(写出两种即可)。
(2)过氧化脲的产率为_____。
(3)性质检测Ⅱ中的现象为_____。性质检则I和Ⅱ分别说明过氧化脲具有的性质是_____。
(4)下图为“溶液配制”的部分过程,操作a应重复3次,目的是_____,定容后还需要的操作为_____。
(5)“滴定分析”步骤中,下列操作错误的是_____(填标号)。
删除A. 
删除B. 用量筒量取

删除C. 滴定近终点时,用洗瓶冲洗锥形瓶内壁
删除D. 锥形瓶内溶液变色后,立即记录滴定管液面刻度
(6)以下操作导致氧化脲纯度测定结果偏低的是_____(填标号)。
删除A. 容量瓶中液面超过刻度线
删除B. 滴定管水洗后未用
删除C. 摇动锥形瓶时
删除D. 滴定前滴定管尖嘴处有气泡,滴定后气泡消失
正确答案
(1)烧杯、漏斗、玻璃棒,可任选两种作答
(2)50% (3) ①. 液体分层,上层为无色,下层为紫红色 ②. 还原性、氧化性
(4) ①. 避免溶质损失 ②. 盖好瓶塞,反复上下颠倒、摇匀 (5)BD (6)A
解析
(1)过滤操作需要的玻璃仪器有烧杯、漏斗、玻璃棒,可任选两种作答。
(2)实验中加入尿素的质量为12.0g,物质的量为0.2mol,过氧化氢的质量为

(3)在过氧化脲的性质检测中,检测Ⅰ用稀硫酸酸化,加入高锰酸钾溶液,紫红色消失,说明过氧化脲被酸性高锰酸钾氧化,体现了过氧化脲的还原性;检测Ⅱ用稀硫酸酸化,加入KI溶液和四氯化碳溶液,过氧化脲会将KI氧化为I2单质,体现了过氧化脲的氧化性,生成的I2在四氯化碳中溶解度大,会溶于四氯化碳溶液,且四氯化碳密度大于水,振荡,静置后出现的现象为:液体分层,上层为无色,下层为紫红色。
(4)操作a为洗涤烧杯和玻璃棒,并将洗涤液转移到容量瓶中,目的是避免溶质损失;定容后应盖好瓶塞,反复上下颠倒、摇匀。
(5)选项A.
选项B.量筒的精确度不能达到0.01mL,量取25.00mL的溶液应选用滴定管,B项错误;
选项C.滴定过程中,待测液有可能会溅到锥形瓶内壁,滴定近终点时,为了使结果更精确,可用洗瓶冲洗锥形瓶内壁,C项正确;
选项D.锥形瓶内溶液变色后,应等待30s,观察溶液不再恢复原来的颜色后,才能记录滴定管液面刻度,D项错误;
故选BD。
(6)选项A.在配制过氧化脲溶液时,容量瓶中页面超过刻度线,会使溶液体积偏大,配制溶液的浓度偏低,会使滴定过程中消耗的
选项B.滴定管水洗后未用

选项C.摇动锥形瓶时

选项D.滴定前滴定管尖嘴处有气泡,滴定后气泡消失,会使滴定过程中消耗的
故选A。
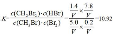
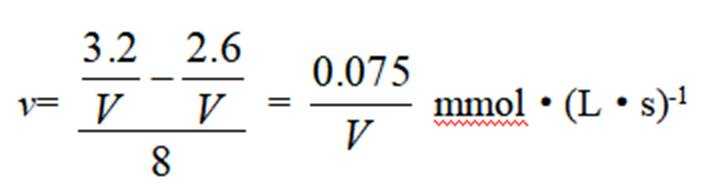
甲烷转化为多碳化合物具有重要意义。一种将甲烷溴化再偶联为丙烯(
(1)已知如下热化学方程式:
计算反应

(2)








(i)图中
(ii)


(iii)


(3)少量






(i)在




(ii)从图中找出

(ⅲ)研究表明,
①
②
③
④
⑤
⑥
根据上述机理,分析

正确答案
(1)-67 (2) ①. a ②. 80% ③. 7.8 ④. 10.92
(3)①. 







解析
根据盖斯定律计算化学反应热;根据影响化学反应速率的因素判断还行反应进行的方向从而判断曲线归属;根据反应前后的变化量计算转化率;根据平衡时各物质的物质的量计算平衡常数;根据一段时间内物质的含量变化计算速率并计算速率比;根据图示信息和反应机理判断合适的原因。
(1)将第一个热化学方程式命名为①,将第二个热化学方程式命名为②。根据盖斯定律,将方程式①乘以3再加上方程式②,即①×3+②,故热化学方程式

(2)(i)根据方程式①,升高温度,反应向吸热反应方向移动,升高温度,平衡逆向移动,


(ii)







(iii)平衡时,反应中各组分的物质的量分别为


(3)(i)





(ii)从图中可以看出,大约4.5s以后有





(iii)根据反应机理,




在自然条件下,某植物叶片光合速率和呼吸速率随温度变化的趋势如图所示。回答下列问题。
(1)该植物叶片在温度a和c时的光合速率相等,叶片有机物积累速率________(填“相等”或“不相等”),原因是________________________________。
(2)在温度d时,该植物体的干重会减少,原因是________________________________。
(3)温度超过b时,该植物由于暗反应速率降低导致光合速率降低。暗反应速率降低的原因可能是________________________________。(答出一点即可)
(4)通常情况下,为了最大程度地获得光合产物,农作物在温室栽培过程中,白天温室的温度应控制在________最大时的温度。
正确答案
(1) ①. 不相等 ②. 温度a和c时的呼吸速率不相等
(2)温度d时,叶片的光合速率与呼吸速率相等,但植物的根部等细胞不进行光合作用,仍呼吸消耗有机物,导致植物体的干重减少
(3)温度过高,导致部分气孔关闭,CO2供应不足,暗反应速率降低;温度过高,导致酶的活性降低,使暗反应速率降低
(4)光合速率和呼吸速率差值
解析
影响光合作用的因素有:光照强度、温度、
(1)该植物叶片在温度a和c时的光合速率相等,但由于呼吸速率不同,因此叶片有机物积累速率不相等。
(2)在温度d时,叶片的光合速率与呼吸速率相等,但由于植物有些细胞不进行光合作用如根部细胞,因此该植物体的干重会减少。
(3)温度超过b时,为了降低蒸腾作用,部分气孔关闭,使


(4)为了最大程度地获得光合产物,农作物在温室栽培过程中,白天温室的温度应控制在光合速率与呼吸速率差值最大时的温度,有利于有机物的积累。
某种病原体的蛋白质A可被吞噬细胞摄入和处理,诱导特异性免疫。回答下列问题。
(1)病原体感染诱导产生浆细胞的特异性免疫方式属于________。
(2)溶酶体中的蛋白酶可将蛋白质A的一条肽链水解成多个片段,蛋白酶切断的化学键是________。
(3)不采用荧光素标记蛋白质A,设计实验验证蛋白质A的片段可出现在吞噬细胞的溶酶体中,简要写出实验思路和预期结果______。
正确答案
(1)体液免疫
(2)肽键 (3)实验思路:以蛋白质A的片段为抗原,制备单克隆抗体,利用差速离心法将吞噬细胞中的溶酶体分离,并提取溶酶体中的蛋白质,利用抗原抗体杂交技术进行检测
预期结果:出现杂交带,表明蛋白质A的片段可出现在吞噬细胞的溶酶体中
解析
非特异性免疫(先天性免疫):第一道防线:皮肤、黏膜等;第二道防线:体液中的杀菌物质和吞噬细胞;特异性免疫(获得性免疫)第三道防线:由免疫器官和免疫细胞借助血液循环和淋巴循环组成。
(1)特异性免疫包括体液免疫和细胞免疫。病原体感染诱导产生浆细胞的特异性免疫方式属于体液免疫。
(2)蛋白酶可将蛋白质A的一条肽链水解成多个片段,因此蛋白酶切断的是肽键。
(3)为验证蛋白质A的片段可出现在吞噬细胞的溶酶体中,可以蛋白质A的片段为抗原,制备单克隆抗体,利用差速离心法将吞噬细胞中的溶酶体分离,并提取溶酶体中的蛋白质,利用抗原抗体杂交技术进行检测,若出现杂交带,则表明蛋白质A的片段可出现在吞噬细胞的溶酶体中。
鸟类B曾濒临灭绝。在某地发现7只野生鸟类B后,经保护其种群规模逐步扩大。回答下列问题。
(1)保护鸟类B采取“就地保护为主,易地保护为辅”模式。就地保护是________。
(2)鸟类B经人工繁育达到一定数量后可放飞野外。为保证鸟类B正常生存繁殖,放飞前需考虑的野外生物因素有________________。(答出两点即可)
(3)鸟类B的野生种群稳步增长。通常,种群呈“S”型增长的主要原因是________。
(4)保护鸟类B等濒危物种的意义是________________________。
正确答案
(1)在原地对被保护的生态系统或物种建立自然保护区以及国家公园等
(2)天敌、竞争者、食物等 (3)存在环境阻力 (4)增加生物多样性
解析
1、生物
删除2、生物多样性的价值:(1)直接价值:对人类有食用、药用和工业原料等使用意义,以及有旅游观赏、科学研究和文学艺术创作等非实用意义的。(2)间接价值:对生态系统起重要调节作用的价值(生态功能)。(3)潜在价值:目前人类不清楚的价值。
(1)就地保护是指在原地对被保护的生态系统或物种建立自然保护区以及国家公园等,这是对生物多样性最有效的保护。
(2)为保证鸟类B正常生存繁殖,放飞前需考虑的野外生物因素有减少天敌以及竞争者的存在,同时增加鸟类B的食物数量和种类。
(3)种群呈“S”型增长的主要原因是受资源和空间的限制,以及竞争者和天敌的存在,即存在环境阻力。
(4)保护濒危物种可以增加生物多样性。
袁隆平研究杂交水稻,对粮食生产具有突出贡献。回答下列问题。
(1)用性状优良的水稻纯合体(甲)给某雄性不育水稻植株授粉,杂交子一代均表现雄性不育;杂交子一代与甲回交(回交是杂交后代与两个亲本之一再次交配),子代均表现雄性不育;连续回交获得性状优良的雄性不育品系(乙)。由此推测控制雄性不育的基因(A)位于________________(填“细胞质”或“细胞核”)。
(2)将另一性状优良的水稻纯合体(丙)与乙杂交,F1均表现雄性可育,且长势与产量优势明显,F1即为优良的杂交水稻。丙的细胞核基因R的表达产物能够抑制基因A的表达。基因R表达过程中,以
(3)以丙为父本与甲杂交(正交)得F1,F1自交得F2,则F2中与育性有关的表现型有________种。反交结果与正交结果不同,反交的F2中与育性有关的基因型有________种。
正确答案
(1)细胞质 (2) ①. 核糖体 ②. 3:1
(3) ①. 1 ②. 3
解析
基因的自由组合定律的实质是位于非同源染色体上的非等位基因的分离或组合是互不干扰的;在减数分裂过程中,同源染色体上的等位基因彼此分离的同时,非同源染色体上的非等位基因自由组合。
小问1:由题意可知,雄性不育株在杂交过程中作母本,在与甲的多次杂交过程中,子代始终表现为雄性不育,即与母本表型相同,说明雄性不育为母系遗传,即制雄性不育的基因(A)位于细胞质中。
小问2:以



小问3:丙为雄性可育基因型为A(RR)或a(RR),甲也为雄性可育基因型为a(rr),以丙为父本与甲杂交(正交)得







选考题:合理使用消毒液有助于减少传染病的传播。某同学比较了3款消毒液A、B、C杀灭细菌的效果,结果如图所示。回答下列问题。
(1)该同学采用显微镜直接计数法和菌落计数法分别测定同一样品的细菌数量,发现测得的细菌数量前者大于后者,其原因是________________________。
(2)该同学从100 mL细菌原液中取1 mL加入无菌水中得到10 mL稀释菌液,再从稀释菌液中取200 μL涂布平板,菌落计数的结果为100,据此推算细菌原液中细菌浓度为________________个/mL。
(3)菌落计数过程中,涂布器应先在酒精灯上灼烧,冷却后再涂布。灼烧的目的是________,冷却的目的是________________________。
(4)据图可知杀菌效果最好的消毒液是________,判断依据是________________。(答出两点即可)
(5)鉴别培养基可用于反映消毒液杀灭大肠杆菌
正确答案
(1)前者微生物分散的活菌和死菌一起计数,后者存在多个活菌形成一个菌落的情况且只计数活菌 (2)5000
(3) ①. 杀死涂布器上可能存在的微生物,防止涂布器上可能存在的微生物污染 ②. 防止温度过高杀死菌种
(4) ①. A ②. A消毒液活菌数减少量最多,且杀菌时间较短,效率最高
(5)黑
解析
平板划线法是通过接种环在琼脂固体培养基表面连续划线的操作。将聚集的菌种逐步稀释分散到培养基的表面。在数次划线后培养,可以分离到由一个细胞繁殖而来的肉眼可见的子细胞群体,这就是菌落。稀释涂布平板法是将菌液进行一系列的梯度稀释,然后将不同稀释度的菌液分别涂布到琼脂固体培养基的表面,进行培养。分为系列稀释操作和涂布平板操作两步。
小问1:显微镜直接计数法把死菌和活菌一起计数。菌落计数法计数只计活菌数,还可能存在多个活菌形成一个菌落的情况,故前者的数量多于后者。
小问2:从100 mL细菌原液中取1 mL加入无菌水中得到10 mL稀释菌液,即稀释了10倍,删除1mL细菌原液中细菌浓度=(菌落数÷菌液体积)×稀释倍数=(100÷200 μL)×10个=5000个。
小问3:菌落计数过程中,涂布器应先在酒精灯上灼烧,冷却后再涂布。灼烧
小问4:A消毒液活菌数减少量最多,且杀菌时间较短,效率最高,因此A消毒液杀菌效果最好。
小问5:大肠杆菌在伊红美蓝培养基上生长的菌落呈黑色。
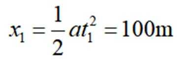
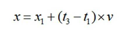
为抢救病人,一辆救护车紧急出发,鸣着笛沿水平直路从




(1)救护车匀速运动时的速度大小;
(2)在停止鸣笛时救护车距出发处的距离。
正确答案
(1)20m/s;(2)680m
解析
(1)根据匀变速运动速度公式
可得救护车匀速运动时的速度大小
(2)救护车加速运动过程中的位移
设在
停止鸣笛时救护车距出发处的距离
代入数据联立解得
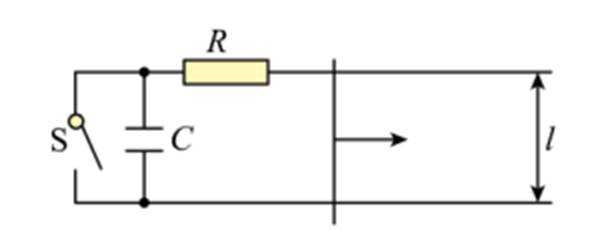
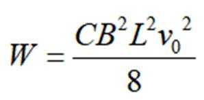
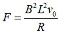
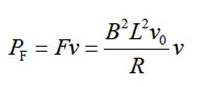
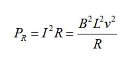
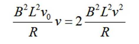
如图,金属导轨平行且水平放置,导轨间距为L,导轨光滑无摩擦。定值电阻大小为R,其余电阻忽略不计,电容大小为C。在运动过程中,金属棒始终与导轨保持垂直。整个装置处于竖直方向且磁感应强度为B的匀强磁场中。
(1)开关S闭合时,对金属棒施加以水平向右的恒力,金属棒能达到的最大速度为
(2)当金属棒速度为v时,断开开关S,改变水平外力并使金属棒匀速运动。当外力功率为定值电阻功率的两倍时,求电容器两端的电压以及从开关断开到此刻外力所做的功。
正确答案
(1)

解析
(1)开关S闭合后,当外力与安培力相等时,金属棒的速度最大,则
由闭合电路欧姆定律
金属棒切割磁感线产生的感应电动势为
联立可得,恒定的外力为
在加速阶段,外力的功率为
定值电阻的功率为
若
化简可得金属棒速度v的大小为
(2)断开开关S,电容器充电,则电容器与定值电阻串联,则有
当金属棒匀速运动时,电容器不断充电,电荷量q不断增大,电路中电流不断减小,则金属棒所受安培力
定值电阻功率
当
可得
根据
可得此时电容器两端电压为
从开关断开到此刻外力所做的功为
其中
联立可得
选考题:
第一小题:如图,四个相同的绝热试管分别倒立在盛水的烧杯a、b、c、d中,平衡后烧杯a、b、c中的试管内外水面的高度差相同,烧杯d中试管内水面高于试管外水面。已知四个烧杯中水的温度分别为

A. a中水的饱和气压最小
B. a、b中水的饱和气压相等
C. c、d中水的饱和气压相等
D. a、b中试管内气体的压强相等
E. d中试管内气体的压强比c中的大
第二小题:如图,一竖直放置的汽缸内密封有一定量的气体,一不计厚度的轻质活塞可在汽缸内无摩擦滑动,移动范围被限制在卡销a、b之间,b与汽缸底部的距离




(1)求外力增加到

(2)再将汽缸内气体加热使气体温度缓慢升高,求当活塞刚好能离开卡销b时气体的温度。
正确答案
第一小题正确答案
ACD
第二小题正确答案
(1)100N;(2)327K
解析
第一小题解析:A.同一物质的饱和气压与温度有关,温度越大,饱和气压越大,a中水的温度最低,则a中水的饱和气压最小,故A正确;B.同理,a中水的温度小于b中水的温度,则a中水的饱和气压小于b中水的饱和气压,故B错误;C.c中水的温度等于d中水的温度,则c、d中水的饱和气压相等,故C正确;D.设大气压强为

故D正确;
删除E.d中试管内气体的压强为
c中试管内气体的压强为
可知
故E错误。
故选ACD。
第二小题解析
(1)活塞从位置

末态
根据
解得
此时对活塞根据平衡条件
解得卡销b对活塞支持力的大小
(2)将汽缸内气体加热使气体温度缓慢升高,当活塞刚好能离开卡销b时,气体做等容变化,初态
末态,对活塞根据平衡条件
解得
设此时温度为
解得
选考题:
第一小题:一列简谐横波沿x轴传播,周期为

A. 该波的波速为
B. 该波沿x轴正方向传播
C. 

D. 
E. 
第二小题:一玻璃柱的折射率
正确答案
第一小题正确答案
ACD
第二小题正确答案
解析
第一小题解析:A.由图可知波长为
则该波的波速为
故A正确;
删除B.此时介质中质点b向y轴负方向运动,根据波形平移法可知,该波沿x轴负方向传播,故B错误;
删除C.由于质点a和质点c之间的距离为半个波长,则质点a和质点c的振动完全相反,所以
删除D.

删除E.

故选ACD。
第二小题解析:如图,画出光路图
可知
设临界角为C,得
根据
解得
故可得
故可知
选考题:ⅣA族元素具有丰富的化学性质,其化合物有着广泛的应用。回答下列问题:
(1)该族元素基态原子核外未成对电子数为_____,在与其他元素形成化合物时,呈现的最高化合价为_____。
(2)
a.离子键 b.极性共价键 c.非极性共价键 d.配位键
(3)一种光刻胶薄膜成分为聚甲基硅烷
(4)早在青铜器时代,人类就认识了锡。锡的卤化物熔点数据如下表,结合变化规律说明原因:_____。
(5)结晶型



正确答案
(1) ①. 2 ②. +4
(2)bd (3) ①. C ②. 
(4)

(5) ①. 6
②.
解析
小问1:ⅣA族元素基态原子的价层电子排布为
小问2:



小问3:一种光刻胶薄膜成分为聚甲基硅烷


小问4:根据表中数据可知,





小问5:由









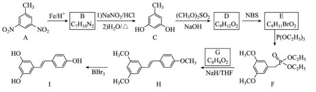
选考题:白藜芦醇(化合物I)具有抗肿瘤、抗氧化、消炎等功效。以下是某课题组合成化合物I的路线。
回答下列问题:
(1)A中的官能团名称为_____。
(2)B的结构简式为_____。
(3)由C生成D的反应类型为_____。
(4)由E生成F的化学方程式为_____。
(5)已知G可以发生银镜反应,G的化学名称为_____。
(6)选用一种鉴别H和I的试剂并描述实验现象_____。
(7)I的同分异构体中,同时满足下列条件的共有_____种(不考虑立体异构)。
①含有手性碳(连有4个不同的原子或基团的碳为手性碳);
②含有两个苯环;③含有两个酚羟基;④可发生银镜反应。
正确答案
(1)硝基 (2)
(3)取代反应
(4)
(5)4-甲氧基苯甲醛(或对甲氧基苯甲醛)
(6)鉴别试剂为:

(7)9
解析
根据流程,有机物A在

有机物B发生两个连续的反应后将结构中的氨基氧化为羟基,得到有机物C;有机物C发生取代反应得到有机物D,根据有机物D的分子式可以推出有机物D为

有机物D与NBS发生取代反应得到有机物E,根据有机物E的分子式可以推出有机物E为

有机物E与P(OC2H5)3发生反应得到有机物F,有机物F与有机物G发生反应得到有机物H,结合有机物H的结构、有机物G的分子式和小问5的已知条件可以得到有机物G的结构为
最后,有机物H与
小问1“根据有机物A的结构可知,A的官能团为硝基;
小问2:根据分析,有机物B的结构简式为:

小问3:根据分析,有机物C发生反应生成有机物D是将C中的羟基取代为甲氧基得到有机物删除D,故反应类型为取代反应;
小问4:根据分析,有机物E与
小问5:有机物G可以发生银镜反应说明有机物G中含有醛基,结合其分子式和有机物F和有机物H的结构可以得到有机物G的结构为
小问6:对比有机物H和有机物I的结构可以看出,有机物I中含有酚羟基,可以由此进行鉴别,鉴别试剂为

小问7:对于有机物I的同分异构体,可以发生银镜反应说明含有醛基;含有手性碳原子,说明有饱和碳原子,可以得到其主体结构为

选考题:某同学采用基因工程技术在大肠杆菌中表达蛋白E。回答下列问题。
(1)该同学利用PCR扩增目的基因。PCR的每次循环包括变性、复性、延伸3个阶段,其中删除DNA双链打开成为单链的阶段是________________,引物与模板DNA链碱基之间的化学键是________。
(2)质粒载体上有限制酶a、b、c的酶切位点,限制酶的切割位点如图所示。构建重组质粒时,与用酶a单酶切相比,用酶a和酶b双酶切的优点体现在________(答出两点即可);使用酶c单酶切构建重组质粒时宜选用的连接酶是________。
(3)将重组质粒转入大肠杆菌前,通常先将受体细胞处理成感受态,感受态细胞的特点是________;若要验证转化的大肠杆菌中含有重组质粒,简要的实验思路和预期结果是________________。
(4)蛋白E基因中的一段DNA编码序列(与模板链互补)是GGGCCCAAGCTGAGATGA,编码从GGG开始,部分密码子见表。若第一个核苷酸G缺失,则突变后相应肽链的序列是________________________。
正确答案
(1)①. 变性 ②. 氢键
(2)①. 避免目的基因和质粒的任意连接、防止目的基因和质粒的自身环化 ②. 
(3)①. 细胞处于一种能吸收周围环境中DNA分子的生理状态 ②. 利用DNA分子杂交技术,将大肠杆菌的基因组DNA提取出来,在含有目的基因的DNA片段上用放射性同位素等作标记,以此作为探针,使探针与基因组DNA杂交,如果显示出杂交带,表明大肠杆菌中含有重组质粒
(4)甘氨酸-脯氨酸-丝氨酸
解析
1、基因工程基本工具:限制性核酸内切酶(限制酶)、DNA连接酶、运载体。
删除2、基因工程的基本操作步骤主要包括四步:①目的基因的获取;②基因表达载体的构建;③将目的基因导入受体细胞;④目的基因的检测与鉴定。
小问1:PCR的每次循环包括变性、复性、延伸3个阶段,其中DNA双链打开成为单链的阶段是变性,引物与模板DNA链碱基之间的化学键是氢键。
小问2:构建重组质粒时,与单一酶酶切相比,采用的双酶切方法,可以形成不同的黏性末端,双酶切可以避免目的基因和质粒的反向连接、目的基因和质粒的自身环化。酶c单酶切后形成平末端,需用T4DNA连接酶连接。
小问3”大肠杆菌细胞最常用的转化方法是:首先用Ca2+处理细胞,使细胞处于一种能吸收周围环境中DNA分子的生理状态,这种细胞称为感受态细胞。若要验证转化的大肠杆菌中含有重组质粒,可利用DNA分子杂交技术,将大肠杆菌的基因组DNA提取出来,在含有目的基因的
删除DNA片段上用放射性同位素等作标记,以此作为探针,使探针与基因组DNA杂交,如果显示出杂交带,表明大肠杆菌中含有重组质粒
小问4:蛋白E基因中的一段











































































































































































































