- 真题试卷
- 模拟试卷
- 预测试卷
细胞是生物体结构和功能的基本单位。下列叙述正确的是()
正确答案
解析
本题考查生物细胞相关的知识点。
选项A.病毒不是细胞,它们没有细胞结构,通常由蛋白质外壳和核酸构成,所以A选项错误。
选项B.原核生物如蓝藻虽然没有线粒体,但是它们有与有氧呼吸有关的酶系统,可以进行有氧呼吸,所以B选项错误。
选项C.在哺乳动物的生殖细胞形成过程中,经过减数分裂,染色体数目会减半,所以同一个体中不同细胞的染色体数目有可能不同,C选项正确。
选项D.小麦根细胞吸收离子消耗的ATP主要由细胞呼吸产生,而不是叶绿体,因为叶绿体主要参与光合作用,所以D选项错误。
故选C。
ATP可为代谢提供能量,也参与RNA的合成,ATP结构如图所示,图中~表示高能磷酸键,下列叙述错误的是()
正确答案
解析
本题考查ATP转化代谢的知识点。
选项A、ATP转化为ADP时会释放能量,这个能量可以用于离子的主动运输,因此A选项是正确的。
选项B、如果用


选项C、ATP中的高能磷酸键可以在细胞核中断裂,为一些需要能量的过程提供能量,比如DNA复制和转录,所以C选项是错误的。
选项D、光合作用通过将光能转化为化学能,储存在ATP的高能磷酸键中,这个描述是正确的。通常,这个储存是在

故选C。
植物生长发育受植物激素的调控。下列叙述错误的是()
正确答案
解析
本题考查植物激素调控的知识点。
选项A、赤霉素可以诱导某些酶的合成,从而促进种子萌发,这是赤霉素的一种生理作用,所以A选项正确。
选项B、生长素的极性运输是一种主动运输过程,需要载体蛋白的参与,因此B选项错误。
选项C、植物激素可以与特异性受体结合,进而调节基因表达,影响植物生长发育,所以C选项正确。
选项D、一种激素可以通过诱导其他激素的合成来发挥作用,这是激素之间相互作用的一种表现,所以D选项正确。
故选B。
甲状腺激素在人体生命活动的调节中发挥重要作用。下列叙述错误的是()
正确答案
解析
本题考查甲状腺激素的知识点。
选项A.甲状腺激素可以作用于人体内几乎所有的细胞,因此其受体分布于人体内几乎所有细胞,A选项正确。
选项B.甲状腺激素可以促进新陈代谢和生长发育,提高神经系统的兴奋性,B选项正确。
选项C.甲状腺激素可以促进新陈代谢,因此甲状腺激素分泌增加可使细胞代谢速率加快,C选项正确。
选项D.甲状腺激素的分泌存在负反馈调节机制。当甲状腺激素分泌不足时,对下丘脑和垂体的抑制作用减弱,血液中促甲状腺激素释放激素(TRH)和促甲状腺激素(TSH)的含量会增加,从而促进甲状腺激素的分泌。因此,D选项错误。
某生态系统中捕食者与被捕食者种群数量变化的关系如图所示,图中→表示种群之间数量变化的关系,如甲数量增加导致乙数量增加。下列叙述正确的是()
正确答案
解析
本题考查种群数量自然调节的知识点。
选项A、甲最有可能是生态系统的生产者,它的数量变化通常会通过食物链对其他生物种群产生影响,包括丙。因此,A选项是错误的。
选项B、根据食物链为:甲→乙→丙,那么乙是捕食者(因为它捕食甲)和被捕食者(因为它被丙捕食)。所以B选项是正确的。
选项C、根据食物链为:甲→乙→丙,丙的数量变化取决于乙的数量变化,丙捕食乙,那么乙有可能时初级消费者,丙只能是次级消费者或更高级的消费者。所以C选项是错误的。
选项D、能量在生态系统中沿着食物链流动,通常是从生产者到消费者,再到更高级的消费者。因此,能量流动的方向不可能是丙→乙→甲,因为这会违反能量流动的逐级递减原则。所以D选项是错误的。
故选B。
果蝇翅型、体色和眼色性状各由1对独立遗传的等位基因控制,其中弯翅、黄体和紫眼均为隐性性状,控制灰体、黄体性状的基因位于X染色体上。某小组以纯合体雌蝇和常染色体基因纯合的雄蝇为亲本杂交得


正确答案
解析
本题考查基因与遗传的知识点。
需要明确每个性状的遗传方式。翅型、体色和眼色各由1对独立遗传的等位基因控制,这意味着它们遵循孟德尔的分离定律。弯翅、黄体和紫眼是隐性性状,而灰体、黄体性状的基因位于X染色体上,这意味着体色的遗传与性别相关联,遵循伴性遗传。
选项A、直翅黄体♀×弯翅灰体♂这个杂交中,直翅和弯翅的基因是独立的,体色基因位于X染色体上。因此,


选项B、直翅灰体♀×弯翅黄体♂这个杂交中,


选项C、弯翅红眼♀×直翅紫眼♂这个杂交中,眼色是由独立遗传的等位基因控制的。红眼是显性,紫眼是隐性。


选项D、灰体紫眼♀×黄体红眼♂这个杂交中,




故选A。
人类对能源的利用经历了柴薪、煤炭和石油时期,现正向新能源方向高质量发展。下列有关能源的叙述错误的是
正确答案
解析
本题考查化石能源、新能源的知识点。
选项A.木材与煤均含有碳元素。这是正确的,因为木材和煤都是有机物质,主要由碳元素组成。
选项B.石油裂化可生产汽油。这是正确的,石油裂化是一种化学过程,通过这个过程可以将较重的石油分子裂解成较轻的分子,其中包括汽油。
选项C.燃料电池将热能转化为电能。这是错误的,燃料电池实际上是将化学能转化为电能,而不是热能。
选项D.太阳能光解水可制氢。这是正确的,太阳能光解水是一种利用太阳能将水分解成氢气和氧气的过程,其中氢气可以作为新能源使用。
下列过程对应的离子方程式正确的是
正确答案
解析
本题考查离子方程式相关的知识点。
选项A.用氢氟酸刻蚀玻璃:氢氟酸与玻璃中的二氧化硅反应生成四氟化硅和水。正确的方程式应该是:

选项B.用三氯化铁溶液刻制覆铜电路板:三氯化铁与铜反应生成氯化亚铁和氯化铜。正确的离子方程式是:
选项C.用硫代硫酸钠溶液脱氯:硫代硫酸钠与氯气反应生成氯化钠和硫酸钠。正确的离子方程式应该是:
选项D.用碳酸钠溶液浸泡锅炉水垢中的硫酸钙:碳酸钠与硫酸钙反应生成碳酸钙和硫酸钠。正确的离子方程式应该是:
故答案选D。
我国化学工作者开发了一种回收利用聚乳酸(PLA)高分子材料的方法,其转化路线如下所示。
下列叙述错误的是
正确答案
解析
本题考查高分子材料合成的知识点。
选项A.PLA在碱性条件下可发生降解反应。这是正确的,因为聚乳酸是由乳酸单体通过缩聚反应形成的高分子聚合物,其在碱性条件下可以发生水解反应,降解成乳酸单体。
选项B.MP的化学名称是丙酸甲酯。根据图片,MP为丙酸与甲醇发生酯化反应得到的,故它的化学名称是“丙酸甲酯”。B正确。
选项C.MP的同分异构体中含羧基的有3种:MP含有羧基的同分异构体中含羧基的一共2种,分别是正丁酸和异丁酸,故C错误。
选项D.MMA可加聚生成高分子。这是正确的,MMA(甲基丙烯酸甲酯)是一种含有双键的化合物,可以通过加聚反应形成高分子聚合物聚甲基丙烯酸甲酯(PMMA)。
故答案选C。
四瓶无色溶液
正确答案
解析
本题考查无机物化学转化的知识点。
先分析图。物质a与b经加热生成e,b与c反应生成产物f;c与d经过某种反应生成产物f和g.那么可以得出a为
选项A.a为

选项B.
选项C.c为



选项D.b为


故选B。
W、X、Y、Z为原子序数依次增大


正确答案
解析
本题考查元素周期律的知识点。
根据题目信息,W、X、Y、Z为原子序数依次增大的短周期元素,且W和X原子序数之和等于



于18,矛盾;故W为Li,又W和X原子序数之和等于
选项A.X为氮元素,Z为磷元素。氮元素位于周期表的第五周期,属于第VA族,而磷元素位于周期表的第三周期,也属于第VA族。因此,X和Z属于同一主族,A选项是正确的。
选项B.非金属性的大小通常与元素在周期表中的位置有关,同一主族元素的非金属性随着原子序数的增加而减弱。在氮族元素中,氮(N)的非金属性最强,磷(P)的非金属性次之,氟(F)的非金属性最强。所以,非金属性Y(氟)>X(氮)>Z(磷),故B选项是错误的。
选项C.气态氢化物的稳定性与非金属性成正比,非金属性越强,气态氢化物越稳定。因此,氟(Y)的气态氢化物比磷(Z)的气态氢化物更稳定,所以C选项是错误的。
选项D.:原子半径的大小通常与元素在周期表中的位置有关,同一周期内,原子序数越大,原子半径越小。在锂(W)、氮(X)和氟(Y)这三个元素中,锂(W)的原子序数最小,原子半径最大;氮(X)的原子序数次之,原子半径次之;氟(Y)的原子序数最大,原子半径最小。所以,原子半径Y>X>W,D选项是错误的。
故选A。
科学家使用




正确答案
解析
本题考查化学电池的知识点
图


选项A.在电池充电过程中,阳极是负极,阴极是正极。因此Zn2+应该向阴极方向迁移,而不是向阳极方向。
所以A选项是错误的。
选项B.充电时,阴极反应为

选项C.因为放电时,



选项D.考虑放电时,正极反应为




于0.02mol,D错误。
综上所述,本题选C。
将








下列叙述正确的是
正确答案
解析
本题考查化学反应平衡的知识点。考虑化学平衡方程:
而对于




如下图:
选项A:读图,交点a处



选项B:利用平衡系数的定义有:
带入
故B不正确
选项C:读图,当
由于增加




选项D:读图,当
那么,当

则

氘核可通过一系列聚变反应释放能量,总的反应效果可用
正确答案
解析
本题考查核反应中质量守恒和电荷守恒的知识点。利用核反应中质量守恒和电荷守恒有:
解之得
如图,一轻绳跨过光滑定滑轮,绳的一端系物块P,P置于水平桌面上,与桌面间存在摩擦;绳的另一端悬挂一轻盘(质量可忽略),盘中放置砝码。改变盘中砝码总质量m,并测量P的加速度大小a,得到


正确答案
解析
本题考查牛顿第二定律和运动分析的知识点。
设物块P质量为M,对P与盘子、砝码的整体,由牛顿第二定律:
所以a与m不是线性关系,A、C错误。令
故D正确故选D
2024年5月,嫦娥六号探测器发射成功,开启了人类首次从月球背面采样返回之旅。将采得的样品带回地球,飞行器需经过月面起飞、环月飞行、月地转移等过程。月球表面自由落体加速度约为地球表面自由落体加速度的
正确答案
解析
本题考查万有引力定律、天体运动的知识点。
选项A:环月飞行时,样品所受合力提供向心力,必不为0,故A错误。
选项B:若将样品放置在月球正面,它对月球表面压力等于其受月球的重力,不为0,故B错误。
选项C:根据万有引力定律,样品在不同过程中受到的引力不同是因为其到月心距离不同导致,不是质量的原因,故C错误。
选项D:月球表面自由落体加速度约为地球表面自由落体加速度的
故选D
如图,一光滑大圆环固定在竖直平面内,质量为m的小环套在大圆环上,小环从静止开始由大圆环顶端经Q点自由下滑至其底部,Q为竖直线与大圆环的切点。则小环下滑过程中对大圆环的作用力大小( )
正确答案
解析
本题考查受力平衡分析的知识点。
如图所示,设大圆环半径为R,不妨设小圆环位置与竖直方向夹角为
又根据能量守恒,有:
联立以上两式解得:
再根据牛顿第三定律,小环下滑过程中对大圆环的作用力F即为大环下滑过程中对小圆环的作用力,所以此作用力在


至A点变为0;然后从A点至Q点,又慢慢增大,故先减小后增大,C对B错。到达最低点时,由能量守恒知速度最大,且相互作用力客服重力提供向心力,此时相互作用力也最大,故Q不是F最大的点,A错误。
故选C
在电荷量为Q的点电荷产生的电场中,将无限远处的电势规定为零时,距离该点电荷r处的电势为


正确答案
解析
本题考查库仑定律和点电荷的电势的知识点。
观察图,





如图,理想变压器的副线圈接入电路的匝数可通过滑动触头T调节,副线圈回路接有滑动变阻器R、定值电阻



正确答案
解析
本题考查变压器和电路分析的知识点。
选项A:保持T不动,则变压器输出电压不变,右侧是并联电路,滑动变阻器R的滑片向f端滑动,接入电阻减小,电流增大,故

选项B:将T向b端移动,有效匝数减小,变压器输出电压减小,滑动变阻器R的滑片位置不变则

选项C:将T向a端移动,有效匝数增加,变压器输出电压增大,同时滑动变阻器R的滑片向f端滑动,接入电阻减小,电流增大,故

选项D:将T向b端移动,有效匝数减小,变压器输出电压减小,滑动变阻器R的滑片向e端滑动,接入电阻增大,电流减小,故

故选AC
蹦床运动中,体重为


正确答案
解析
本题考查能量守恒和动量定理的知识点。
由运动对称性和牛顿第三定律,t=0.15S时蹦床对运动员作用力最大。此时运动员在最低点,重力势能最小,故A错误;观察图,t=0.3S时处于失重状态,运动员离开蹦床做竖直上抛,t=2.3S时落回蹦床,数值上抛持续2秒,由对称性,经过1秒上升到最高点,速度减为0,故离开蹦床初速度


故选BD
如图,一绝缘细绳跨过两个在同一竖直面(纸面)内的光滑定滑轮,绳的一端连接一矩形金属线框,另一端连接一物块。线框与左侧滑轮之间的虚线区域内有方向垂直纸面的匀强磁场,磁场上下边界水平,在
正确答案
解析
本题考查楞次定律和受力分析的知识点。
选项A:根据楞次定律,当线框以初速度向上进入磁场时,线框中会产生感应电流,从而受到安培力的作用。由于线框和物块的总质量相等,且安培力的方向总是阻碍线框的运动,因此线框将做减速运动。随着线框速度的减小,感应电流减弱,安培力减小,线框的加速度也随之减小。当线框下边缘即将离开磁场时,速度减至零,此时系统达到静止状态。因此,选项A正确。
选项B:对于选项B,由于安培力随速度减小而减小,导致合力不是恒力,加速度变化,因此线框的v-t图像不会是倾斜的直线。所以,选项B错误。
选项C:若线框的质量等于物块的质量,线框以一定初速度向上进入磁场时做减速运动,加速度减小,当线框全部进入磁场时,速度不为零,线框不产生感应电流,线框不受安培力,线框继续向上做匀速运动,线框向上离开磁场过程中,继续做减速运动,加速度减小,当线框全部离开磁场时,如果速度不为零,将继续向上做匀速运动,故C正确;
选项D:对比C项,如果物块的质量大于线框的质量,那么在磁场中,线框的速度会增加,因为重力对物块的作用会使得线框受到的拉力增大,从而加速运动。因此,不存在匀速运动阶段,选项D错误。
故选AC
学生小组为了探究超重和失重现象,将弹簧测力计挂在电梯内,测力计下端挂一物体。已知当地重力加速度大小为
(1)电梯静止时测力计示数如图所示,读数为_____N(结果保留1位小数);
(2)电梯上行时,一段时间内测力计的示数为

正确答案
(1)5.0(2)①.失重②.1.0
解析
(1)图中每个小刻度代表0.5N,指针在4N—6N之间,按要求读数为5.0N。
(2)静止时有:



联立解得

电阻型氧气传感器


(1)将图(a)中的实验器材间的连线补充完整_____,使其能对传感器定标;
(2)连接好实验器材,把氧气含量为1%的气瓶接到气体入口;
(3)把滑动变阻器的滑片滑到_____端(填“a”或“b”),闭合开关;
(4)缓慢调整滑动变阻器的滑片位置,使毫安表的示数为
(5)断开开关,更换气瓶,重复步骤(3)和(4);
(6)获得的氧气含量分别为


现测量一瓶待测氧气含量的气体,将气瓶接到气体入口,调整滑动变阻器滑片位置使毫安表的示数为

正确答案
(1)连线如图所示;(2)a(6)1.40(7)17
解析
(1)分压器输出部分接测量元件,连线如答图。
(2)因测量部分与分压器左边电阻并联,闭合开关时,电压从零调节,滑片应移到左边,即a端。
(3)电压表最小分度为0.1,读数为1.40V.
(7)按图中实验数据点及第(6)问测量数据连线如图,在此图线上,可找到电压表1.50V时对应的氧气含量为17%。
为抢救病人,一辆救护车紧急出发,鸣着笛沿水平直路从




(1)救护车匀速运动时的速度大小;
(2)在停止鸣笛时救护车距出发处的距离。
正确答案
(1)20m/s;(2)680m
解析
(1)从t=0到
后匀速运动,则速度为
(2) 设救护车从t=0开始经
对救护车有:
对最后的鸣笛声有:
联立以上两式解得:
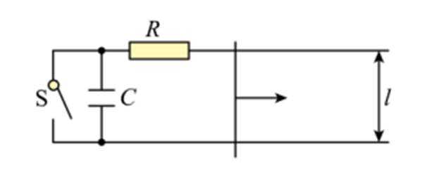
如图,金属导轨平行且水平放置,导轨间距为L,导轨光滑无摩擦。定值电阻大小为R,其余电阻忽略不计,电容大小为C。在运动过程中,金属棒始终与导轨保持垂直。整个装置处于竖直方向且磁感应强度为B的匀强磁场中。
(1)开关S闭合时,对金属棒施加以水平向右的恒力,金属棒能达到的最大速度为
(2)当金属棒速度为v时,断开开关S,改变水平外力并使金属棒匀速运动。当外力功率为定值电阻功率的两倍时,求电容器两端的电压以及从开关断开到此刻外力所做的功。
正确答案
(1)

解析
(1)开关S闭合,把电容短接,相当于没接电容,导体棒在外力作用下运动速度为v时有:
金属棒切割磁感线产生的感应电动势为
由闭合电路欧姆定律得棒中感应电流
金属棒所受安培力
以上三式求得安培力
当外力与安培力相等时,金属棒的速度最大,即
解得外力
在加速阶段,外力的功率为
定值电阻的功率为
解得此时金属棒速度大小
(2)断开开关S,电容器充电,则电容器与定值电阻串联,则有
金属棒以v匀速运动,电容器不断充电,电荷量q不断增大,电路中电流不断减小,
对金属棒受力分析得:
因匀速有
拉力的功率
电阻R的功率
当
结合电路规律
由以上两式可得此时电容器两端电压
将第(1)问
从开关断开到此刻外力所做的功为
其中
联立可得
钴在新能源、新材料领域具有重要用途。某炼锌废渣含有锌、铅、铜、铁、钴、锰的
注:加沉淀剂使一种金属离子浓度小于等于
已知:
②以氢氧化物形式沉淀时,

回答下列问题:
(1)“酸浸”前,需将废渣磨碎,其目的是_____。
(2)“酸浸”步骤中,
(3)假设“沉铜”后得到的滤液中








(4)“沉锰”步骤中,生成

(5)“沉淀”步骤中,用

(6)“沉钴”步骤中,控制溶液


(7)根据题中给出的信息,从“沉钴”后的滤液中回收氢氧化锌的方法是_____。
正确答案
(1)增大固体与酸反应的接触面积,提高钴元素的浸出效率
(2)
(3)①.
(4)
(5)
(6)
(7)向滤液中滴加
解析
本题考查了物质的制备,涉及对工艺流程的理解、氧化还原反应、对条件的控制选择与理解等,理解工艺流程原理是解题的关键,是对学生综合能力的考查,需要学生具备扎实的基础与灵活运用能力,题目难度中等。
锌、铅、铜、铁、钴、锰的+2价氧化物及锌和铜的单质与硫酸反应,其中


(1)“酸浸”前,需将废渣磨碎,其目的是为可增大接触面积,加快反应速率,
故答案为:增大接触面积,加快反应速率;
(2)“酸浸”步骤中,
故答案为
(3)向其中加入

不可实现

故答案为:
(4)“沉锰”步骤中发生的反应为,
由方程式可知生成


故答案为:
(5)“沉锰”步骤中,用

故答案为:
(6)“沉钴”步骤中,控制溶液


(7)根据

故答案为:调节

(一)过氧化脲的合成
烧杯中分别加入




(二)过氧化脲性质检测
I.过氧化脲溶液用稀

Ⅱ.过氧化脲溶液用稀

(三)产品纯度测定
溶液配制:称取一定量产品,用蒸馏水溶解后配制成
滴定分析:量取


回答下列问题:
(1)过滤中使用到的玻璃仪器有_____(写出两种即可)。
(2)过氧化脲的产率为_____。
(3)性质检测Ⅱ中的现象为_____。性质检则I和Ⅱ分别说明过氧化脲具有的性质是_____。
(4)下图为“溶液配制”的部分过程,操作a应重复3次,目的是_____,定容后还需要的操作为_____。
(5)“滴定分析”步骤中,下列操作错误的是_____(填标号)。
A.
B.用量筒量取

C.滴定近终点时,用洗瓶冲洗锥形瓶内壁
D.锥形瓶内溶液变色后,立即记录滴定管液面刻度
(6)以下操作导致氧化脲纯度测定结果偏低的是_____(填标号)。
A.容量瓶中液面超过刻度线
B.滴定管水洗后未用
C.摇动锥形瓶时
D.滴定前滴定管尖嘴处有气泡,滴定后气泡消失
正确答案
(1)烧杯、漏斗、玻璃棒,可任选两种作答
(2)50%(3)①.液体分层,上层为无色,下层为紫红色②.还原性、氧化性
(4)①.避免溶质损失②.盖好瓶塞,反复上下颠倒、摇匀(5)BD(6)A
解析
本题考查化学实验的基本操作,涉及到一定物质的量溶液的配制和滴定的相关操作,属于基础知识的考查,题目难度中等。
(1)过滤操作需要的玻璃仪器有烧杯、漏斗、玻璃棒,可任选两种作答。
(2)

可知过氧化氢过量,则有
故答案为:50%;
(3)过氧化脲溶液用稀
故答案为:溶液分层,上层溶液接近无色,下层溶液呈紫红色;氧化性和还原性;
(4)图为“溶液配制”的部分过程,操作a应重复3次,目的是为了使溶质全部进入烧瓶中,定容后还需要摇匀,故答案为:使溶质全部进入烧瓶中;摇匀;
(5)选项A.

选项B.量筒的精确度是0.1mL,故无法使用量筒量取25.00mL过氧化脲溶液,故B错误;
选项C.滴定近终点时,用洗瓶冲洗锥形瓶内壁使滴定液进入锥形瓶,故C正确;
选项D.锥形瓶内溶液变色后,还需观察半分钟,若半分钟之内没有变色,则达到滴定终点,故D错误;
故答案为:BD;
(6)选项A.容量瓶中液面超过刻度线,则配制的过氧化脲溶液浓度偏低,故导致氧化脲纯度测定结果偏低,故A正确;
选项B.滴定管水洗后未用

选项C.摇动锥形瓶时

选项D.滴定前滴定管尖嘴处有气泡,滴定后气泡消失,导致使用的
故答案为:A。
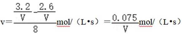
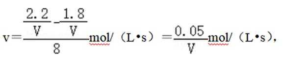
甲烷转化为多碳化合物具有重要意义。一种将甲烷溴化再偶联为丙烯(
(1)已知如下热化学方程式:
计算反应

(2)








(i)图中
(ii)


(iii)


(3)少量






(i)在




(ii)从图中找出

(ⅲ)研究表明,
①
②
③
④
⑤
⑥
根据上述机理,分析

正确答案
(1)-67(2)①.a②.80%③.7.8④.10.92
(3)①.







解析
本题主要考查盖斯定律的应用,转化率和平衡常数的计算,同时考查学生对反应机理的理解,属于基本知识的考查,难度较大。
(1)已知反应Ⅰ:


故答案为:﹣67;
(2)(ⅰ)根据题意可知,升高温度,反应Ⅰ逆向移动,导致


故答案为:a;
(ⅱ)由图可知,560℃时,反应达到平衡,







故答案为:80%;7.8mmol;
(ⅲ)平衡中:
故答案为:10.92;
(3)(ⅰ)由图可知,在11~19s之间,有



故答案为:
(ⅱ)由图可知,约5s后,有



故答案为:5s后,有


(ⅲ)根据







故答案为:



在自然条件下,某植物叶片光合速率和呼吸速率随温度变化的趋势如图所示。回答下列问题。
(1)该植物叶片在温度a和c时的光合速率相等,叶片有机物积累速率________(填“相等”或“不相等”),原因是________________________________。
(2)在温度d时,该植物体的干重会减少,原因是________________________________。
(3)温度超过b时,该植物由于暗反应速率降低导致光合速率降低。暗反应速率降低的原因可能是________________________________。(答出一点即可)
(4)通常情况下,为了最大程度地获得光合产物,农作物在温室栽培过程中,白天温室的温度应控制在________最大时的温度。
正确答案
(1)①.不相等②.光合速率由呼吸速率和叶片有机物积累速率组成,温度a和c时的呼吸速率不相等,则叶片有机物积累速率也不相等
(2)温度d时,叶片的光合速率与呼吸速率相等,但植物的根部等细胞不进行光合作用,仍呼吸消耗有机物,导致植物体的干重减少
(3)温度过高,导致部分气孔关闭
(4)光合速率和呼吸速率差值
解析
影响光合作用的因素有:光照强度、温度、
(1)(1)光合速率由呼吸速率和叶片有机物积累速率(净光合速率)组成,据图可知,温度a和c时光合速率相等,但是两点的呼吸速率不相等,则叶片有机物积累速率也不相等。
(2)据图可知,温度d时,叶片的光合速率与呼吸速率相等,但是植物体内存在一些不能进行光合作用的细胞,如根尖细胞,只能消耗有机物,故该植物体的干重会减少。
(3)温度超过b时,该植物由于暗反应速率降低导致光合速率降低。暗反应速率降低的原因可能是温度过高导致气孔大量关闭,也可能是温度过高影响暗反应酶的活性。
(4)通常情况下,为了最大程度地获得光合产物,农作物在温室栽培过程中,白天温室的温度应控制在有机物积累量(光合速率与呼吸速率差值最大)最大时的温度。
某种病原体的蛋白质A可被吞噬细胞摄入和处理,诱导特异性免疫。回答下列问题。
(1)病原体感染诱导产生浆细胞的特异性免疫方式属于________。
(2)溶酶体中的蛋白酶可将蛋白质A的一条肽链水解成多个片段,蛋白酶切断的化学键是________。
(3)不采用荧光素标记蛋白质A,设计实验验证蛋白质A的片段可出现在吞噬细胞的溶酶体中,简要写出实验思路和预期结果______。
正确答案
(1)体液免疫
(2)肽键(3)实验思路:使用含有
解析
本题考查:非特异性免疫何特异性免疫。
非特异性免疫(先天性免疫):第一道防线:皮肤、黏膜等;第二道防线:体液中的杀菌物质和吞噬细胞;特异性免疫(获得性免疫)第三道防线:由免疫器官和免疫细胞借助血液循环和淋巴循环组成。
(1)特异性免疫方式包括细胞免疫与体液免疫,病原体感染诱导产生浆细胞的特异性免疫方式属于体液免疫。
(2)氨基酸通过脱水缩合的方式形成蛋白质,连接两个氨基酸分子的化学键叫作肽键。蛋白酶切断的化学键是肽键。
(3)不采用荧光素标记蛋白质A,则可以采用放射性同位素标记法,由于蛋白质大多数含有S元素,故采用

鸟类B曾濒临灭绝。在某地发现7只野生鸟类B后,经保护其种群规模逐步扩大。回答下列问题。
(1)保护鸟类B采取“就地保护为主,易地保护为辅”模式。就地保护是________。
(2)鸟类B经人工繁育达到一定数量后可放飞野外。为保证鸟类B正常生存繁殖,放飞前需考虑的野外生物因素有________________。(答出两点即可)
(3)鸟类B的野生种群稳步增长。通常,种群呈“S”型增长的主要原因是________。
(4)保护鸟类B等濒危物种的意义是________________________。
正确答案
(1)在原地对被保护的生态系统或物种建立自然保护区以及国家公园等
(2)天敌、竞争者、食物等(3)存在环境阻力(4)增加生物多样性
解析
(1)保护鸟类B采取“就地保护为主,易地保护为辅”模式。就地保护是在原地对被保护的生态系统或物种建立自然保护区以及国家公园等,这是对生物多样性最有效的保护。
(2)鸟类B经人工繁育达到一定数量后可放飞野外,而天敌、食物来源等都是需考虑的野外生物因素,必须保证鸟类B在野外能正常生存繁殖才能放飞。
(3)鸟类B的野生种群通常呈“S”形增长,因为资源和空间总是有限的,随着种群数量的增多,它们对食物和空间的竞争也趋于激烈,导致出生率降低,死亡率升高。
(4)保护鸟类B等濒危物种可以增加生态系统的物种数量,保护生物多样性。
袁隆平研究杂交水稻,对粮食生产具有突出贡献。回答下列问题。
(1)用性状优良的水稻纯合体(甲)给某雄性不育水稻植株授粉,杂交子一代均表现雄性不育;杂交子一代与甲回交(回交是杂交后代与两个亲本之一再次交配),子代均表现雄性不育;连续回交获得性状优良的雄性不育品系(乙)。由此推测控制雄性不育的基因(A)位于________________(填“细胞质”或“细胞核”)。
(2)将另一性状优良的水稻纯合体(丙)与乙杂交,



(3)以丙为父本与甲杂交(正交)得




正确答案
(1)细胞质(2)①.核糖体②.3:1
(3)①.1②.3
解析
基因的自由组合定律的实质是位于非同源染色体上的非等位基因的分离或组合是互不干扰的;在减数分裂过程中,同源染色体上的等位基因彼此分离的同时,非同源染色体上的非等位基因自由组合。
(1)由于雄性不育株只能作母本,每一代的子代均表现为雄性不育,因此可推测子代的性状与亲代母本一致,由此推测控制雄性不育的基因(A)位于细胞质。
(2)翻译的场所是核糖体。性状优良的水稻纯合体(丙)与乙杂交,




(3)由于正反交结果不同,可推测丙的基因型为(A)RR,甲的基因型可写成(a)rr,与丙杂交,丙作父本,



选考题:
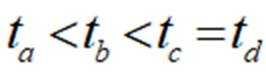
第一小题:如图,四个相同的绝热试管分别倒立在盛水的烧杯a、b、c、d中,平衡后烧杯a、b、c中的试管内外水面的高度差相同,烧杯d中试管内水面高于试管外水面。已知四个烧杯中水的温度分别为

A.a中水的饱和气压最小
B.a、b中水的饱和气压相等
C.c、d中水的饱和气压相等
D.a、b中试管内气体的压强相等
E.d中试管内气体的压强比c中的大
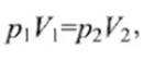
第二小题:如图,一竖直放置的汽缸内密封有一定量的气体,一不计厚度的轻质活塞可在汽缸内无摩擦滑动,移动范围被限制在卡销a、b之间,b与汽缸底部的距离




(1)求外力增加到

(2)再将汽缸内气体加热使气体温度缓慢升高,求当活塞刚好能离开卡销b时气体的温度。
正确答案
第一小题正确答案
ACD
第二小题正确答案
(1)100N;(2)327K
解析
第一小题解析同一物质的饱和气压只与温度有关,温度越大,饱和气压越大,因







第二小题解析(1)活塞从位置a到b过程中,气体做等温变化,初态
根据玻意耳定律有
此时对活塞根据平衡条件
将
所以当外力增加到
(2)将汽缸内气体加热使气体温度缓慢升高,直到活塞刚好能离开卡销b时,此过程气体做等容变化,
初态
末态,对活塞根据平衡条件
设此时温度为


选考题:
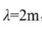
第一小题:一列简谐横波沿x轴传播,周期为

A.该波的波速为
B.该波沿x轴正方向传播
C.

D.
E.
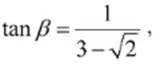
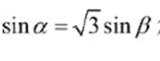
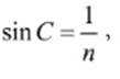
第二小题:一玻璃柱的折射率
正确答案
第一小题正确答案
ACD
第二小题正确答案
解析
由题知








故选ACD.
(2) 如图,画出光路图
光线进入玻璃,由折射定律可知
光线射到BC边恰好发生全反射,得
由图可看出
将
解得
由图可得

选考题:ⅣA族元素具有丰富的化学性质,其化合物有着广泛的应用。回答下列问题:
(1)该族元素基态原子核外未成对电子数为_____,在与其他元素形成化合物时,呈现的最高化合价为_____。
(2)
a.离子键b.极性共价键c.非极性共价键d.配位键
(3)一种光刻胶薄膜成分为聚甲基硅烷
(4)早在青铜器时代,人类就认识了锡。锡的卤化物熔点数据如下表,结合变化规律说明原因:_____。
(5)结晶型



正确答案
(1)①.2②.+4
(2)bd(3)①.C②.
(4)

(5)①.6
②.
解析
本题主要考查物质结构的相关知识,具体涉及化学键类型、中心原子杂化类型、电负性大小的判断等,同时考查晶胞密度的计算等,属于基本知识的考查,难度中等。
(1)ⅣA族元素基态原子的价电子排布为
故答案为:2;+4;
(2)

故答案为:bd;
(3)根据聚甲基硅烷的结构可知,聚甲基硅烷含有C、H、Si三种元素,其中电负性最大的元素是C元素,硅原子含有的

故答案为:C;
(4)根据表格数据可知,



故答案为:

(5)以体心黑球为例,与其距离最近且相等的白球分别位于正方体六个面的面心,Pb的配位数为6,根据均摊法计算可知,黑球(Pb)的个数为

故答案为:6;
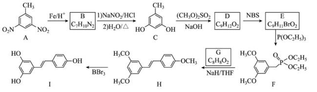
选考题:白藜芦醇(化合物I)具有抗肿瘤、抗氧化、消炎等功效。以下是某课题组合成化合物I的路线。
回答下列问题:
(1)A中的官能团名称为_____。
(2)B的结构简式为_____。
(3)由C生成D的反应类型为_____。
(4)由E生成F的化学方程式为_____。
(5)已知G可以发生银镜反应,G的化学名称为_____。
(6)选用一种鉴别H和I的试剂并描述实验现象_____。
(7)I的同分异构体中,同时满足下列条件的共有_____种(不考虑立体异构)。
①含有手性碳(连有4个不同的原子或基团的碳为手性碳);
②含有两个苯环;③含有两个酚羟基;④可发生银镜反应。
正确答案
(1)硝基(2)
(3)取代反应
(4)
(5)4-甲氧基苯甲醛(或对甲氧基苯甲醛)
(6)鉴别试剂为:

(7)9
解析
本题主要考查学生对有机化学反应及其合成路线的理解,包括官能团识别、化学反应类型、化学方程式书写和异构体分析。
(1)官能团名称
名称:硝基。
考查意图:检测学生对有机化合物官能团的识别能力。
(2)结构简式
结构简式:
考查意图:测试学生对有机化合物结构的理解和表达能力。
(3)反应类型
反应类型:取代反应。
考查意图:了解学生对有机反应类型的识别和分类。
(4)化学方程式
方程式:
考查意图:检测学生对有机合成反应的理解和方程式书写能力。
(5)化学名称
名称:4-甲氧基苯甲醛(或对甲氧基苯甲醛)。
考查意图:测试学生对有机化合物命名的掌握。
(6)鉴别试剂和实验现象
试剂:
现象:溶液呈紫色的即为有机物I。
考查意图:了解学生对有机化合物鉴别方法的掌握。
(7)同分异构体数量
数量:9种。
考查意图:检测学生对有机化合物同分异构体的分析和推导能力。
选考题:合理使用消毒液有助于减少传染病的传播。某同学比较了3款消毒液A、B、C杀灭细菌的效果,结果如图所示。回答下列问题。
(1)该同学采用显微镜直接计数法和菌落计数法分别测定同一样品的细菌数量,发现测得的细菌数量前者大于后者,其原因是________________________。
(2)该同学从100mL细菌原液中取1mL加入无菌水中得到10mL稀释菌液,再从稀释菌液中取
(3)菌落计数过程中,涂布器应先在酒精灯上灼烧,冷却后再涂布。灼烧的目的是________,冷却的目的是________________________。
(4)据图可知杀菌效果最好的消毒液是________,判断依据是________________。(答出两点即可)
(5)鉴别培养基可用于反映消毒液杀灭大肠杆菌
正确答案
(1)显微镜直接计数法将死菌和活菌一起计数(2)5000
(3)①.杀死杂菌②.防止温度过高杀死菌种
(4)①.A②.A消毒液活菌数减少量最多,且杀菌时间较短,效率最高
(5)黑
解析
解:(1)显微镜直接计数法将死菌和活菌一起计数,而菌落计数法只能计数活菌,故测得的细菌数量前者大于后者。
(2)该同学从100mL细菌原液中取1mL加入无菌水中得到10mL稀释菌液,该过程稀释了10倍,再从稀释菌液中取

(3)菌落计数过程中,涂布器应先在酒精灯上灼烧,冷却后再涂布。灼烧的目的是进行灭菌,杀死涂布器上的杂菌,冷却后再涂布是因为避免温度太高烫死菌种。
(4)据图可知,杀菌效果最好的消毒液是A液,A消毒液活细菌减少量最大且杀灭杂菌的时间较短,效率高速度快。
(5)大肠杆菌在伊红美蓝培养基上生长的菌落呈黑色。
选考题:某同学采用基因工程技术在大肠杆菌中表达蛋白E。回答下列问题。
(1)该同学利用PCR扩增目的基因。PCR的每次循环包括变性、复性、延伸3个阶段,其中删除DNA双链打开成为单链的阶段是________________,引物与模板DNA链碱基之间的化学键是________。
(2)质粒载体上有限制酶a、b、c的酶切位点,限制酶的切割位点如图所示。构建重组质粒时,与用酶a单酶切相比,用酶a和酶b双酶切的优点体现在________(答出两点即可);使用酶c单酶切构建重组质粒时宜选用的连接酶是________。
(3)将重组质粒转入大肠杆菌前,通常先将受体细胞处理成感受态,感受态细胞的特点是________;若要验证转化的大肠杆菌中含有重组质粒,简要的实验思路和预期结果是________________。
(4)蛋白E基因中的一段DNA编码序列(与模板链互补)是GGGCCCAAGCTGAGATGA,编码从GGG开始,部分密码子见表。若第一个核苷酸G缺失,则突变后相应肽链的序列是________________________。
正确答案
(1)①.变性②.氢键
(2)①.形成不同的黏性末端,避免目的基因和质粒自身环化;避免目的基因和质粒反向连接②.
(3)①.能吸收周围环境中的DNA分子②.实验思路:采用PCR技术扩增目的基因,然后进行琼脂糖凝胶电泳,观察是否含有相关的条带。预期结果:能扩增出目的基因条带,说明大肠杆菌中含有重组质粒。
(4)甘氨酸-脯氨酸-丝氨酸
解析
(1)变性的目的是使DNA解聚为单链,故DNA双链打开成为单链的阶段是变性,引物与模板DNA链碱基通过碱基互补配对相结合,之间的化学键是氢键。
(2)构建重组质粒时,与用酶a单酶切相比,用酶a和酶b双酶切后,可以形成不同的黏性末端,避免目的基因和质粒自身环化;使得目的基因和质粒正向连接,避免目的基因和质粒反向连接。使用酶c单酶切产生的平末端,故构建重组质粒时宜选用T4DNA连接酶。
(3)感受态细胞能吸收周围环境中的DNA分子;若要验证转化的大肠杆菌中含有重组质粒,则实验思路:采用PCR技术扩增目的基因,然后进行琼脂糖凝胶电泳,观察是否含有相关的条带。预期结果:能扩增出目的基因条带,说明大肠杆菌中含有重组质粒。
(4)DNA编码序列与模板链互补,模板链与mRNA互补,由题意可知,正常蛋白E基因转录形成的mRNA上的碱基序列为:GGGCCCAAGCUGAGAUGA,若DNA编码序列的第一个核苷酸G缺失,则突变后mRNA上的碱基序列为:GGCCCAAGCUGAGAUGA,对应密码子表可知,突变后相应肽链的序列是甘氨酸、脯氨酸、丝氨酸。





























































































































































































