- 真题试卷
- 模拟试卷
- 预测试卷
大豆是我国重要的粮食作物。下列叙述错误的是( )
正确答案
解析
这道题主要考查了生物化学中关于大豆的成分及其性质和在人体内的代谢等知识点。
A、大豆油为植物油含有不饱和脂肪酸,熔点较低,室温时呈液态,A正确。B、大豆中的蛋白质、脂肪和淀粉均可在人体内分解并产生能量,B正确。C、大豆中的蛋白质含有8种人体细胞不能合成的必需氨基酸,C正确。D、脂肪只含有碳、氢、氧3种元素,没有磷元素,D错误。
干旱缺水条件下,植物可通过减小气孔开度减少水分散失。下列叙述错误的是( )
正确答案
解析
这道题主要考查了植物的水分代谢和植物激素调节相关的知识点。
删除A、脱落酸促进叶片萎蔫脱落,在叶片萎蔫的时候脱落酸含量较高,A错误。B、缺水时候,为了防止蒸腾过强散失水分,保卫细胞会萎缩,气孔关闭,
删除C、植物细胞失水主要是失去自由水,所以结合水和自由水的比值会增大,C正确。植物对营养物质的吸收和运输要借助蒸腾作用,干旱缺水时,蒸腾减弱,不利植物对营养物质的吸收和运输。D正确。
人体消化道内食物的消化和吸收过程受神经和体液调节。下列叙述错误的是( )
正确答案
解析
这道题主要考查了人体的神经调节、反射、消化液的作用以及物质吸收的相关知识点。
删除A、副交感神经系统属于植物性神经,其作用有三个方面:增进胃肠的活动,消化腺的分泌,促进大小便的排出;瞳孔缩小以减少刺激,促进肝糖原的生成,以储蓄能源;心跳减慢,血压降低,支气管缩小,以节省不必要的消耗,A错误。B、条件反射是以非条件反射为基础,B正确。C、胃蛋白酶需要酸性条件,故盐酸能为其提供合适的pH值, C正确。D、小肠上皮细胞是主动转运吸收氨基酸的,需要转运蛋白作为载体和能量,D正确。
采用稻田养蟹的生态农业模式既可提高水稻产量又可收获螃蟹。下列叙述错误的是( )
正确答案
解析
这道题主要考查了生态系统的相关知识点,包括营养级、生态位、碳循环等。
删除A、水稻是该生态系统中的生产者,属于第一营养级,A正确。B、生态位是指一个物种在群落中的地位和作用,包括所处的空间位置,占用资源的情况,以及与其他物种的关系等,称为这个物种的生态位。水稻属于生产者,螃蟹属于消费者,地位和作用不相同, B错误。C、该生态农业模式中,稻田蟹通过细胞呼吸可产生二氧化碳可被水稻利用,提高水稻产量,C正确。D、该模式中,碳在无机环境中以二氧化碳、碳酸盐的形式存在,借助光合作用、水稻吸收利用,进入生物群落,再通过消费者的呼吸作用消耗及分解者的分解作用,以二氧化碳的形式再次进入无机环境中,说明碳循环在无机环境和生物间进行, D正确。
某种二倍体植物的




正确答案
解析
这道题主要考查了遗传规律中的基因分离定律和基因自由组合定律,以及 PCR 技术在基因检测中的应用。
删除A、①基因型为AaBB, ②基因型为Aabb, 均为杂合子; 

用一定量的液体培养基培养某种细菌,活细菌数随时间的变化趋势如图所示,其中Ⅰ~Ⅳ表示细菌种群增长的4个时期。下列叙述错误的是( )
正确答案
解析
这道题主要考查了微生物的种群增长相关的知识点。
删除A、有丝分裂是真核生物特有的细胞分裂方式,所以细菌属于通过二分裂进行增殖,A正确。B、 Ⅱ期数量变化呈现指数型增长,符合J形增长特征, B正确。C、IIII期种群数量保持稳定,此时细菌的增殖和死亡数量保持稳定,而不是没有增殖和死亡,C错误。D、Ⅳ期种群数量下降,因为是在一定的液体培养基中进行培养,没有其他外部因素的干扰,因此,此时数量下降的主要原因有营养物质匮乏、代谢废物积累等,D正确。
文房四宝是中华传统文化的瑰宝。下列有关叙述错误的是
正确答案
解析
这道题主要考查了常见物质的成分及应用,涉及蛋白质、碳单质、纤维素以及硅酸盐等知识点。
羊毛(即动物的毛发)的主要成分为蛋白质,A 正确;松木燃烧产生的烟灰可制松烟墨,墨的主要成分为碳单质,碳在常温下性质稳定,用墨书写的字画可长期保存,B正确;竹子是造纸的重要原料,其主要成分为纤维素,则纸的主要成分也是纤维素,C 正确;大理石的主要成分是
一种点击化学方法合成聚硫酸酯(W)的路线如下所示:
下列说法正确的是
正确答案
解析
这道题主要考查了有机化学中的同系物、反应类型、官能团等知识点
同系物、缩聚反应、高分子的合成与降解等
双酚A含有2个酚羟基,与苯酚的宫能团个数不同
二者不互为同系物,双酚A可与甲醛发生
缩聚反应, A错误; 根据题图中反应③可知


根据W的端基可知,反应③在生成W的同时生成的小分子为
实验室中利用下图装置验证铁与水蒸气反应。下列说法错误的是
正确答案
解析
Fe与水蒸气在高温条件下反应生成四氧化三铁和氢气,A 正确;该反应是在高温条件下进行,所以铁粉与水蒸气反应需要的温度比湿棉花处产生水蒸气需要的温度更高,则酒精灯应在铁粉处加热,利用余热使湿棉花处的水汽化,若将酒精灯移至湿棉花下,会导致水蒸气生成速率过快,未反应就逸出,利用率降低,B 错误;采用肥皂泡收集氢气,再点燃肥皂泡检验氢气的方法相对比较安全,C 正确;该反应所需温度较高,需要用硬质玻璃试管,D正确。
对于下列过程中发生的化学反应,相应离子方程式正确的是
正确答案
解析
这道题主要考查了铁与水蒸气反应的实验原理、实验操作以及相关的化学方程式等知识点
稀硝酸与Ag反应的还原产物为NO,A 错误;FeS不溶于水,离子方程式中不能拆,删除B错误;溴水(具有氧化性)与

我国科学家最近研究的一种无机盐
正确答案
解析
这道题主要考查了元素周期表、原子结构、元素性质、化学键以及物质的物理性质和化学性质等知识点
Mg、Fe 为金属晶体,熔点较高, 










一种可植入体内的微型电池工作原理如图所示,通过CuO催化消耗血糖发电,从而控制血糖浓度。当传感器检测到血糖浓度高于标准,电池启动。血糖浓度下降至标准,电池停止工作。(血糖浓度以葡萄糖浓度计)
电池工作时,下列叙述错误的是
正确答案
解析
这道题主要考查了原电池的工作原理、电极反应、电子转移以及离子迁移等知识点。由题图知,O 










常温下



下列叙述正确的是
正确答案
解析
这道题主要考查了弱电解质的电离平衡、分布系数的理解、电离常数的计算以及对图象的分析等知识点。
随着pH的增大,( 














电离度




一质点做直线运动,下列描述其位移x或速度v随时间t变化的图像中,可能正确的是( )
正确答案
解析
这道题主要考查了匀变速直线运动的规律以及位移-时间图像和速度-时间图像的特点。
AB.物体做直线运动,位移与时间成函数关系,AB选项中一个时间对应2个以上的位移,故不可能,故 AB 错误;CD.同理D选项中一个时间对应2个速度,只有C 选项速度与时间是成函数关系,故 C 正确, D 错误.
故选C.
福建舰是我国自主设计建造的首艘弹射型航空母舰。借助配重小车可以进行弹射测试,测试时配重小车被弹射器从甲板上水平弹出后,落到海面上。调整弹射装置,使小车水平离开甲板时的动能变为调整前的4倍。忽略空气阻力,则小车在海面上的落点与其离开甲板处的水平距离为调整前的( )
正确答案
解析
这道题主要考查了平抛运动和动能的知识点。
动能表达式为

故选C.
天文学家发现,在太阳系外的一颗红矮星有两颗行星绕其运行,其中行星GJ1002c的轨道近似为圆,轨道半径约为日地距离的0.07倍,周期约为0.06年,则这颗红矮星的质量约为太阳质量的( )
正确答案
解析
这道题主要考查了万有引力定律以及天体运动中相关量的计算。
设红矮星质量为 M,行星质量为ml,半径为







故选 B.
三位科学家由于在发现和合成量子点方面的突出贡献,荣获了2023年诺贝尔化学奖。不同尺寸的量子点会发出不同颜色的光。现有两种量子点分别发出蓝光和红光,下列说法正确的是( )
正确答案
解析
这道题主要考查了光的量子理论、光子的能量和动量、光在不同介质中的传播速度以及光的频率变化等知识点。
AB.由于红光的频率小于蓝光的频率,则红光的波长大于蓝光的波长,根据


故选 A.
如图,两根不可伸长的等长绝缘细绳的上端均系在天花板的O点上,下端分别系有均带正电荷的小球P、Q;小球处在某一方向水平向右的匀强电场中,平衡时两细绳与竖直方向的夹角大小相等。则( )
正确答案
解析
这道题主要考查了共点力平衡、库仑定律以及电场力的相关知识点
由题意可知设Q和P两球之间的库仑力为F,绳子的拉力分别为
质量分别为
对于小球P有
联立有
又因为

故选 B.
位于坐标原点O的波源在

正确答案
解析
这道题主要考查了机械波的形成与传播、波的周期和振幅、波速的计算以及质点的振动与波的传播关系等知识点。
AB.波的周期和振幅与波源相同,故可知波的周期为T=0.2s,振幅为A=0.2m故 A 错误,B 正确 C.P开始振动时,波源第2次到达波谷,故可知此时经过的时间为

故选 BC.
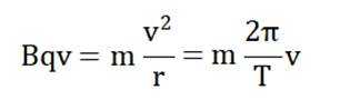
电动汽车制动时可利用车轮转动将其动能转换成电能储存起来。车轮转动时带动磁极绕固定的线圈旋转,在线圈中产生电流。磁极匀速转动的某瞬间,磁场方向恰与线圈平面垂直,如图所示。将两磁极间的磁场视为匀强磁场,则磁极再转过
正确答案
解析
这道题主要考查了电磁感应以及交变电流的相关知识点。
如图开始线圈处于中性面位置,当磁极再转过
故选BD
如图,一定量理想气体
正确答案
解析
这道题主要考查了热力学第一定律以及理想气体状态方程在热力学过程中的应用。
A.1→2为绝热过程,根据热力学第一定律



故选 AD.
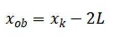
某同学用如图所示的装置验证动量守恒定律。将斜槽轨道固定在水平桌面上,轨道末段水平,右侧端点在水平木板上的垂直投影为O,木板上叠放着白纸和复写纸。实验时先将小球a从斜槽轨道上Q处由静止释放,a从轨道右端水平飞出后落在木板上;重复多次,测出落点的平均位置P与O点的距离x,将与a半径相等的小球b置于轨道右侧端点,再将小球a从Q处由静止释放,两球碰撞后均落在木板上;重复多次,分别测出a、b两球落点的平均位置M、N与O点的距离
完成下列填空:
(1)记a、b两球的质量分别为

(2)如果测得的
正确答案
(1) >
(2)
解析
这道题主要考查了动量守恒定律的实验验证以及平抛运动的相关知识点。
(1)为了保证小球碰撞为对心正碰,且碰后不反弹,要求
(2)两球离开斜槽后做平抛运动,由于抛出点的高度相等,它们做平抛运动的时间t相等,碰撞前a球的速度大小
碰撞后 a的速度大小
碰撞后b球的速度大小
如果碰撞过程系统动量守恒,则碰撞前后系统动量相等,则
整理得
学生实验小组要测量量程为3V的电压表V的内阻








完成下列填空:
(1)利用多用电表粗测待测电压表的内阻。首先应______(把下列实验步骤前的字母按正确操作顺序排列);
删除A.将红、黑表笔短接
删除B.调节欧姆调零旋钮,使指针指向零欧姆
删除C.将多用电表选择开关置于欧姆挡“×10”位置
再将多用电表的红、黑表笔分别与待测电压表的______填“正极、负极”或“负极、正极”)相连,欧姆表的指针位置如图(a)中虚线Ⅰ所示。为了减少测量误差,应将选择开关旋转到欧姆挡______(填“×1”“×100”或“

(2)为了提高测量精度,他们设计了如图(b)所示


(3)闭合开关S,滑动变阻器滑片滑到某一位置时,电压表






(4)测量得到

正确答案
(1)CAB 负极、正极 ×100 1.6
(2)
(3)
(4)1.57
解析
这道题主要考查了多用电表的使用、伏安法测电阻、电路分析以及电阻的计算等知识点。
(1)[1]利用多用电表粗测待测电压表的内阻.首先应选择欧姆档即C 选项:将多用电表选择开关置于欧姆挡“×10”位置;接着将红、黑表笔短接即A选项;进行欧姆调零即B 选项:调节欧姆调零旋钮,使指针指向零欧姆.故首先操作顺序为 CAB.
[2]多用电表使用时电流“红进黑出”的规则可知:测量电阻时电源在多用电表表内,故将多用电表的红、黑表笔分别与待测电压表的“负极、正极”相连.
[3]读数时欧姆表的指针位置如图 (a)中虚线Ⅰ所示,偏转角度较小即倍率选择过小,为了减少测量误差,应将选择开关旋转到欧姆挡倍率较大处,而根据表中数据可知选择“x1k”倍率又过大,故应选择欧姆挡“×100”的位置;
[4]测量得到指针位置如图 (a)中实线Ⅱ所示,则组测得到的该电压表内阻为
(2)[1]图 (b)所示的电路,滑动变阻器采用的是分压式连接,为了方便调节,应选最大阻值较小的滑动变阻器即
[2]为保护电路,且测量电路部分电压从零开始条件,闭合开关S前,滑动变阻器的滑片应置于 a 端.
(3)通过待测电压表的电流大小与定值电阻电流相同为
根据欧姆定律得待测电压表的阻值为
(4)测量得到

将重物从高层楼房的窗外运到地面时,为安全起见,要求下降过程中重物与楼墙保持一定的距离。如图,一种简单的操作方法是一人在高处控制一端系在重物上的绳子P,另一人在地面控制另一根一端系在重物上的绳子Q,二人配合可使重物缓慢竖直下降。若重物的质量


(1)求此时P、Q绳中拉力的大小;
(2)若开始竖直下降时重物距地面的高度
正确答案
(1)
解析
这道题主要考查了力的合成与分解、共点力平衡以及功的计算等知识点
(1)重物下降的过程中受力平衡,设此时P、Q绳中拉力的大小分别为

水平方向
联立代入数值得
(2)整个过程根据动能定理得
解得两根绳子拉力对重物做的总功为
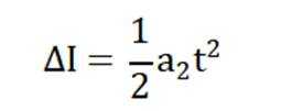
如图,一长度



(1)物块初速度大小及其在薄板上运动的时间;
(2)平台距地面的高度。
正确答案
(1)

解析
这道题主要考查了牛顿运动定律、匀变速直线运动规律、平抛运动以及动量守恒定律等知识点。
(1)物块在薄板上做匀减速运动的加速度大小为
薄板做加速运动的加速度
对物块
对薄板
解得:
(2)物块飞离薄板后薄板得速度
物块飞离薄板后薄板做匀速运动,物块做平抛运动,则当物块落到地面时运动的时间为
则平台距地面的高度
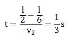
一质量为m、电荷量为





(1)粒子在磁场中做圆周运动
(2)电场强度的大小;
(3)P点沿图中闭合曲线移动1周回到a点时,粒子位移的大小。
正确答案
(1) 

解析
这道题主要考查了带电粒子在电场中的匀变速直线运动、在磁场中的匀速圆周运动,以及位移、速度、加速度、周期等相关的知识点。
(1)粒子在磁场中做圆周运动时的速度为
解得做圆周运动的半径为
周期为
(2)根据题意,已知任何相等的时间内P点沿图中闭合曲线通过的曲线长度都相等,山于曲线表示的为速度相应的曲线,根据
解得
(3)根据题意分析可知从b点到c点粒子在磁场中转过的角度为
故可得该段时间内沿y方向位移为
根据几何知识可得
由粒子在两次电场中运动的对称性可知移动一周时粒子位移的大小为
联立解得
钴及其化合物在制造合金、磁性材料、催化剂及陶瓷釉等方面有着广泛应用。一种从湿法炼锌产生
已知溶液中相关离子开始沉淀和沉淀完全(
回答下列问题:
(1)“酸浸”前废渣需粉碎处理,目的是_______;“滤渣1”中金属元素主要为_______。
(2)“过滤1”后的溶液中加入

(3)“氧化沉钴”中氧化还原反应的离子方程式为_______、_______。
(4)“除钴液”中主要的盐有_______(写化学式),残留的

正确答案
(1)增大固液接触面积,加快酸浸速率,提高浸取效率 Pb
(2)将溶液中的 

解析
这道题主要考查了化学工艺流程中的物质制备和分离提纯相关的知识点。
(1)在原料预处理过程中,粉碎固体原料能增大固体与液体的接触面积,从而加快酸浸的反应速率,提高浸取效率。
(2)由题表中数据可知,当















(3)由流程分析可知,该过程发生两个氧化还原反应,根据流程分析中两个反应的反应物、产物与反应环境(pH=5 ), 结合得失电子守恒、 电荷守恒和原子守恒可写出两个离子 方程式:

(4)由 流程 分 析 可 知 ,“除钴 液”中 含 有 的 金属 阳 离 子 主 要 是 













吡咯类化合物在导电聚合物、化学传感器及药物制剂上有着广泛应用。一种合成1-(4-甲氧基苯基)-2,5-二甲基吡咯(用吡咯X表示)
实验装置如图所示,将100 mmol己-2,5-二酮(熔点:

待反应完成后,加入50%的乙醇溶液,析出浅棕色固体。加热至
回答下列问题:
(1)量取己-2,5-二酮应使用的仪器为_______(填名称)。
(2)仪器①用铁夹固定在③上,③的名称是_______;仪器②的名称是_______。
(3)“搅拌”的作用是_______。
(4)“加热”方式为_______。
(5)使用的“脱色剂”是_______。
(6)“趁热过滤”的目的是_______;用_______洗涤白色固体。
(7)若需进一步提纯产品,可采用的方法是_______。
正确答案
(1)酸式滴定管
(2)铁架台 球形冷凝管
(3)使固液充分接触,加快反应速率
(4)水浴加热
(5)活性炭
(6)防止产品结晶损失,提高产率 50%的乙醇溶液
(7)重结晶
解析
这道题主要考查了有机合成实验中的仪器使用、实验操作、反应条件控制以及物质的分离提纯等知识点。
(1)己-2, 5-二酮的摩尔质量为

(2)③为铁架台;仪器②用于冷凝回流,为球形冷凝管。
(3)己-2, 5-二酮的熔点为 

(4)由题给信息“加热至
(5)“脱色剂”的作用是吸附反应过程中产生的有色物质,结合题中信息,加入脱色剂后回流,趁热过滤,保留滤液,即脱色剂为不溶于水和乙醇等溶剂的固体,所以可以选用活性炭作脱色剂。
(6)由题给信息可知产品吡咯X为白色固体,加热至( 
(7)由产品的分离提纯过程可知,若需进一步提纯,可采用的方法为重结晶。


(1)Ni基态原子价电子的轨道表示式为_______。镍的晶胞结构类型与铜的相同,晶胞体积为
(2)


(3)在总压分别为0.10、0.50、1.0、2.0MPa下,Ni(s)和CO(g)反应达平衡时,







(4)对于同位素交换反应





正确答案
(2)8 分子晶体
(3)小于 降低温度、增大压强 97.3% 9000
解析
这道题主要考查了以下知识点:1.原子结构与核外电子排布,包括基态原子价电子的轨道表示式以及原子半径的计算。2.化学键的类型和数目,晶体类型的判断。3.化学平衡,如判断反应的焓变正负,分析有利于反应进行的条件,计算平衡转化率和平衡常数。4.化学反应速率,通过给定的浓度随时间变化的关系式计算反应时间。
(1)Ni为28号元素,其基态原子的核外电子排布式为| 则




(2)由 





(3)随着温度升高,平衡时 








根据阿伏加德罗定律,其他条件相同时,气体的体积分数即为其物质的量分数,因此有 



(4)由题给关系式可得 




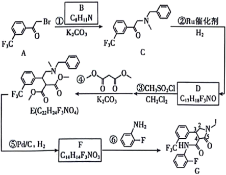
四氟咯草胺(化合物G)是一种新型除草剂,可有效控制稻田杂草。G的一条合成路线如下(略去部分试剂和条件,忽略立体化学)。
已知反应Ⅰ:
已知反应Ⅱ:


回答下列问题:
(1)反应①的反应类型为_______;加入
(2)D分子中采用
(3)对照已知反应Ⅰ,反应③不使用
(4)E中含氧官能团名称是_______。
(5)F

(6)G中手性碳原子是_______(写出序号)。
(7)化合物H是B的同分异构体,具有苯环结构,核磁共振氢谱中显示为四组峰,且可以发生已知反应Ⅱ.则H的可能结构是_______。
正确答案
(1)取代反应 与生成的HBr反应,促进反应正向进行
(2)5
(3)D 分子中同时存在
(4)酯基
(5)
(6)3和4
(7)
解析
这道题主要考查了有机化学中的以下知识点:1.有机反应类型的判断,如反应①的反应类型。2.原子的杂化方式判断,通过分析分子结构确定采用特定杂化的碳原子数。3.官能团的性质及反应条件的影响,比如反应③不使用特定试剂也能进行的原因。4.官能团的识别,确定化合物中含氧官能团的名称。5.有机物结构简式的推断,包括中间产物和最终产物。
(3)已知反应Ⅰ为——OH与( 


(4)由E的结构简式可知,E 中含氧官能团的名称为酯基。
(5)已知反应⑤分两步进行,结合 F的结构简式知,E→F 过程中,第二步为第一步产物发生已知反应Ⅱ,结合第一步产物的分子式及已知反应Ⅱ的机理知,第一步产物的结构简式为
(6)手性碳原子指连有四个不同的原子或原子团的饱和碳原子,由G的结构简式知,其中手性碳原子为3 和4号碳原子。
(7)由思路分析可知,B的结构简式为
体H能发生已知反应Ⅱ,说明其具有

某同学将一种高等植物幼苗分为4组(a、b、c、d),分别置于密闭装置中照光培养,a、b、c、d组的光照强度依次增大,实验过程中温度保持恒定。一段时间(t)后测定装置内

(1)太阳光中的可见光由不同颜色的光组成,其中高等植物光合作用利用的光主要是________,原因是________。
(2)光照t时间时,a组
(3)若延长光照时间c、d组
(4)光照t时间后,将d组密闭装置打开,并以c组光照强度继续照光,其幼苗光合速率会________(填“升高”“降低”或“不变”)。
正确答案
(1)①.红光和蓝紫光 ②.光合色素可分为叶绿素和类胡萝卜素,叶绿素主要吸收红光和蓝紫光,类胡萝卜素主要吸收蓝紫光
(2)大于(3)①.c ②.延长光照时间c、d组
(4)升高
解析
这道题主要考查了光合作用的相关知识点。
删除1、光合作用的过程:
(1)光反应阶段:①场所:类囊体薄膜;②物质变化:水的光解、ATP的合成;③能量变化:光能→ATP、NADPH中的化学能。
(1)暗反应阶段:①场所:叶绿体基质;②物质变化:



小问1详解:光合色素可分叶绿素和类胡萝卜两大类,叶绿素主要吸收红光和蓝紫光,类胡萝卜素主要吸收蓝紫光,属于可见光。
小问2详解:植物会进行光合作用和呼吸作用,光合作用消耗







小问3详解:若延长光照时间c、d组O2浓度不再增加,说明c组的光照强度已达到了光饱和点,光合速率最大,即在光照t时间时a、b、c中光合速率最大的是c组。
小问4详解:光照t时间后,c、d组

机体感染人类免疫缺陷病毒(HIV)可导致艾滋病。回答下列问题。
(1)感染病毒的细胞可发生细胞凋亡。细胞凋亡被认为是一种程序性死亡的理由是________。
(2)HIV会感染辅助性T细胞导致细胞凋亡,使机体抵抗病原体、肿瘤
(3)设计实验验证某血液样品中有HIV,简要写出实验思路和预期结果。
(4)接种疫苗是预防传染病的一种有效措施。接种疫苗在免疫应答方面的优点是________(答出2点即可)。
正确答案
(1)由基因控制的细胞自动结束生命的过程
(2)辅助性T细胞参与淋巴细胞的活化,分泌的淋巴因子可促进淋巴细胞增殖分化,辅助性T细胞凋亡会影响淋巴细胞的活化与增殖
(3)实验思路一:利用抗HIV抗体,与血液样品进行抗原抗体杂交实验;预期结果:若出现杂交带,则证明血液样品中含有HIV;
实验思路二:使用PCR(聚合酶链反应)技术检测样品中HIV核酸,产物经电泳与标准删除DNA进行比对;预期结果:PCR产物经电泳后出现特定条带,则证明血液样品中含有HIV
(4)在不使机体患病的条件下使机体产生免疫力;产生的免疫力针对特定病原体;产生的免疫力可保持一定时间
解析
这道题主要考查了细胞凋亡、免疫调节以及病毒感染相关的知识点。
人类免疫缺陷病毒(HIV)属于病毒,遗传物质为RNA。
小问1详解:细胞凋亡被认为是一种程序性死亡的理由是因为它是一种由基因控制的细胞自动结束生命的过程。这种过程对于生物体的发育和正常生理功能的维持是必需的。
小问2详解:辅助性T细胞参与淋巴细胞的活化,分泌的淋巴因子可促进淋巴细胞增殖分化,辅助性T细胞凋亡会影响淋巴细胞的活化与增殖,机体的特异性免疫力就会下降,导致对各种病原体的抵抗力减弱。
小问3详解:验证某血液样品中是否存在HIV,可考虑抗原检测和核酸检测两条途径。实验思路一:利用抗HIV抗体,与血液样品进行抗原抗体杂交实验;预期结果:若出现杂交带,则证明血液样品中含有HIV;
实验思路二:使用PCR(聚合酶链反应)技术检测样品中的HIV核酸,产物经电泳与标准DNA进行比对;预期结果:PCR产物经电泳后出现特定条带,则证明血液样品中含有HIV。
小问4详解:疫苗作为抗原,在免疫应答方面,可以在不使机体患病的条件下使机体产生免疫力;产生的免疫力针对特定病原体;疫苗作用下可刺激机体产生抗体和记忆细胞,抗体和记忆细胞可在一定时间内留存,保持对病原体的免疫力。
厦门筼筜湖经生态治理后环境宜人,成为城市会客厅,是我国生态修复的典型案例。回答下列问题。
(1)湖泊水体的氮浓度是评价水质的指标之一,原因是______。
(2)湖区的红树林可提高固碳效率、净化水体。在湖区生态系统中,红树植物参与碳循环的主要途径有光合作用、呼吸作用,还有_______(答出2点即可)。
(3)湖区水质改善后鸟类的种类和数目增加。鸟类属于消费者,消费者在生态系统中的作用是_______(答出2点即可)。
(4)生态修复后湖区生态系统的生物多样性增加,保护生物多样性的意义是______。
正确答案
(1)N元素是植物生长的必须元素,含量过多会使藻类等水生生物的生长过快,导致水体富营养化,从而引发水华等环境问题
(2)通过根系吸收土壤中碳酸盐,在体内转变成有机碳;通过食物链和食物网的形式, 将制造的有机碳传入其他生物
(3)加快生态系统中的能量流动和物质循环;帮助植物传粉和传播种子
(4)生物多样性具有直接价值、间接价值和潜在价值。①直接价值是指对人类有食用、药用和工业原料等实用意义的,以及旅游观赏、科学研究和文艺价值;②间接价值是调节生态系统的功能,增加生态系统的稳定性等;③潜在价值,现在未被利用的一些生物,在将来可能会有一些未知的价值。
解析
这道题主要考查了生态系统的相关知识点。
删除1、生物多样性是人类社会赖以生存和发展的基础。我们的衣、食、住、行及物质文化生活的许多方面都与生物多样性的维持密切相关。(1)生物多样性为我们提供了食物、纤维、木材、药材和多种工业原料;(2)生物多样性还在保持土壤肥力、保证水质以及调节气候等方面发挥了重要作用;(3)生物多样性在大气层成分、地球表面温度、地表沉积层氧化还原电位以及pH值等方面的调控方面发挥着重要作用;(4)生物多样性的维持,将有益于一些珍稀濒危物种的保存;
删除2、生态系统是指在一定地域内生物与环境形成的统一的整体,生态系统的组成包括非生物部分和生物部分。非生物部分有阳光、空气、水、温度、土壤(泥沙)等;生物部分包括生产者(绿色植物)、消费者(动物)、分解者(细菌和真菌)。细菌和真菌会分解动植物遗体或动物的排泄物中取得有机物来生成无机物,供给植物进行光合作用.进入生态循环,真菌和细菌是在生态系统中扮演分解者。
小问1详解:氮元素是植物生长的必须元素,湖泊水体中含有超标的氮类物质时,会使藻类等水生生物的生长过快,导致水体富营养化,从而引发水华等环境问题,因此湖泊水体的氮浓度是评价水质的重要指标之一;
小问2详解:在湖区生态系统中,红树植物参与碳循环的主要途径有光合作用、呼吸作用,还有通过根系吸收土壤中的碳酸盐,在体内转变成有机碳;通过食物链和食物网的形式, 将制造的有机碳传入其他生物等;
小问3详解:鸟类属于消费者,消费者通过自身的新陈代谢,能将有机物转化为无机物(
小问4详解:生物多样性具有直接价值、间接价值和潜在价值。①直接价值是指对人类有食用、药用和工业原料等实用意义的,以及旅游观赏、科学研究和文艺价值;②间接价值是调节生态系统的功能,增加生态系统的稳定性等;③潜在价值,现在未被利用的一些生物,在将来可能会有一些未知的价值。
某种瓜的性型(雌性株/普通株)和瓜刺(黑刺/白刺)各由1对等位基因控制。雌性株开雌花,经人工诱雄处理可开雄花,能自交;普通株既开雌花又开雄花。回答下列问题。
(1)黑刺普通株和白刺雌性株杂交得



(2)王同学将黑刺雌性株和白刺普通株杂交,


(3)白刺瓜受消费者青睐,雌性株的产量高。在王同学实验所得杂交子代中,筛选出白刺雌性株纯合体的杂交实验思路是________。
正确答案
(1)①.黑刺:白刺=1:1 ②.从亲本或
(2)
(3)选择
解析
这道题主要考查了遗传规律中的基因分离定律和基因自由组合定律。
基因分离定律和自由组合定律的实质;进行有性生殖的生物在进行减数分裂产生配子的过程中,位于同源染色体上的等位基因随同源染色体分离而分离,分别进入不同的配子中,随配子独立遗传给后代,同时位于非同源染色体上的非等位基因进行自由组合。
小问1详解:黑刺普通株和白刺雌性株杂交得



若要判断瓜刺的显隐性,从亲本或

小问2详解:黑刺雌性株和白刺普通株杂交,




小问3详解:在王同学实验所得杂交子代中,

某研究小组将纤维素酶基因(N)插入某种细菌(





(1)限制酶切割的化学键是________。为保证N基因能在菌株B2中表达,在构建片段甲时,应将M1与M2片段分别插入质粒的Ⅰ和Ⅱ、Ⅲ和Ⅳ酶切位点之间,原因是________。
(2)CRISPR/Cas9技术可以切割细菌B1基因组中与向导RNA结合的DNA。向导RNA与B1基因组DNA互补配对可以形成的碱基对有G-C和________。
(3)用引物P1和P2进行PCR可验证片段甲插入了细菌B1基因组,所用的模板是________;若用该模板与引物P3和P4进行PCR,实验结果是________。
(4)与秸秆焚烧相比,利用高效降解纤维素的细菌处理秸秆的优点是________(答出2点即可)。
正确答案
(1) ①.磷酸二酯键 ②.不破坏标记基因,且能保证N基因正常表达
(2)C-G、A-T、U-A
(3)①.N基因的两条链 ②.不能扩增出目的基因
(4)不污染环境、增加土壤养分
解析
这道题主要考查了基因工程、PCR 技术、限制酶的作用、碱基互补配对以及环境保护等知识点。
PCR原理:在解旋酶作用下,打开DNA双链,每条DNA单链作为母链,以4种游离脱氧核苷酸为原料,合成子链,在引物作用下,DNA聚合酶从引物



PCR反应过程是:变性→复性→延伸。
小问1详解:限制酶切割的化学键为磷酸二酯键。在构建片段甲时,应将M1与M2片段分别插入质粒的Ⅰ和Ⅱ、Ⅲ和Ⅳ酶切位点之间,不破坏标记基因,且能保证N基因正常发表达。
小问2详解:RNA的碱基组成有A、U、G、C,DNA的碱基组成为A、T、G、C,向导RNA与B1基因组DNA互补配对可以形成的碱基对有G-C和C-G、A-T、U-A。
小问3详解:用引物P1和P2进行PCR可扩增N基因,验证片段甲插入了细菌B1基因组,所用的模板是N基因的两条链;用该模板与引物P3和P4进行PCR,因为P3不能与N基因模板链结合,实验结果是不能扩增出DNA片段。
小问4详解:与秸秆焚烧相比,利用高效降解纤维素的细菌处理秸秆的优点是不污染环境、增加土壤养分。









































































































































