- 真题试卷
- 模拟试卷
- 预测试卷
钙在骨骼生长和肌肉收缩等过程中发挥重要作用。晒太阳有助于青少年骨骼生长,预防老年人骨质疏松。下列叙述错误的是( )
正确答案
植物成熟叶肉细胞的细胞液浓度可以不同。现将a、b、c三种细胞液浓度不同的某种植物成熟叶肉细胞,分别放入三个装有相同浓度蔗糖溶液的试管中,当水分交换达到平衡时观察到:①细胞a未发生变化;②细胞b体积增大;③细胞c发生了质壁分离。若在水分交换期间细胞与蔗糖溶液没有溶质的交换,下列关于这一实验的叙述,不合理的是( )
正确答案
植物激素通常与其受体结合才能发挥生理作用。喷施某种植物激素,能使某种作物的矮生突变体长高。关于该矮生突变体矮生的原因,下列推测合理的是( )
正确答案
线粒体是细胞进行有氧呼吸的主要场所。研究发现,经常运动的人肌细胞中线粒体数量通常比缺乏锻炼的人多。下列与线粒体有关的叙述,错误的是( )
正确答案
在鱼池中投放了一批某种鱼苗,一段时间内该鱼的种群数量、个体重量和种群总重量随时间的变化趋势如图所示。若在此期间鱼没有进行繁殖,则图中表示种群数量、个体重量、种群总重量的曲线分别是( )
正确答案
某种自花传粉植物的等位基因A/a和B/b位于非同源染色体上。A/a控制花粉育性,含A的花粉可育;含a的花粉50%可育、50%不育。B/b控制花色,红花对白花为显性。若基因型为AaBb的亲本进行自交,则下列叙述错误的是( )
正确答案
化学与生活密切相关。下列叙述正确的是( )
正确答案
辅酶

正确答案
能正确表示下列反应的离子方程式为( )
正确答案
一种水性电解液



正确答案

正确答案
Q、X、Y、Z是原子序数依次增大的短周期主族元素,其最外层电子数之和为19。Q与X、Y、Z位于不同周期,X、Y相邻,Y原子最外层电子数是Q原子内层电子数的2倍。下列说法正确的是( )
正确答案
根据实验目的,下列实验及现象、结论都正确的是( )
正确答案
北京2022年冬奥会首钢滑雪大跳台局部示意图如图所示。运动员从a处由静止自由滑下,到b处起跳,c点为a、b之间的最低点,a、c两处的高度差为h。要求运动员过c点时对滑雪板的压力不大于自身所受重力的k倍,运动过程中将运动员视为质点并忽略所有阻力,则c点处这一段圆弧雪道的半径不应小于( )
正确答案
长为l的高速列车在平直轨道上正常行驶,速率为



正确答案
三个用同样的细导线做成的刚性闭合线框,正方形线框的边长与圆线框的直径相等,圆线框的半径与正六边形线框的边长相等,如图所示。把它们放入磁感应强度随时间线性变化的同一匀强磁场中,线框所在平面均与磁场方向垂直,正方形、圆形和正六边形线框中感应电流的大小分别为

正确答案
两种放射性元素的半衰期分别为




正确答案
空间存在着匀强磁场和匀强电场,磁场的方向垂直于纸面(
正确答案
如图,质量相等的两滑块P、Q置于水平桌面上,二者用一轻弹簧水平连接,两滑块与桌面间的动摩擦因数均为
正确答案
如图,两根相互平行的光滑长直金属导轨固定在水平绝缘桌面上,在导轨的左端接入电容为C的电容器和阻值为R的电阻。质量为m、阻值也为R的导体棒MN静止于导轨上,与导轨垂直,且接触良好,导轨电阻忽略不计,整个系统处于方向竖直向下的匀强磁场中。开始时,电容器所带的电荷量为Q,合上开关S后,( )
正确答案
地面上方某区域存在方向水平向右的匀强电场,将一带正电荷的小球自电场中Р点水平向左射出。小球所受的重力和电场力的大小相等,重力势能和电势能的零点均取在Р点。则射出后,( )
正确答案
某同学要测量微安表内阻,可利用的实验器材有:电源E(电动势










(1)在答题卡上将图中所示的器材符号连线,画出实验电路原理图;
(2)某次测量中,微安表的示数为



正确答案
①见解析 ②990Ω
解析
(1)[1]为了准确测出微安表两端的电压,可以让微安表与定值电阻R0并联,再与电流表串联,通过电流表的电流与微安表的电流之差,可求出流过定值电阻R0的电流,从而求出微安表两端的电压,进而求出微安表的内电阻,由于电源电压过大,并且为了测量多组数据,滑动电阻器采用分压式解法,实验电路原理图如图所示
(2)[2]流过定值电阻R0的电流
加在微安表两端的电压
微安表的内电阻
利用图示的实验装置对碰撞过程进行研究。让质量为



(1)调节导轨水平
(2)测得两滑块的质量分别为0.510kg和0.304kg。要使碰撞后两滑块运动方向相反,应选取质量为_________kg的滑块作为A。
(3)调节B的位置,使得A与B接触时,A的左端到左边挡板的距离

(4)使A以一定的初速度沿气垫导轨运动,并与B碰撞,分别用传感器记录A和B从碰撞时刻开始到各自撞到挡板所用的时间

(5)将B放回到碰撞前的位置,改变A的初速度大小,重复步骤(4)。多次测量的结果如下表所示。
(6)表中的
(7)
(8)理论研究表明,对本实验的碰撞过程,是否为弹性碰撞可由



正确答案
①0.304 ② 0.31 ③0.32 ④ 
将一小球水平抛出,使用频闪仪和照相机对运动的小球进行拍摄,频闪仪每隔0.05g发出一次闪光。某次拍摄时,小球在抛出瞬间频闪仪恰好闪光,拍摄的照片编辑后如图所示。图中的第一个小球为抛出瞬间的影像,每相邻两个球之间被删去了3个影像,所标出的两个线段的长度


正确答案
光点式检流计是一种可以测量微小电流的仪器,其简化的工作原理示意图如图所示。图中A为轻质绝缘弹簧,C为位于纸面上的线圈,虚线框内有与纸面垂直的匀强磁场;M为置于平台上的轻质小平面反射镜,轻质刚性细杆D的一端与M固连且与镜面垂直、另一端与弹簧下端相连,






(1)若在线圈中通入的微小电流为I,求平衡后弹簧长度改变量的绝对值

(2)某同学用此装置测一微小电流,测量前未调零,将电流通入线圈后,


正确答案
(1)
(2)
硫酸锌(



本题中所涉及离子的氢氧化物溶度积常数如下表:
回答下列问题:
(1)菱锌矿焙烧生成氧化锌的化学方程式为____________。
(2)为了提高锌的浸取效果,可采取的措施有____________、____________。
(3)加入物质X调溶液


滤渣①的主要成分是____________、____________、____________。
(4)向


(5)滤液②中加入锌粉的目的是____________。
(6)滤渣④与浓
正确答案
(1)
(2)①增大压强 ②将焙烧后的产物碾碎,增大接触面积、增大硫酸的浓度等
(3)①B ②Fe(OH)3 ③CaSO4 ④SiO2
(4)3Fe2++
(5)置换Cu2+为Cu从而除去
(6) ①CaSO4 ②MgSO4
硫化钠可广泛用于染料、医药行业。工业生产的硫化钠粗品中常含有一定量的煤灰及重金属硫化物等杂质。硫化钠易溶于热乙醇,重金属硫化物难溶于乙醇。实验室中常用95%乙醇重结晶纯化硫化钠粗品。回答下列问题:
(1)工业上常用芒硝(

(2)溶解回流装置如图所示,回流前无需加入沸石,其原因是____________。回流时,烧瓶内气雾上升高度不宜超过冷凝管高度的1/3。若气雾上升过高,可采取的措施是____________。
(3)回流时间不宜过长,原因是_____________。回流结束后,需进行的操作有 ①停止加热 ②关闭冷凝水 ③移去水浴,正确的顺序为____________(填标号)。A①②③ B③①② C②①③ D①③②
(4)该实验热过滤操作时,用锥形瓶而不能用烧杯接收滤液,其原因是____________。热过滤除去的杂质为____________。若滤纸上析出大量晶体,则可能的原因是____________。
(5)滤液冷却、结晶、过滤,晶体用少量____________洗涤,干燥,得到Na2S·xH2O。
正确答案
(1)
(2)①硫化钠粗品中常含有一定量的煤灰及重金属硫化物等杂质,这些杂质可以直接作沸石 ②降低温度
(3)①硫化钠易溶于热乙醇,若回流时间过长,Na2S会直接析出在冷凝管上,使提纯率较低,同时易造成冷凝管下端堵塞,圆底烧瓶内气压过大,发生爆炸 ②D
(4)①
(5)冷水
金属钛(


(1)


(ⅰ)直接氯化:
(ⅱ)碳氯化:
①反应


②碳氯化的反应趋势远大于直接氯化,其原因是____________。
③对于碳氯化反应:增大压强,平衡____________移动(填“向左”“向右”或“不”);温度升高,平衡转化率____________(填“变大”“变小”或“不变”)。
(2)在


①反应

②图中显示,在


(3)

正确答案
(1)①-223 ②1.2×1014 ③碳氯化反应气体分子数增加,∆H小于0,是熵增、放热过程,熵判据与焓判据均是自发过程,而直接氯化的体系气体分子数不变、且是吸热过程 ④向左 ⑤变小
(2)①7.2×105 ②为了提高反应速率,在相同时间内得到更多的TiCl4产品,提高效益
(3)将两固体粉碎后混合,同时鼓入Cl2,使固体粉末“沸腾”
根据光合作用中CO2的固定方式不同,可将植物分为C3植物和C4植物等类型。C4植物的CO2补偿点比C3植物的低。CO2补偿点通常是指环境CO2浓度降低导致光合速率与呼吸速率相等时的环境CO2浓度。回答下列问题。
(1)不同植物(如C3植物和C4植物)光合作用光反应阶段的产物是相同的,光反应阶段的产物是____________(答出3点即可)。
(2)正常条件下,植物叶片的光合产物不会全部运输到其他部位,原因是____________(答出1点即可)。
(3)干旱会导致气孔开度减小,研究发现在同等程度干旱条件下,C4植物比C3植物生长得好。从两种植物CO2补偿点的角度分析,可能的原因是______________。
正确答案
(1)O2、[H]和ATP
(2)自身呼吸消耗或建造植物体结构
(3)C4植物的CO2补偿点低于C3植物,C4植物能够利用较低浓度的CO2
人体免疫系统对维持机体健康具有重要作用。机体初次和再次感染同一种病毒后,体内特异性抗体浓度变化如图所示。回答下列问题。
(1)免疫细胞是免疫系统的重要组成成分,人体T细胞成熟的场所是_____________;体液免疫过程中,能产生大量特异性抗体的细胞是_____________。
(2)体液免疫过程中,抗体和病毒结合后病毒最终被清除的方式是_____________。
(3)病毒再次感染使机体内抗体浓度激增且保持较长时间(如图所示),此时抗体浓度激增的原因是_____________。
(4)依据图中所示的抗体浓度变化规律,为了获得更好的免疫效果,宜采取的疫苗接种措施是_____________。
正确答案
(1)①胸腺 ②浆细胞
(2)抗体与病毒特异性结合形成沉淀,被吞噬细胞吞噬消化
(3)病毒再次感染时,机体内相应的记忆细胞迅速增殖分化,快速产生大量抗体 (4)多次接种
为保护和合理利用自然资源,某研究小组对某林地的动植物资源进行了调查。回答下列问题。
(1)调查发现,某种哺乳动物种群的年龄结构属于增长型,得出这一结论的主要依据是发现该种群中_____________。
(2)若要调查林地中某种双子叶植物的种群密度,可以采用的方法是_____________;若要调查某种鸟的种群密度,可以采用的方法是_____________。
(3)调查发现该林地的物种数目很多。一个群落中物种数目的多少称为_____________。
(4)该林地中,植物对动物的作用有_____________(答出2点即可);动物对植物的作用有_____________(答出2点即可)。
正确答案
(1)幼年个体数较多、中年个体数适中、老年个体数较少
(2)① 样方法 ② 标志重捕法
(3)物种丰富度
(4)① 为动物提供食物和栖息空间 ② 对植物的传粉和种子传播具有重要作用
玉米是我国重要的粮食作物。玉米通常是雌雄同株异花植物(顶端长雄花序,叶腋长雌花序),但也有的是雌雄异株植物。玉米的性别受两对独立遗传的等位基因控制,雌花花序由显性基因B控制,雄花花序由显性基因T控制,基因型bbtt个体为雌株。现有甲(雌雄同株)、乙(雌株)、丙(雌株)、丁(雄株)4种纯合体玉米植株。回答下列问题。
(1)若以甲为母本、丁为父本进行杂交育种,需进行人工传粉,具体做法是_____________。
(2)乙和丁杂交,F1全部表现为雌雄同株;F1自交,F2中雌株所占比例为_____________,F2中雄株的基因型是_____________;在F2的雌株中,与丙基因型相同的植株所占比例是_____________。
(3)已知玉米籽粒的糯和非糯是由1对等位基因控制的相对性状。为了确定这对相对性状的显隐性,某研究人员将糯玉米纯合体与非糯玉米纯合体(两种玉米均为雌雄同株)间行种植进行实验,果穗成熟后依据果穗上籽粒的性状,可判断糯与非糯的显隐性。若糯是显性,则实验结果是_____________;若非糯是显性,则实验结果是_____________。
正确答案
(1)对母本甲的雌花花序进行套袋,待雌蕊成熟时,采集丁的成熟花粉,撒在甲的雌蕊柱头上,再套上纸袋。
(2) ① 1/4 ② bbTT、bbTt ③ 1/4
(3) ① 糯性植株上全为糯性籽粒,非糯植株上既有糯性籽粒又有非糯籽粒 ② 非糯性植株上只有非糯籽粒,糯性植株上既有糯性籽粒又有非糯籽粒
选做题
[物理——选修3-4]
(1)一平面简谐横波以速度





(2)如图,边长为a的正方形ABCD为一棱镜的横截面,M为AB边的中点。在截面所在平面内,一光线自M点射入棱镜,入射角为60°,经折射后在BC边的N点恰好发生全反射,反射光线从CD边的P点射出棱镜。求棱镜的折射率以及P、C两点之间的距离。
[化学—选修3:物质结构与性质]
2008年北京奥运会的“水立方”,在2022年冬奥会上华丽转身为“冰立方”,实现了奥运场馆的再利用,其美丽的透光气囊材料由乙烯(CH2=CH2)与四氟乙烯(

(1)基态F原子的价电子排布图(轨道表示式)为____________。
(2)图a、b、c分别表示C、N、O和F的逐级电离能I变化趋势(纵坐标的标度不同)。第一电离能的变化图是____________(填标号),判断的根据是____________;第三电离能的变化图是____________(填标号)。
(3)固态氟化氢中存在(HF)n形式,画出(HF)3的链状结构____________。
(4)

(5)萤石(


[化学—选修5,有机化学基础]
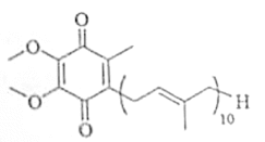
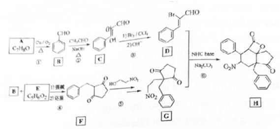
用
回答下列问题:
(1)A的化学名称为____________。
(2)反应②涉及两步反应,已知第一步反应类型为加成反应,第二步的反应类型为___________。
(3)写出C与
(4)E的结构简式为___________。
(5)H中含氧官能团的名称是____________。
(6)化合物X是C的同分异构体,可发生银镜反应,与酸性高锰酸钾反应后可以得到对苯二甲酸,写出X的结构简式____________。
(7)如果要合成H的类似物




[生物——选修1:生物技术实践]
某同学从被石油污染的土壤中分离得到A和B两株可以降解石油的细菌,在此基础上采用平板培养法比较二者降解石油的能力,并分析两个菌株的其他生理功能。
实验所用的培养基成分如下。
培养基Ⅰ:K2HPO4,MgSO4,NH4NO3,石油。
培养基Ⅱ:K2HPO4,MgSO4,石油。
操作步骤:
①将A、B菌株分别接种在两瓶液体培养基Ⅰ中培养,得到A、B菌液;
②液体培养基Ⅰ、Ⅱ口中添加琼脂,分别制成平板Ⅰ、Ⅱ,并按图中所示在平板上打甲、乙两孔。
回答下列问题。
(1)实验所用培养基中作为碳源的成分是____________。培养基中NH4NO3的作用是为菌株的生长提供氮源,氮源在菌体内可以参与合成____________(答出2种即可)等生物大分子。
(2)步骤①中,在资源和空间不受限制的阶段,若最初接种N0个A细菌,繁殖n代后细菌的数量是____________。
(3)为了比较A、B降解石油的能力,某同学利用步骤②所得到的平板Ⅰ、Ⅱ进行实验,结果如表所示(“+”表示有透明圈,“+”越多表示透明圈越大,“-”表示无透明圈),推测该同学的实验思路是__________。
现有一贫氮且被石油污染的土壤,根据上表所示实验结果,治理石油污染应选用的菌株是____________,理由是___________。
[生物 选修3:现代生物科技专题]
某牧场引进一只产肉性能优异的良种公羊,为了在短时间内获得具有该公羊优良性状的大量后代,该牧场利用胚胎工程技术进行了相关操作。回答下列问题。
(1)为了实现体外受精需要采集良种公羊的精液,精液保存的方法是____________。在体外受精前要对精子进行获能处理,其原因是____________;精子体外获能可采用化学诱导法,诱导精子获能的药物是___________(答出1点即可)。利用该公羊的精子进行体外受精需要发育到一定时期的卵母细胞,因为卵母细胞达到___________时才具备与精子受精的能力。
(2)体外受精获得的受精卵发育成囊胚需要在特定的培养液中进行,该培养液的成分除无机盐、激素、血清外,还含的营养成分有___________(答出3点即可)等。将培养好的良种囊胚保存备用。
(3)请以保存的囊胚和相应数量的非繁殖期受体母羊为材料进行操作,以获得具有该公羊优良性状的后代。主要的操作步骤是___________。
正确答案
【答案】(1)① 4 ②0.5 ③ 向下运动
(2)
正确答案
(1)
(2)① 图a ② 同一周期第一电离能的总体趋势是依次升高的,但由于N元素的2p能级为半充满状态,因此N元素的第一电离能较C、O两种元素高 ③ 图b
(3)
(4)① sp2 ② sp3 ③ C-F键的键能大于聚乙烯中C-H的键能,键能越大,化学性质越稳定
(5)① Ca2+ ②
正确答案
(1)苯甲醇
(2)消去反应
(3)
(4)
(5)硝基、酯基和羰基
(6)
(7) ① 

正确答案
(1)①
(2)N0•2n
(3)在无菌条件下,将等量等浓度的A菌液和B菌液分别接种到平板Ⅰ的甲和乙两孔处,平板Ⅱ也进行同样的操作,在相同且适宜条件下培养一段时间,比较两个平板的两孔处的透明圈大小并作记录,根据透明圈大降解能力强,透明圈小降解能力弱,进而比较A、B降解石油的能力
(4)① A ② A菌株降解石油的能力高于B菌株,并且在没有添加氮源的培养基中也能生长
正确答案
(1) ① 放入-196℃的液氮中保存(或冷冻保存) ② 刚排出的精子必需在雌性生殖道内发生相应生理变化后才能受精 ③ 肝素或钙离子载体A23187 ④ MⅡ中期
(2)维生素、氨基酸、核苷酸
(3)对受体母羊进行同期发情处理,将保存的囊胚进行胚胎移植,对受体母羊进行是否妊娠的检查,一段时间后受体母羊产下具有该公羊优良性状的后代




























































































