- 真题试卷
- 模拟试卷
- 预测试卷
2.当人体的免疫系统将自身物质当作外来异物进行攻击时,可引起自身免疫病。下列属于自身免疫病的是
正确答案
3.下列关于生物学实验的叙述,错误的是
正确答案
6.河水携带泥沙流入大海时,泥沙会在入海口淤积形成三角洲,在这个过程中,会出现3种植物群落类型:①以芦苇为主的植物群落(生长在淡水环境中),②以赤碱蓬为主的植物群落(生长在海水环境中),③草甸植物群落(生长在陆地环境中)。该三角洲上的植物群落是通过群落演替形成的,演替的顺序是
正确答案
7.北宋沈括《梦溪笔谈》中记载:“信州铅山有苦泉,流以为涧,挹其水熬之则成胆矾,烹胆矾则成钢。熬胆矾铁釜,久之亦化为铜”,下列有关叙述错误的是
正确答案
10.吡啶(
正确答案
1.新冠病毒(SARS-CoV-2)和肺炎双球菌均可引发肺炎,但二者的结构不同,新冠
病毒是一种含有单链RNA的病毒。下列相关叙述正确的是
正确答案
4.关于高等植物细胞中染色体组的叙述,错误的是
正确答案
5.取某植物的成熟叶片,用打孔器获取叶圆片,等分成两份,分别放入浓度(单位为g/mL)相同的甲糖溶液和乙糖溶液中,得到甲、乙两个实验组(甲糖的相对分子质量约为乙糖的2倍)。水分交换达到平衡时,检测甲、乙两组的溶液浓度,发现甲组中甲糖溶液浓度升高。在此期间叶细胞和溶液之间没有溶质交换。据此判断下列说法错误的是
正确答案
8. 某白色固体混合物由



正确答案
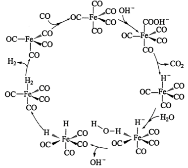
9.二氧化碳的过量排放可对海洋生物的生存环境造成很大影响,其原理如下图所示。下列叙述错误的是
正确答案
12.电致变色器件可智能调控太阳光透过率,从而实现节能。下图是某电致变色器件的示意图,当通电时,


正确答案
13.一种由短周期主族元素组成的化合物(如图所示),具有良好的储氢性能,其中元素W、X、Y、Z的原子序数依次增大、且总和为24。下列有关叙述错误的是
正确答案
14、管道高频焊机可以对由钢板卷成的圆管的接缝实施焊接。焊机的原理如图所示,圆管通过一个接有高频交流电源的线圈,线圈所产生的交变磁场使圆管中产生交变电流,电流产生的热量使接缝处的材料熔化将其焊接。焊接过程中所利用的电磁学规律的发现者为
正确答案
18.氘核
表示。海水中富含氘,已知1kg海水中含有的核约为


正确答案
11.据文献报道: 
正确答案
15.若一均匀球形星体的密度为
正确答案
16.如图,在摩托车越野赛途中的水平路段前方有一个坑,该坑沿摩托车前进方向的水平宽度为3h,其左边缘a点比右边缘b点高0.5h。若摩托车经过a点时的动能为


正确答案
17.CT扫描是计算机X射线断层扫描技术的简称,CT扫描机可用于对多种病情的探测图(a)是某种CT机主要部分的剖面图,其中X射线产生部分的示意图如图(b)所示。图(b)中M、N之间有一电子束的加速电场,虚线框内有匀强偏转磁场:经调节后电子束从静止开始沿带箭头的实线所示的方向前进,打到靶上,产生X射线(如图中带箭头的虚线所示):将电子束打到靶上的点记为P点。则
正确答案
19.特高压输电可使输送中的电能损耗和电压损失大幅降低。我国已成功掌握并实际应用了特高压输电技术。假设从A处采用550kV的超高压向B处输电,输电线上损耗的电功率为



正确答案
20. 如图,竖直面内一绝缘细圆环的上、下半圆分别均匀分布着等量异种电荷。



正确答案
21. 水平冰面上有一固定的竖直挡板。以滑冰运动员面对挡板静止在冰面上,他把一质量为4.0kg的静止物块以大小为5.0


正确答案
23. (10分)
某同学要研究一小灯泡














(1) 根据图(












(3) 实验时,调节滑动变阻器,使开关闭合后两电流表的示数为零,逐次改变滑动变阻器滑片位置并读取相应的





(4) 如果用另一个电阻替代定值电阻

正确答案
(1)
(2)

(3)11.6;
(4)8.0。
24. (12分)
如图,在






(1)若粒子经磁场偏转后穿过

(2)如果磁感应强度大小为

正确答案
解:(1)由题意,粒子刚进入磁场时应受到方向向上的洛伦兹力,因此磁场方向垂直于纸面向里。设粒子进入磁场中做圆周运动的半径为R,根据洛伦兹力公式和圆周运动规律,有

由此可得

粒子穿过


由题意,当磁感应强度大小为

(2)若磁感应强度大小为


粒子会穿过图中P点离开磁场,运动轨迹如图所示。设粒子在P点的运动方向与


即

由几何关系可得,P点在

联立⑦⑧式得

25.(20分)
如图,一竖直圆管质量为




(1)求管第一次与地面碰撞后的瞬间,管和球各自的加速度大小;
(2)管第一次落地弹起后,在上升过程中球没有从管中滑出,求管上升的最大高度;
(3)管第二次落地弹起的上升过程中,球仍没有从管中滑出,求圆管长度应满足的条件。
正确答案
解:(1)管第一次落地弹起的瞬间,小球仍然向下运动。设此时管的加速度大小为




联立①②式并代入题给数据,得

(2)管第一次碰地前与球的速度大小相同。由运动学公式,碰地前的瞬间它们的速度大小均为

方向均向下。管弹起的瞬间,管的速度反向,球的速度方向依然向下。
设自弹起时经过时间t1,管与小球的速度刚好相同。取向上为正方向 ,由运动学公式

联立③④⑤式得

设此时管下端的高度为



由③④⑥⑧式可判断此时



设管第一次落地弹起后上升的最大高度为

联立③④⑥⑦⑧⑨⑩式可得

(3)设第一次弹起过程中球相对管的位移为


联立⑪⑫式并代入题给数据得

同理可推得,管与球从再次下落到第二次弹起至最高点的过程中,球与管的相对位移

设圆管长度为L,管第二次落地弹起后的上升过程中,球不会滑出管外的条件是

联立⑪⑬⑭⑮式,L应满足条件为

27. (15分)
苯甲酸可用作食品防腐剂。实验室可通过甲苯氧化制苯甲酸,其反应原理简示如下:
实验步骤:
(1) 在装有温度计、冷凝管和搅拌器的三颈烧瓶中加入1.5

(2)停止加热,继续搅拌,冷却片刻后,从冷凝管上口慢慢加入适量饱和亚硫酸氢钠溶液,并将反应混合物趁热过滤,用少量热水洗涤滤渣。合并滤液和洗涤液,于冰水浴中冷却,然后用浓盐酸酸化至苯甲酸析出完全。将析出的苯甲酸过滤,用少量冷水洗涤,放在沸水浴上干燥。称量,粗产品为1.0g。
(3)纯度测定:称取0.122g粗产品,配成乙醇溶液,于100mL容量瓶中定容。每次移取25.00mL溶液,用0.01000


回答下列问题:
(1)根据上述实验药品的用量,三颈烧瓶的最适宜规格为
(填标号)
正确答案
(1)B;
(2)球形;无油珠说明不溶于水的甲苯已经被完全氧化;
(3)除去过量的高锰酸钾,避免在用盐酸酸化时,产生氢气,
(4)
(5)苯甲酸升华而损失;
(6)86.0%;C;
(7)重结晶。
26. (14分)
化学工业为疫情防控提供了强有力的物质支撑。氯的许多化合物既是重要化工原料,又是高效、广谱的灭菌消毒剂。回答下列问题:
(1) 氯气是制备系列含氯化合物的主要原料,可采用如图(a)所示的装置来制取。装置中的离子膜只允许 离子通过,氯气的逸出口是 (填标号)。
(2) 次氯酸为一元弱酸,具有漂白和杀菌作用,其电离平衡体系中各成分的组成分数





(3) 



(4) 






(5) “84消毒液“的有效成分为
(用离子方程式表示)。工业上是将氯气通入到30%的



正确答案
(1)
(2)
(3)
(5)
28.(14分)
天然气的主要成分为

(1)乙烷在一定条件可发生如下反应:

①
② 提高该反应平衡转化率的方法有 。
③ 容器中通入等物质的量的乙烷和氢气,在等压下



(2)高温下,甲烷生成乙烷的反应如下:


①设反应开始时的反应速率为



②对于处于初期阶段的该反应,下列说法正确的是 。
正确答案
(1)137;升高温度、减小压强(增大体积);
(2)
(3)
物理题选做
正确答案
正确答案
化学题选做
35.【化学——选修3:物质结构与性质】(15分)
钙钛矿
(1)基态Ti原子的核外电子排布式为 。
(2)Ti的四卤化合物熔点如下表所示,


(3)

(4)一种立方钙钛矿结构的金属卤化物光电材料的组成为







36.【化学——选修5:有机化学基础】(15分)
维生素E是一种人体必需的脂溶性维生素,现已广泛应用于医药、营养品、化妆品等。天然的维生素E由多种生育酚组成,其中

回答下列问题:
(1) A的化学名称为__ ___。
(2) B的结构简式为__ ____。
(3) 反应物C含有三个甲基,其结构简式为__ ___。
(4) 反应⑤的反应类型为__ __。
(5) 反应⑥的化学方程式为__ ___。
(6) 化合物C的同分异构体中能同时满足以下三个条件的有__ _个(不考虑立体异构体,填标号)。
(ⅰ)含有两个甲基;(ⅱ)含有酮羰基(但不含
(a)4 (b)6 (c)8 (d)10
其中,含有手性碳(注:连有四个不同的原子或基团的碳)的化合物的结构简式为_______。
正确答案
(1)
(2)
(3)O>Ti>Ca;离子键;12;
(4)


(5)

正确答案
(1)3-甲基苯酚(或间甲基苯酚);
(2)
(3)
(4)加成反应;
(5)
(6)c;
生物题选做
37. [生物——选修1:生物技术实践](15分)


(1)在以淀粉为底物测定A3酶活性时,既可检测淀粉的减少,检测应采用的试剂是____ ___,也可采用斐林试剂检测____ ___的增加。
(2)在A3的分离过程中可采用聚丙烯酰胺凝胶电泳检测其纯度,通常会在凝胶中添加SDS,SDS的作用是___ __和_ __。
(3)本实验中,研究人员在确定A3的最适pH时使用了三种组分不同的缓冲系统,结果如图所示。某同学据图判断,缓冲系统的组分对酶活性有影响,其判断依据是_ _ _。
(4)在制备A3的固定化酶时,一般不宜采用包埋法,原因是_ __ (答出1点即可)。
38. [生物——选修3:现代生物科技专题](15分)
植树造林、“无废弃物农业”、污水净化是建设美丽中国的重要措施。回答下列有关生态工程的问题:
(1)在植树造林时,一般认为,全部种植一种植物的做法是不可取的。因为与混合种植方式所构建的生态系统相比,按照种植一种植方式所构建的生态系统,其抵抗力稳定性_ _。抵抗力稳定性的含义是__ __。
(2)“无废弃物农业”是我国利用生态工程的原理进行农业生产的一种模式,其做法是收集有机物质,包括人畜粪便、枯枝落叶等,采用堆肥和沤肥等多种方式,把它们转变为有机肥料,再施用到农田中。施用有机肥料的优点是___ __ (答出3点即可)。在有机肥料的形成过程中,微生物起到了重要作用,这些微生物属于生态系统组分中的_ _。
(3)在污水净化过程中,除发挥污水处理厂的作用外,若要利用生物来回收污水中的铜、镉等金属元素,请提供一个方案:___ __。
正确答案
(1)碘液;还原糖(或答:葡萄糖);
(2)消除蛋白质所带净电荷对迁移率的影响;使蛋白质发生变性;
(3)在pH相同时,不同缓冲系统条件下所测得的相对酶活性不同;
(4)酶分子体积小,容易从包埋材料中漏出。
正确答案
(1)低;生态系统抵抗外界干扰并使自身的结构与功能保持原状或不受损害的能力;
(2)改善了土壤结构;培育了土壤微生物;实现了土壤养分的循环利用;分解者;
(3)种植能吸收这些金属元素的水生植物,再从植物中回收金属。
29. (10分)
大豆蛋白在人体内经消化道中酶的座椅后,可形成小肽(短的肽链)。回答下列问题:
(1) 在大豆细胞中,以

(2) 大豆细胞中大多数





(3) 部分氨基酸的密码子如表所示。若来自大豆的某小肽对应编码序列为
UACGAACAUUGG,则该小肽的氨基酸序列是 。若该小肽对应的DNA序列有3处碱基发生了替换,但小肽的氨基酸序列不变,则此时编码小肽的RNA序列为 。
正确答案
(1)

(2)细胞核;细胞质;细胞质;细胞核;
(3)酪氨酸-谷氨酸-组氨酸-色氨酸;UAUGAGCACUGG。
30. (9分)
为了研究细胞器的功能,某同学将正常叶片置于适量的溶液B中,用组织捣碎机破碎细胞,再用差速离心法分离细胞器。回答下列问题:
(1)该实验所用溶液B应满足的条件是 (答出2点即可)。
(2)离心沉淀出细胞核后,上清液在适宜的条件下能将葡萄糖彻底分解,原因是此上清液中含有 。
(3)将分离得到的叶绿体悬浮在适宜溶液中,照光后有氧气释放:如果在该适宜溶液中将叶绿体外表的双层膜破裂后再照光, (填“有”或“没有”)氧气释放,原因是 。
正确答案
(1)pH应与细胞质基质的相同,渗透压应与细胞内的相同;
(2)细胞质基质组分和线粒体;
(3)有;类囊体膜是H2O分解释放O2的场所,叶绿体膜破裂不影响类囊体膜的功能。
22. (5分)
一细绳跨过悬挂的定滑轮,两端分别系有小球A和B,如图所示。一实验小组用此装置测量小球B运动的加速度。
令两小球静止,细绳拉紧,然后释放小球,测得小球B释放时的高度





从实验室提供的数据得知,小球A、B的质量分别为100.0





可以看出,

正确答案
1.84;1.96;滑轮的轴不光滑 或 滑轮有质量。
32. (11分)
控制某种植物叶形、叶色和能否抗霜霉病3个性状的基因分别用A/a、B/b、D/d表示,且位于3对同源染色体上。现有表现型不同的4种植株:板叶紫叶抗病(甲)、板叶绿叶抗病(乙)、花叶绿叶感病(丙)和花叶紫叶感病(丁)。甲和丙杂交,子代表现型均与甲相同;乙和丁杂交,子代出现个体数相近的8种不同表现型。回答下列问题:
(1)根据甲和丙的杂交结果,可知这3对相对性状的显性性状分别是 。
(2)根据甲和丙、乙和丁的杂交结果、可以推断甲、乙、丙和丁植株的基因型分别为 、 、 和 。
(3)若丙和丁杂交,则子代的表现型为 。
(4)选择某一未知基因型的植株X与乙进行杂交,统计子代个体性状。若发现叶形的分离比为3:1、叶色的分离比为1:1、能否抗病性状的分离比为1:1,则植株X的基因型为 。
正确答案
(1)板叶、紫叶、抗病;
(2)AABBDD ; AabbDd ; aabbdd ; aaBbdd;
(3)花叶绿叶感病、花叶紫叶感病;
(4)AaBbdd。
(二)选考题:共45分,请考生从2道物理题、2道化学题、2道生物题中每科任选一题作答。如果多做,则每科按所做的第一题计分。
31. (9分)
人在剧烈奔跑运动时机体会出现一些生理变化。回答下列问题:
(1)剧烈奔跑运动时肌细胞会出现 ,这一呼吸方式会导致肌肉有酸痛感。
(2)当进行较长时间剧烈运动时,人体还会出现其他一些生理变化。例如,与运动前相比,胰岛A细胞的分泌活动会加强,分泌 ,该激素具有 (答出2点即可)等生理功能,从而使血糖水平升高。
(3)人在进行剧烈运动时会大量出汗,因此在大量出汗后,为维持内环境的相对稳定,可以在饮水的同时适当补充一些 。
正确答案
(1)无氧呼吸;
(2)胰高血糖素;促进糖原分解和非糖物质转化为葡萄糖;
(3)电解质(或答:无机盐)。











































































