- 真题试卷
- 模拟试卷
- 预测试卷
大连相干光源是我国第一台高增益自由电子激光用户装置,其激光辐射所应用的玻尔原子理论很好地解释了氢原子的光谱特征。图为氢原子的能级示意图,已知紫外光的光
子能量大于3.11eV,当大量处于n=3能级的氢原子向低能级跃迁时,辐射不同频率的紫外光有
正确答案
解析
本题考查能级跃迁,选择B。
某同学参加户外拓展活动,遵照安全规范,坐在滑板上,从高为h的祖糙斜坡顶端由静止下滑,至底端时速度为v.已知人与滑板的总质量为m,可视为质点。重力加速度大小为g,不计空气阻力。则此过程中人与滑板克服摩擦力做的功为
正确答案
解析
某仪器发射甲、乙两列横波,在同一均匀介质中相向传插,波速v大小相等,某时刻的波形图如图所示,则这两列横波
正确答案
解析
甲乙波速相等,应在11~12m处相遇,排除A,B。波峰应在10.5m,故选C。
倾角为



正确答案
解析
根据受力分析可知,小木块先做匀加速运动后再做匀速运动,故选C。
2024年3月20日,我国探月工程四期鹊桥二号中继星成功发射升空,当抵达距离月球表面某高度时,鹊桥二号开始进行近月制动,并顺利进入捕获轨道运行,如图所示,轨道的半长轴约为51900km,后经多次轨道调整,进入冻结轨道运行,轨道的半长轴约为9900 km,周期约为24h,则鹏桥二号在捕获轨道运行时
正确答案
解析
由
如图所示,竖直平面内有两完全相同的轻质弹簧,它们的一端分别固定于水平线上的M、N两点,另一端均连接在质量为m的小球上。开始时,在竖直向上的拉力作用下,小球静止于MN连线的中点0,弹簧处于原长。后将小球竖直向上缓慢拉至P点,并保持静止,此时拉力F大小为2mg.已知重力加速度大小为g,弹簧始终处于弹性限度内,不计空气阻力。若撒去拉力,则小球从P点运动到0点的过程中
正确答案
解析
根据受力分析可知,做匀加速运动,故排除BCD,故选A。
在某地区的干早季节,人们常用水泵从深水井中抽水灌溉农田,简化模型如图所示。水井中的水面距离水平地面的高度为H.出水口距水平地面的高度为h,与落地点的水平距离约为1.假
设抽水过程中H保持不变,水泵输出能量的

正确答案
解析
在某装置中的光滑绝缘水平面上,三个完全相同的带电小球,通过不可伸长的绝缘轻质细线,连接成边长为d的正三角形,如图甲所示。小球质量为m,带电量为+q,可视为点电荷,初始时,小球均静止,细线拉直,现将球1和球2间的细线剪断,当三个小球运动到同一条直线上时,速度大小分别为

正确答案
解析
选项A,合力逐渐变大。选项B,动量守恒。选项C,速度分解,
一倾角为



正确答案
解析
物块所受力不断变化,可知F为t(4+2t)的积分,
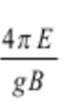
空间中存在竖直向下的匀强电场和垂直于纸面向里的匀强磁场,电场强度大小为E,磁感应强度大小为B。一质量为m的带电油滴a,在纸面内做半径为R的圆周运动,轨迹如图所示。当a运动到最低点P时,瞬间分成两个小油滴1、Ⅱ,二者带电量、质量均相同。1在P点时与a的速度方向相同,并做半径为3R的圆周运动,轨迹如图所示。Ⅱ的轨迹未画出。已知重力加速度大小为g,不计空气浮力与阻力以及I、Ⅱ分开后的相互作用。则
正确答案
解析
mg=Eq,q=mg/E,R=mv/Bq ,v=BqR/m,T=2πm/Bq=2πE/Bg,故选ABD。
(6分)
某实验小组做“测量玻璃的折射率”及拓展探究实验。
(1)为测量玻璃的折射率,按图甲所示进行实验,以下表述正确的一项是____。(填正确答案标号)
A.用笔在白纸上沿着玻璃砖上边和下边分别画出直线a和
B.在玻璃砖一侧插上大头针











C.实验时入射角
(2)为探究介质折射率与光的频率的关系,分别用一束红光和一束绿光从同一点入射到空气与玻璃的分界面。保持相同的入射角,根据实验结果作出光路图,并标记红光和绿光,如图乙所示。此实验初步表明:对于同一种介质,折射率与光的频率有关。频率大,折射率____(填“大”或“小”)。
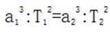
(3)为探究折射率与介质材料的关系,用同一束激光分别入射玻璃砖和某透明介质,如图丙、丁所示。保持相同的入射角a1,测得折射角分别为(
正确答案
(1)B (2)大 (3)>
解析
(1)本题考查折射率。(2)
(10分)
某实验小组要将电流表G(铭牌标示:
(1)开关
(2)根据要求和己知信息,电阻箱


(3)当单刀双掷开关


(4)校准电表时,发现改装后电压表的读数始终比标准电压表的读数偏大,经排查发现电流表G内阻的真实值与铭牌标示值有偏差,则只要____即可。(填正确答案标号)
A.增大电阻箱
B.减小电阻箱
C.将滑动变阻器的滑片P向M端滑动
(5)校准完成后,开关
正确答案
(1)M (2)4000 (3)
解析
(1)闭合前保持电阻最大,保护电路。(2)


(10分)
某人驾驶汽车,从北京到哈尔滨。在哈尔滨发现汽车的某个轮胎内气体的压强有所下降(假设轮胎内气体的体积不变,且没有漏气,可视为理想气体),于是在哈尔滨给该轮胎充入压强与大气压相同的空气,使其内部气体的压强恢复到出发时的压强(假设充气过程中,轮胎内气体的温度与环境温度相同,且保持不变)。已知该轮胎内气体的体积





(1)在哈尔滨时,充气前该轮胎内气体压强的大小;
(2)充进该轮胎的空气体积。
正确答案
略
解析
(1)等容变化
由理想气体状态方程可知

即
(2)
即
得
(14分)
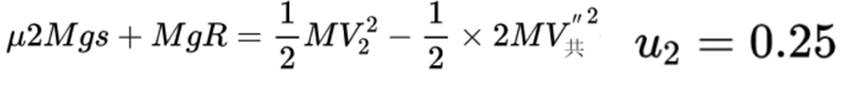
如图所示,一实验小车静止在光滑水平面上,其上表面有相描水平轨道与光滑四分之一圆弧轨道,圆弧轨道与水平轨道相切于圆弧轨道最低点。一物块静止于小车最左端,-小球用不可伸长的轻质细线悬挂于0点正下方,并轻靠在物块左侧。现将细线拉直到水平位置,由静止释放小球,小球运动到最低点时与物块发能弹性碰掩,碰撞后,物块沿小车上的轨道运动。已知细线长L=1.25m,小球质量m=0.20kg.,物块、小车质量均为M=0.30kg,小车上的水平轨道长s=1.0 m,圆弧轨道半径R=0.15m。小球、物块均可视为质点,不计空气阻力,重力加速度g取
(1)求小球运动到最低点与物块碰撞前,所受拉力的大小:
(2)求小球与物块碰撞后的瞬间,物块速度的大小;
(3)为使物块能进入圆弧轨道,且在上升阶段不脱离小车,求物块与水平轨道间动摩擦因数μ的取值范围。
正确答案
略
解析
(1)对小球分析得
代入数据:
(2)小球碰物块

(3)临界1
临界2
(18分)
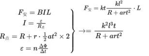
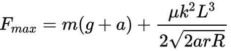
如图所示,一“U”型金属导轨居定在竖直平面内,一电阻不计,质量为m的金属棒ab重直于导轨,并静置于绝缘固定支架上。边长为L的正方形cdef区域内,存在垂直于低面向外的匀强磁场。支架上方的导轨间,存在竖直向下的匀强磁场。两磁场的磁感应强度大小B随时间的变化关系均为B=kt (SI),k为常数(k>0)。支架上方的导轨足够长,两边导轨单位长度的电阻均为r,下方导轨的总电阻为R。t=0时,对ab施加竖直向上的拉力,恰使其向上做加速度大小为a的匀加速直线运动,整个运动过程中ab与两边导轨接触良好。已知ab与导轨间动摩擦因数为,重力加速度大小为g。不计空气阻力,两磁场互不影响。
(1)求通过面积
(2)求ab所受安培力的大小随时间t变化的关系式;
(3)求经过多长时间,对ab所施加的拉力达到最大值,并求此最大值。
正确答案
略
解析
(1)
楞次定律
(2)
(3)
当























































