- 真题试卷
- 模拟试卷
- 预测试卷
潮汐现象出现的原因之一是在地球的不同位置海水受到月球的引力不相同。图中a、b和c处单位质量的海水受月球引力大小在( )
正确答案
解析
潮汐现象是由于月球对地球引力作用导致的。月球对地球上不同位置的海水引力大小不同。距离月球越近,受到的引力越大。在图中a处距离月球最近, 所以a处单位质量的海水受月球引力最大,故选A。
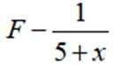
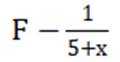
工人卸货时常利用斜面将重物从高处滑下。如图,三个完全相同

正确答案
解析
三个木箱质量相同,底部受力面积不同,但动摩擦因数相等在同一斜面同一位置静止开始下滑。
选项A:因为动摩擦因数相等,压力(等于重力沿垂直斜面方向的分力)也相同。根据滑动摩擦力公式

选项B:同理,摩擦力相等,B选项错误。
选项C:摩擦力相等,C选项错误
选项D:三个木箱收到的摩擦力相等,D选项正确
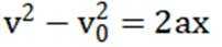
让质量为












正确答案
解析
物体自由落体运功,根据速度公式



将物体1和物体2捆绑后,质量变为4m,但它们下落的加速度仍为重力加速度g,所以第1秒末的速度
近期,我国科研人员首次合成了新核素锇





正确答案
解析




选项A:元素 m电荷数是54,元素 n电荷数是57,不相同, A错误
选项B:中子数=质量数-质子数,元素 m 质量数是156,质子数是54,中子数为156 - 54=102;元素 n质量数是156,质子数是57,中子数为156 - 57=99,不相同, B错误。
选项C:元素 m和n的质量数都是156,相同, C正确
选项D:元素m质子数是54,元素n质数是57不相同, D错误



正确答案
解析
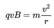
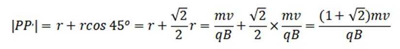
粒子在磁场中做匀速圆周运动,洛伦兹力提供向心力,即

粒子运动轨迹如图所示,粒子第一次到达Y轴的位置为


则

所以
将横截面相同、材料不同的两段导体

正确答案
解析
设两电阻丝的电阻率分别为



当滑到
当滑到
所以
由①②③得,
故选B
如图,将不计重力、电荷量为q带负电的小圆环套在半径为R的光滑绝缘半圆弧上,半圆弧直径两端的M点和N点分别固定电荷量为





正确答案
解析
小圆环带负电,半圆弧上有两个固定的负点电荷,小圆环从靠近N点处释放后会在静电力作用下运动,需要判断从




故本题答案为:C。
如图,在光滑平台上有两个相同的弹性小球M和N。M水平向右运动,速度大小为v。M与静置于平台边缘的N发生正碰,碰撞过程中总机械能守恒。若不计空气阻力,则碰撞后,N在( )
正确答案
解析
由于两小球碰撞过程中机械能守恒,可知两小球碰撞过程是弹性碰撞,由于两小球质量相等,故碰撞后两小球交换速度,即
故选BC。
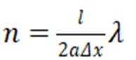
如图,S为单色光源,S发出的光一部分直接照在光屏上,一部分通过平面镜反射到光屏上。从平面镜反射的光相当于S在平面镜中的虚像发出的,由此形成了两个相干光源。设光源S到平面镜和到光屏的距离分别为a和l,

正确答案
解析
D.若详解:AB.根据光的反射对称性可知光源S与平面镜中的虚像距离为2a,根据条纹间距公式可知
故A正确,B错误;
C.若将整套装置完全浸入折射率为n的蔗糖溶液中,光的频率不变,根据

故C错误;
将整套装置完全没入某种透明溶液中,光屏上相邻两条亮条纹的中心间距为 


所以
故选AD。
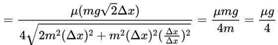
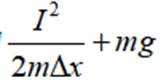
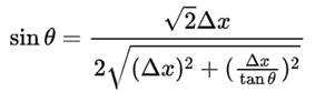
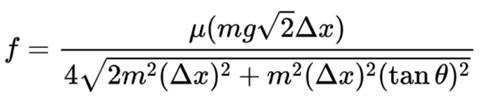
如图,坚硬的水平地面上放置一木料,木料上有一个竖直方向的方孔,方孔各侧壁完全相同。木栓材质坚硬,形状为正四棱台,上下底面均为正方形,四个侧面完全相同且与上底面的夹角均为


正确答案
解析
选项A:锤子对木栓冲量为I,方向竖直向下,根据动量定理,木栓获得的动量为I,则木栓进入过程中动量的变化最为I,根据据动量定理,合力的动量定理,合力的冲量等于动量的变化量,所以木料对木栓的合力的冲量为I,而不是-I,A项错误。
选项B:设木料对木栓的平均阻力大小为F,根据动能定理可得:


选项C:机械能的损失等于摩擦力做的功,摩擦力做的功为 
选项D:木栓进入方孔时,对一个侧面的压力为
根据几何关系可得
将其代入可得

故选BC
单摆可作为研究简谐运动的理想模型。
(1)制作单摆时,在图甲、图乙两种单摆的悬挂方式中,选择图甲方式的目的是要保持摆动中_____不变;
(2)用游标卡尺测量摆球直径,测得读数如图丙,则摆球直径为_____
(3)若将一个周期为T的单摆,从平衡位置拉开
正确答案
(1)摆长
(2)2.02cm
(3)
解析
单摆做简谐运动时,位移x与时间t的关系为




故本题答案为:
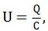
某同学为探究电容器充、放电过程,设计了图甲实验电路。器材如下:电容器,电源E(电动势



(1)断开

(2)闭合




(3)保持

(4)实验得到放电过程的







正确答案
(1)0.0002; (2)15.000;(3)0; (4)31.3; 0.012
解析
(1)采样频率为5000Hz, 周期
(2)由图乙可知, 开关 
(3)当保持 

(4)根据


如图,轮滑训练场沿直线等间距地摆放着若干个定位锥筒,锥筒间距


(1)滑行的加速度大小;
(2)最远能经过几号锥筒。
正确答案
(1)
解析
(1)设该同学到达1号锥筒时的速度为
从1号锥筒到2号锥筒的过程,根据位移公式
从2号锥筒到3号锥筒的过程, 同理可得:
又因为
所以滑行的加速度大小为
(2)设该同学速度减为0时经过了n个锥筒,根据速度位移公式





故本题答案为:
如图,圆柱形管内封装一定质量的理想气体,水平固定放置,横截面积



(1)求活塞位于b处时,封闭气体对活塞的压力大小;
(2)推导活塞从a处到b处封闭气体经历了等温变化;
(3)画出封闭气体等温变化的
正确答案
(1)0.5N (2)见下述解析 (3)见下述解析
解析
(1)当活塞位于b处时, 


(2)在推动活塞从b到a的过程中, 气体体积减小,压强增大,再从a到b的过程中,根据






(3)当活塞位于a处时,封闭气体的长度为

当活塞位于b处时,体积
在等温变化中,pV为定值,设
可得
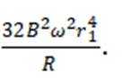
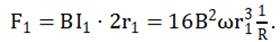
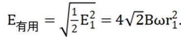
某兴趣小组为研究非摩擦形式的阻力设计了如图甲的模型。模型由大齿轮、小齿轮、链条、阻力装置K及绝缘圆盘等组成。K由固定在绝缘圆盘上两个完全相同的环状扇形线圈




(1)不同时间线圈

(2)流过线圈
(3)装置K消耗的平均电功率。
正确答案
(1) 当线圈
(2)流过线圈
(3)装置K消耗的平均电功率为
解析
(1) 当线圈



此时回路中的电流为:
则线圈
当线圈

(2) 线圈
则流过线圈
(3)装置K消耗的平均电功率为:
故本题答案为:(1) 当线圈
























































































