- 真题试卷
- 模拟试卷
- 预测试卷
2024年5月3日,长征五号遥八运载火箭托举嫦娥六号探测器进入地月转移轨道,火箭升空过程中,以下描述其状态的物理量属于矢量的是( )
正确答案
“指尖转球”是花式篮球表演中常见的技巧。如图,当篮球在指尖上绕轴转动时,球面上P、Q两点做圆周运动的( )
正确答案
利用砚台将墨条研磨成墨汁时讲究“圆、缓、匀”,如图,在研磨过程中,砚台始终静止在水平桌面上。当墨条的速度方向水平向左时,( )
正确答案
某同学自制双缝干涉实验装置,在纸板上割出一条窄缝,于窄缝中央沿缝方向固定一根拉直的头发丝形成双缝,将该纸板与墙面平行放置,如图所示。用绿色激光照双缝,能在墙面上观察到干涉条纹。下列做法可以使相邻两条亮纹中央间距变小的是( )
正确答案
某种不导电溶液


正确答案
在水平方向的匀强电场中,一带电小球仅在重力和电场力作用下于竖直面(纸面)内运动。如图,若小球的初速度方向沿虚线,则其运动轨迹为直线,若小球的初速度方向垂直于虚线,则其从O点出发运动到O点等高处的过程中( )
正确答案
如图(a),将一弹簧振子竖直悬挂,以小球的平衡位置为坐标原点O,竖直向上为正方向建立x轴。若将小球从弹簧原长处由静止释放,其在地球与某球状天体表面做简谐运动的图像如(b)所示(不考虑自转影响),设地球、该天体的平均密度分别为


正确答案
X射线光电子能谱仪是利用X光照射材料表面激发出光电子,并对光电子进行分析的科研仪器,用某一频率的X光照射某种金属表面,逸出了光电子,若增加此X光的强度,则( )
正确答案
如图,两条“∧”形的光滑平行金属导轨固定在绝缘水平面上,间距为L,左、右两导轨面与水平面夹角均为30°,均处于竖直向上的匀强磁场中,磁感应强度大小分别为2B和B。将有一定阻值的导体棒ab、cd放置在导轨上,同时由静止释放,两棒在下滑过程中始终与导轨垂直并接触良好,ab、cd的质量分别为2m和m,长度均为L。导轨足够长且电阻不计,重力加速度为g,两棒在下滑过程中( )
正确答案
一足够长木板置于水平地面上,二者间的动摩擦因数为



正确答案
某探究小组要测量电池的电动势和内阻。可利用的器材有:电压表、电阻丝、定值电阻(阻值为
(1)实验步骤如下:
①将电阻丝拉直固定,按照图(a)连接电路,金属夹置于电阻丝的_____。(填“A”或“B”)端;
②闭合开关S,快速滑动金属夹至适当位置并记录电压表示数U,断开开关S,记录金属夹与B端的距离L;
③多次重复步骤②,根据记录的若干组U、L的值,作出图(c)中图线Ⅰ;
④按照图(b)将定值电阻接入电路,多次重复步骤②,再根据记录的若干组U、L的值,作出图(c)中图线Ⅱ。
(2)由图线得出纵轴截距为b,则待测电池的电动势
(3)由图线求得Ⅰ、Ⅱ的斜率分别为


正确答案
(1)B
图(a)为一套半圆拱形七色彩虹积木示意图,不同颜色的积木直径不同。某同学通过实验探究这套积木小幅摆动时周期T与外径D之间的关系。
(1)用刻度尺测量不同颜色积木的外径D,其中对蓝色积木的某次测量如图(b)所示,从图中读出D=____cm。
(2)将一块积木静置于硬质水平桌面上,设置积木左端平衡位置
(3)换用其他积木重复上述操作,测得多组数据。为了探究T与D之间的函数关系,可用它们的自然对数作为横、纵坐标绘制图像进行研究,数据如下表所示:
根据表中数据绘制出
删除A.


(4)请写出一条提高该实验精度的改进措施:______。
正确答案
(1)7.54/7.55/7.56
(2)10
(3)A
(4)换更光滑的硬质水平桌面
如图,理想变压器原、副线圈的匝数比为n1:n2 = 5:1,原线圈接在电压峰值为Um的正弦交变电源上,副线圈的回路中接有阻值为R的电热丝,电热丝密封在绝热容器内,容器内封闭有一定质量的理想气体。接通电路开始加热,加热前气体温度为T0
(1)求变压器的输出功率P;
(2)已知该容器内的气体吸收的热量Q与其温度变化量ΔT成正比,即Q = CΔT,其中C已知。若电热丝产生的热量全部被气体吸收,要使容器内的气体压强达到加热前的2倍,求电热丝的通电时间t。
正确答案
如图,高度





(1)脱离弹簧时A、B的速度大小

(2)物块与桌面间的动摩擦因数μ;
(3)整个过程中,弹簧释放的弹性势能
正确答案
(1)1m/s,1m/s;(2)0.2;(3)0.1J
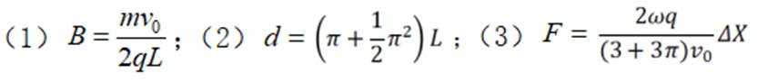
现代粒子加速器常用电磁场控制粒子团的运动及尺度。简化模型如图:Ⅰ、Ⅱ区宽度均为L,存在垂直于纸面的匀强磁场,磁感应强度等大反向;Ⅲ、Ⅳ区为电场区,Ⅳ区电场足够宽,各区边界均垂直于x轴,O为坐标原点。甲、乙为粒子团中的两个电荷量均为+q,质量均为m的粒子。如图,甲、乙平行于x轴向右运动,先后射入Ⅰ区时速度大小分别为


(1)求磁感应强度的大小B;
(2)求Ⅲ区宽度d;
(3)IV区x轴上的电场方向沿x轴,电场强度E随时间t、位置坐标x的变化关系为
其中常系数





























