- 真题试卷
- 模拟试卷
- 预测试卷
2024年5月3日,长征五号遥八运载火箭托举嫦娥六号探测器进入地月转移轨道,火箭升空过程中,以下描述其状态的物理量属于矢量的是( )
正确答案
解析
本题考查矢量基本知识。
速率是标量,速度是矢量,B错误;AD显然错误。
故选:C.
“指尖转球”是花式篮球表演中常见的技巧。如图,当篮球在指尖上绕轴转动时,球面上P、Q两点做圆周运动的( )
正确答案
解析
本题考查圆周运动的基本知识。
过程:由图可知,P的半径比Q小,A错误;绕同轴转动,故角速度大小相等,D正确;v=ωR,线速度大小不相等,B错误;a=vω,向心加速度大小不相等,C错误。
故选:D.
利用砚台将墨条研磨成墨汁时讲究“圆、缓、匀”,如图,在研磨过程中,砚台始终静止在水平桌面上。当墨条的速度方向水平向左时,( )
正确答案
解析
本题考查受力分析的相关知识。
过程:先对墨条受力分析,墨条相对砚台向左运动,故受到向右的摩擦力,A错误;由牛顿第三定律知,砚台受到墨条对它向左的摩擦力;而因为砚台静止,故受力平衡,得出桌面对砚台的摩擦力向右,B错误;由平衡力定义,C正确。D选项是竖直方向上的力,需重新分析,对于砚台,受到竖直向下的重力和墨条对其的压力,同时受到桌面向上的支持力,在竖直方向上受力平衡,D错误。
故选:C.
某同学自制双缝干涉实验装置,在纸板上割出一条窄缝,于窄缝中央沿缝方向固定一根拉直的头发丝形成双缝,将该纸板与墙面平行放置,如图所示。用绿色激光照双缝,能在墙面上观察到干涉条纹。下列做法可以使相邻两条亮纹中央间距变小的是( )
正确答案
解析
本题考查双缝干涉的基本知识。
过程:根据双缝干涉中条纹间距△x=Lλ/d,其中d为双缝间距,L为双缝到屏的距离,△x为条纹间距。头发丝更粗则d变大,△x变小,A正确;红色激光波长比绿色激光大,△x变大,B错误;L变大,△x变大,C错误;双缝干涉的前提条件是平行光入射,光源于纸板间的距离变化不影响干涉结果,D错误。
故选:A
某种不导电溶液


正确答案
解析
本题考查平行板电容器和电路分析的基本知识。
过程:电容
故选:B.
在水平方向的匀强电场中,一带电小球仅在重力和电场力作用下于竖直面(纸面)内运动。如图,若小球的初速度方向沿虚线,则其运动轨迹为直线,若小球的初速度方向垂直于虚线,则其从O点出发运动到O点等高处的过程中( )
正确答案
解析
本题考查电场和能量的综合应用。
过程:由若初速度防线沿虚线,则直线运动,推理出电场力的方向,如图。
当考虑垂直于虚线出发时,可类比平抛运动分析。电场力做正功,故电势能减小;合外力做正功,故动能增大。另:可用能量守恒检验,已知重力势能不变。
故选:D.
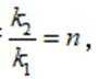
如图(a),将一弹簧振子竖直悬挂,以小球的平衡位置为坐标原点O,竖直向上为正方向建立x轴。若将小球从弹簧原长处由静止释放,其在地球与某球状天体表面做简谐运动的图像如(b)所示(不考虑自转影响),设地球、该天体的平均密度分别为


正确答案
解析
本题考查天体运动和简谐运动的综合应用。
过程:先抽象考虑任意天体上的该运动。由能量守恒,
后续计算如图,故选:C
X射线光电子能谱仪是利用X光照射材料表面激发出光电子,并对光电子进行分析的科研仪器,用某一频率的X光照射某种金属表面,逸出了光电子,若增加此X光的强度,则( )
正确答案
解析
本题考查光电效应的基本知识。
过程:逸出功为金属固有属性,不变化,A错误;光子的能量只与光的频率有关,与光的强度无关,强度的增加只是表示单位时间内通过单位面积的光子数量增多,而不改变单个光子的能量,B正确,D正确;由
故选:BD.
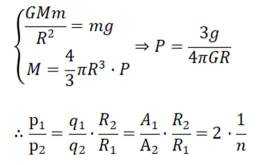
如图,两条“∧”形的光滑平行金属导轨固定在绝缘水平面上,间距为L,左、右两导轨面与水平面夹角均为30°,均处于竖直向上的匀强磁场中,磁感应强度大小分别为2B和B。将有一定阻值的导体棒ab、cd放置在导轨上,同时由静止释放,两棒在下滑过程中始终与导轨垂直并接触良好,ab、cd的质量分别为2m和m,长度均为L。导轨足够长且电阻不计,重力加速度为g,两棒在下滑过程中( )
正确答案
解析
本题考察电磁感应相关知识。
过程:由右手定则,两棒中感应电动势方向分别为a到b,c到d,A正确。E=2BLV1+BLV2,I=E/R,如图进行沿斜面方向受力分析,得两杆加速度相同即v1=v2=v,C错误。当v增大到一定程度,使得安培力与重力沿斜面方向上分力平衡,此时√3BIL=mg,故B正确;两棒产生的电动势始终不等,D错误。
故选:AB.
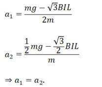
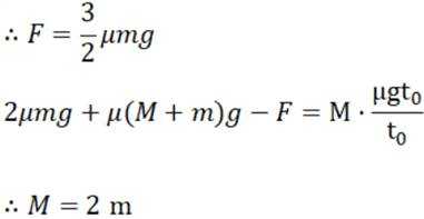
一足够长木板置于水平地面上,二者间的动摩擦因数为



正确答案
解析
本题考查受力分析和运动学的综合应用。
过程:如图,t=3t0时木板速度突变,显然此时物块滑上木板,A正确;小物块在t0时间内速度变化量为2μgt0,故加速度a=2μgt0/t0=2μg,因为f=ma=μ1mg(μ1表示小物块与木板之间的动摩擦因素),故B正确;分别对突变前后进行分析,如图所示,C错误;
共速后,地板的摩擦f=μ(m+M)g=F,故恰好可以一起匀速运动,D正确。
故选:ABD.
某探究小组要测量电池的电动势和内阻。可利用的器材有:电压表、电阻丝、定值电阻(阻值为
(1)实验步骤如下:
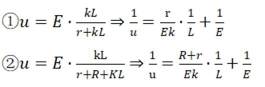
①将电阻丝拉直固定,按照图(a)连接电路,金属夹置于电阻丝的_____。(填“A”或“B”)端;
②闭合开关S,快速滑动金属夹至适当位置并记录电压表示数U,断开开关S,记录金属夹与B端的距离L;
③多次重复步骤②,根据记录的若干组U、L的值,作出图(c)中图线Ⅰ;
④按照图(b)将定值电阻接入电路,多次重复步骤②,再根据记录的若干组U、L的值,作出图(c)中图线Ⅱ。
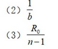
(2)由图线得出纵轴截距为b,则待测电池的电动势
(3)由图线求得Ⅰ、Ⅱ的斜率分别为


正确答案
(1)B
解析
本题考查电路的基础知识。第一问考查实验室安全。
电阻丝的电阻与长度成正比,设R=kL,关键步骤如图,很容易推出答案。
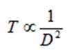
图(a)为一套半圆拱形七色彩虹积木示意图,不同颜色的积木直径不同。某同学通过实验探究这套积木小幅摆动时周期T与外径D之间的关系。
(1)用刻度尺测量不同颜色积木的外径D,其中对蓝色积木的某次测量如图(b)所示,从图中读出D=____cm。
(2)将一块积木静置于硬质水平桌面上,设置积木左端平衡位置
(3)换用其他积木重复上述操作,测得多组数据。为了探究T与D之间的函数关系,可用它们的自然对数作为横、纵坐标绘制图像进行研究,数据如下表所示:
根据表中数据绘制出
A.


(4)请写出一条提高该实验精度的改进措施:______。
正确答案
(1)7.54/7.55/7.56
(2)10
(3)A
(4)换更光滑的硬质水平桌面
解析
本题考查基础物理实验的相关应用。
过程:(1)注意估读;(2)简单分析可得;(3)如图,近似有
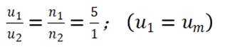
如图,理想变压器原、副线圈的匝数比为n1:n2 = 5:1,原线圈接在电压峰值为Um的正弦交变电源上,副线圈的回路中接有阻值为R的电热丝,电热丝密封在绝热容器内,容器内封闭有一定质量的理想气体。接通电路开始加热,加热前气体温度为T0
(1)求变压器的输出功率P;
(2)已知该容器内的气体吸收的热量Q与其温度变化量ΔT成正比,即Q = CΔT,其中C已知。若电热丝产生的热量全部被气体吸收,要使容器内的气体压强达到加热前的2倍,求电热丝的通电时间t。
正确答案
解析
本题考查交流电和电路的基本知识
(1)设输入、输出电压分别为
则
(2)

又
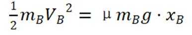
如图,高度





(1)脱离弹簧时A、B的速度大小

(2)物块与桌面间的动摩擦因数μ;
(3)整个过程中,弹簧释放的弹性势能
正确答案
(1)1m/s,1m/s;(2)0.2;(3)0.1J
解析
本题考查运动学、动量、能量
(1)
由动量守恒:
(2)由动能定理,对B:
(3)由能量守恒
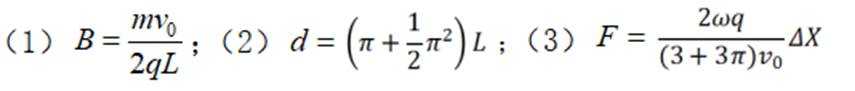
现代粒子加速器常用电磁场控制粒子团的运动及尺度。简化模型如图:Ⅰ、Ⅱ区宽度均为L,存在垂直于纸面的匀强磁场,磁感应强度等大反向;Ⅲ、Ⅳ区为电场区,Ⅳ区电场足够宽,各区边界均垂直于x轴,O为坐标原点。甲、乙为粒子团中的两个电荷量均为+q,质量均为m的粒子。如图,甲、乙平行于x轴向右运动,先后射入Ⅰ区时速度大小分别为


(1)求磁感应强度的大小B;
(2)求Ⅲ区宽度d;
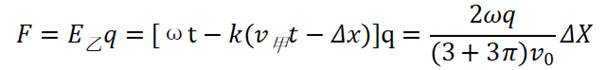
(3)IV区x轴上的电场方向沿x轴,电场强度E随时间t、位置坐标x的变化关系为
其中常系数

正确答案
解析
本题考查粒子电场、磁场中运动的综合应用
(1)对乙在I区:


(2)对甲在
以
由题意:甲从P到O用时恰为乙从进入

(3)甲初速度






























































