- 真题试卷
- 模拟试卷
- 预测试卷
有四种不同逸出功的金属材料:铷2.15ev,钾2.25ev,钠2.30ev和镁2.50ev制成的金属板.现有能量为2.20eV的光子,分别照到这四种金属板上,则会发生光电效应的金属板为( )
正确答案
有一变压器的原线圈接入有效值为220V的正弦交流电,副线圈输出电压的最大值
正确答案
某乘客乘坐的动车进站时,动车速度从36 km/h 减小为 0,此过程可视为匀减速直线运动,期间该乘客的脉搏跳动了70次。已知他的脉搏跳动每分钟约为 60次,则此过程动车行驶距离约为()
正确答案
用带电玻璃棒接触验电器的金属球,移走玻璃棒,验电器内两片金属箔张开,稳定后如图。图中



正确答案
如图扇形的材料,折射率大于
正确答案
如图为并联电路,a长度为



正确答案
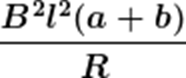
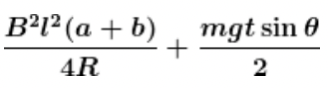
如图,两条固定的光滑平行金属导轨,所在平面与水平面夹角为θ,间距为 l,导轨电阻忽略不计,两端各接一个阻值为 2R 的定值电阻,形成闭合回路;质量为 m 的金属棒垂直导轨放置,并与导轨接触良好,接入导轨之间的电阻为 R;劲度系数为 k 的两个完全相同的绝缘轻质弹簧与导轨平行,一端固定,另一端均与金属棒中间位置相连,弹簧的弹性势能

正确答案
单层油膜实验,下列说法正确的是( )
正确答案
撑竹筏人水平拿着一根竹竿站在只有一根竹子的单竹筏上,人和单竹筏在水里减速滑行,并相对静止,则( )
正确答案
如图,带等量正电荷 q 的 M、N 两种粒子,以几乎为 0 的初速度从 S 飘入电势差为 U 的加速电场,经加速后从 O 点沿水平方向进入速度选择器(简称选择器)。选择器中有竖直向上的匀强电场和垂直纸面向外的匀强磁场。当选择器的电场强度大小为 E,磁感应强度大小为


正确答案
欧姆表相关知识点
某小组将电流表改装成欧姆表,所用器材有电源(电动势




(1)欧姆调零时,应先将A、B______,再调节滑动变阻器,使电流表示数为______

(2)调零后,在A、B间接入电阻



正确答案
(1)短接 100μA 14.4KΩ
(2)10KΩ
在用如图甲的装置做“探究加速度与力、质量的关系”实验中:
(1)探究小车加速度与小车所受拉力的关系时,需保持小车(含加速度传感器,下同)质量不变,这种实验方法是______。
(2)实验时,调节定滑轮高度,使连接小车的细绳与轨道平面保持______。
(3)由该装置分别探究M、M两车加速度a和所受拉力F的关系,获得
(4) 悬挂重物让M、N两车从静止释放经过相同位移的时间比为n,两车均未到达轨道末端,则两车加速度之比
正确答案
(1)控制变量法 (2)平行 (3)A需要 (4)
某乐器发出频率为两倍关系的两个纯音(简谐声波),其波形叠加后呈现一种周期性变化。图甲和图乙分别为同一时刻两列简谐声波单独沿x正方向传播的波形图,图中的坐标原点位于同一质点处,声速为
(1)从图中读出这两列波的波长。
(2)该时刻这两列波叠加,分别求

(3)求两个波叠加的周期。
正确答案
(1)
(2)
(3)
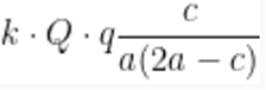
在真空中,一个电荷量为-q、质量为m的试探电荷绕电荷量为+Q的点电荷做椭圆轨道运动,如图甲,O'为椭圆中心,O'A为长半轴,长度为a,O'B为短半轴,点电荷处于椭圆的焦点F处,焦距为c。图乙是

(1)在椭圆轨道半短轴顶点B的电势
(2)求该试探电荷从 A 点运动到 B 点电场力所做的功。
(3)用推理论证带点粒子动能与电势能之和是否守恒.若守恒,求其动能与电势能之和;若不守恒,说明理由.
正确答案
(1)
(2)
(3)仅有电场力做功,动能与电势能之和守恒.
图甲为某智能分装系统工作原理示意图,每个散货经倾斜传送带由底端 A 运动到顶端 B 后抛出,撞击冲量式传感器使其输出一个脉冲信号,随后竖直掉入已与水平传送带共速的货箱中,此系统利用传感器探测散货的质量,自动调节水平传送带的速度,实现按规格分装。倾斜传送带与水平地面夹角为



(1)单个散货的质量。
(2)水平传送带的平均传送速度大小。
(3)倾斜传送带的平均输出功率。
正确答案
(1)
(2)
(3)





































