- 真题试卷
- 模拟试卷
- 预测试卷
已知某物质的核反应方程:
A.该物质是
B.该反应是核聚变
C.1g该物质经过110min变为0.5g
D.
正确答案
C
两个卫星a、b,如图所示,绕质量为M的中心天体运动,下列说法正确的是( )
正确答案
A
使气体的热力学温度变为原来的两倍,力F使体积减小,下列说法正确的是( )
正确答案
B
环形电流产生了磁场,在A点的磁感应强度大小为B,环境中还有一个匀强磁场,使左侧A点磁感应强度为0,则右侧距离中心O等距的C点磁场磁感应强度大小为( )
正确答案
A
如图(a)所示,相距L的两足够长平行金属导轨放在同一水平面内,两长度均为L、电阻均为R的金属棒ab、cd垂直跨放在两导轨上,金属棒与导轨接触良好,导轨电阻忽略不计。导轨间存在与导轨平面垂直的匀强磁场,其磁感应强度大小B随时间变化的图像如图(b)所示,t=T时刻,B = 0。t=0时刻,两棒相距

正确答案
B
在同一竖直面内距地面高度为L、



正确答案
C
AB、CD为完全相同的两扇平移门,长度均为

正确答案
B
在如图所示的输电线路中,交流发电机的输出电压一定,两变压器均为理想变压器,左侧升压变压器的原、副线圈匝数分别为

正确答案
AC
A、B质量均为m,用轻绳将A悬挂于O点,弹簧劲度系数为k,用力将B向下拉伸,使弹簧伸长量为L,以下说法中正确的是( )
正确答案
AD
如图所示,在xOy平面内有一以O点为中心的正五边形,顶点到O点的距离为R。在正五边形的顶点上顺时针方向依次固定电荷量为q、2q、3q、4q、5q的正点电荷,且电荷量为3q的电荷在y轴正半轴上,静电力常量为k,则O点处的电场强度( )
正确答案
AD
某实验小组为测量一节干电池的电动势E和内阻r,设计了如图(a)所示电路,所用器材如下:干电池、智能手机、电流传感器、定值电阻
(1)
(2)


(3)当

(4)电流传感器有内阻时,实验测量的电源内阻 (填“有”或“无”)影响。
正确答案
某同学利用如图(a)所示的实验装置来测量重力加速度大小g。细绳跨过固定在铁架台上不可转动的小圆柱体,两端各悬挂一个重锤。实验步骤如下:
①用游标卡尺测量遮光片的宽度d。
②将遮光片固定在重锤1上,用天平测量重锤1和遮光片的总质量m、重锤2的质量M(M>m)。
③将光电门安装在铁架台上,将重锤1压在桌面上,保持系统静止,重锤2离地足够高。用刻度尺测量出遮光片中心到光电门的竖直距离H。
④启动光电门,释放重锤1,用数字毫秒计测出遮光片经过光电门所用时间t。
⑤根据上述数据求出重力加速度大小g。
⑥多次改变光电门高度,重复步骤③④⑤,求出g的平均值。
回答下列问题:
(1)测量d时,游标卡尺的示数如图(b)所示,可知d= cm。
(2)重锤1通过光电门时的速度大小为v=___(用d、t表示)。若不计摩擦,g与m、M、d、t、H的关系式为g=____。
(3)实验发现,当M和m之比接近于1时,g的测量值明显小于真实值。主要原因是圆柱体表面不光滑,导致跨过圆柱体的绳两端拉力不相等。理论分析表明,圆柱体与绳之间的动摩擦因数很小时,跨过圆柱体的绳两端拉力差

保持






正确答案
(1)0.515
(2)
(3)9.81
如图所示,三角形ABC是三棱镜的横截面,



(1)当
(2)若光线从BC边折射后直接到达AC边,并在AC边刚好发生全反射,求此时的
正确答案
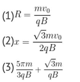
(粒子在磁场中的运动)已知MN、PQ相互平行,且A到MN的距离
(1)粒子在左侧磁场中的半径R;
(2)粒子在右侧进出磁场的距离x;
(3)粒子的运动周期T。
正确答案
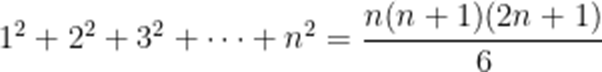
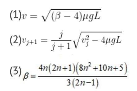
如图,一块足够长的木板放置于水平地面上,木板上有3n个木块(n为大于1的整数),每块滑块重为m,木板重nm,且每个滑块之间距离为L,其中木板与地面之间动摩擦因数为



(1)滑块1与滑块2碰撞前的速度;
(2)第j个滑块开始运动时速度为



(3)若木板开始滑动时,木板滑块间恰好静止,求
(参考公式:























