- 真题试卷
- 模拟试卷
- 预测试卷
将阻值为
正确答案
解析
该题主要考查了光的折射定律、全反射现象以及折射率等知识点
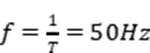
选项A.由上图可知交流电的周期为0.02s,则频率为 
选项B.由上图可得,电压的峰值为 

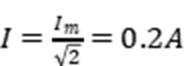
选项C.电流的有效值为 

选项D.由图像可知
故D正确。
我国正在建设的大科学装置——“强流重离子加速器”。其科学目标之一是探寻神秘的“119号”元素,科学家尝试使用核反应
正确答案
解析
本题主要考查了原子核的反应以及质量数守恒等知识点
根据核反应方程
根据电荷数守恒可得Y的质子数为

根据质量数守恒可得,则有
一列简谐横波沿x轴正方向传播。波速为



正确答案
解析
本题主要考查了波的传播规律以及对波形图的理解。
已知波速为lm/s ,从t=0到t= 1s,波传播距离为

当t=1s时,x=1.5m处的质点从波谷处运动半个周期到达波峰处,相对平衡位置移动0.1m,B选项正确
电磁俘能器可在汽车发动机振动时利用电磁感应发电实现能量回收,结构如图甲所示。两对永磁铁可随发动机一起上下振动,每对永磁铁间有水平方向的匀强磁场,磁感应强度大小均为B.磁场中,边长为L的正方形线圈竖直固定在减震装置上。某时刻磁场分布与线圈位置如图乙所示,永磁铁振动时磁场分界线不会离开线圈。关于图乙中的线圈。下列说法正确的是( )
正确答案
解析
该题主要考查了磁通量的计算、感应电动势大小与什么因素有关以及感应电流的方向判断等。
A.依据图表乙中的信息,可推断出此段时间内通过线圈的磁通量已达零值,故A选项的判断是错误的;
BC.当永久磁铁相对于线圈以越来越快的速度上升时,其磁通量的变化速率也将相应地加快,根据法拉第电磁感应定律,线圈内部所产生的感应电动势将会随之增加。然而,随着上升高度的不断提高,最终可能会导致线圈脱离磁场范围,使得感应电动势能转化为零。因此,B和C两个选项的判断都是不准确的;
D. 在永久磁铁相对于线圈下降的过程中,穿过线圈的磁通量将会逐渐增大。根据楞次定律,感应电流的磁场将会对磁通量的增大起到阻碍作用,且感应电流的磁场方向应朝下。再利用右手螺旋定则进行分析,可以得出线圈中感应电流的流向应当为顺时针方向,这也是D选项的判断是正确的。
综上所述,本题答案应选择D。
如图所示,在细绳的拉动下,半径为r的卷轴可绕其固定的中心点O在水平面内转动。卷轴上沿半径方向固定着长度为l的细管,管底在O点。细管内有一根原长为
正确答案
解析
这道题主要考查了向心力的相关知识
设插销做匀速圆周运动的半径为R,对插销进行受力分析,插
销受到弹簧的弹力和向心力。
弹簧的伸长量为



当卷轴转动不停止时,弹力提供向心力,即
联立求得
故本题答案为:A。
如图所示,红绿两束单色光,同时从空气中沿同一路径以

正确答案
解析
该题主要考查了光的折射定律、全反射等知识点
题干:给出了红绿两束光同时从空气中沿同一路径以一定角度射入长方体透明均匀介质,且提到折射光束在 NP 面发生全反射,以及红光折射率小于绿光折射率等信息。
A.因为介质中红光折射率小于绿光折射率,根据折射定律,红光偏折程度小,所以在 PQ 面上,红光比绿光更远离 P 点,A 错误。
B.根据全反射现象发生的必要条件

C.光从空气射入介质,不会在 MN 面发生全反射,C 错误。
D.
故答案选 B
如图所示,轻质弹簧竖直放置,下端固定。木块从弹簧正上方H高度处由静止释放。以木块释放点为原点,取竖直向下为正方向。木块的位移为y。所受合外力为F,运动时间为t。忽略空气阻力,弹簧在弹性限度内。关于木块从释放到第一次回到原点的过程中。其

正确答案
解析
道题主要考查了重力系数、相互作用力规律、胡克定律以及对运动过程的分析等知识点,逐一分析各个选项:
对木块进行分析,从释放到第一次回到原点的过程中,木块先做自由落体运动,加速度为重力加速度 g,合力为重力,方向竖直向下,当木块接触弹簧后,受到重力和弹簧弹力,随着木块向下运动,弹簧弹力逐渐增大,合力逐渐减小,当重力等于弹簧弹力时,合力为 0,此时木块速度最大,继续向下运动,弹簧弹力大于重力,合力方向竖直向上且逐渐增大,直到木块速度减为 0,然后向上运动,合力仍然向上且逐渐减小,当木块离开弹簧时,合力又变为重力。
选项A,F-y 图像应该是先为重力值不变,然后合力逐渐减小到 0 再增大,方向改变,A 选项错误。
选项B,与上述分析相符,B 选项正确。
选项C,y-t 图像,木块先做自由落体运动,位移随时间变化不是直线,C 选项错误。
选项D,同理 C 选项,D 选项错误。
故本题答案为:B。
污水中的污泥絮体经处理后带负电,可利用电泳技术对其进行沉淀去污,基本原理如图所示。涂有绝缘层的金属圆盘和金属棒分别接电源正、负极、金属圆盘置于底部、金属棒插入污水中,形成如图所示的电场分布,其中实线为电场线,虚线为等势面。M点和N点在同一电场线上,M点和P点在同一等势面上。下列说法正确的有( )
正确答案
解析
该题主要考查了电场的相关知识点
根据沿着电场线方向电势降低,可知M点的电势比N点的低,污泥絮体带负电,根据
等势面的疏密程度表示电场强度的大小,P 点处等势面比 N 点处密集,所以 P 点的电场强度比 N 点的大,B 选项错误
选项D.带负电的污泥絮体向金属圆盘运动,说明受到指向圆盘的电场力,所以金属圆盘带负电,D 选项错误。故选AC。
如图所示,探测器及其保护背罩通过弹性轻绳连接降落伞。在接近某行星表面时以



正确答案
解析
牛顿第二定律:用于分析“背罩分离”瞬间背罩的加速度。
匀速运动时的受力平衡:判断探测器和背罩整体下落时的受力情况。
功率的计算:计算探测器所受重力做功的功率。
黄金代换公式:通过重力加速度与行星质量、半径的关系进行相关分析。
对选项 A:根据万有引力定律



对选项 B:第一宇宙速度



对选项 C:“背罩分离”后瞬间,背罩只受重力,根据牛顿第二定律可得加速度大小为重力加速度
对选项 D:“背罩分离”后瞬间,探测器速度不变,重力为1000*4=4000N,则探测器所受重力对其做功的功率为4000*60=240000W=240kW,D选项错误。
故D错误。
故本题答案为:AC。
如图所示,光滑斜坡上,可视为质点的甲、乙两个相同滑块,分别从


正确答案
解析
这道题主要考查了重力系数下物体的运动、动能定理、弹性碰撞等知识点。
逐一分析各选项:
A.两滑块在光滑斜坡上加速度相同,同时由静止开始下滑,则相对速度为0,
故A正确;
B.设甲在斜坡底端的速度为

解得 


碰撞为弹性碰撞,根据弹性碰撞规律,碰撞后交换速度,所以碰撞后瞬间甲的速度等于碰撞前瞬间乙的速度,B正确。
C.Z在水平面上做匀减速直线运动,加速度大小为




D.碰撞后甲以速度




故选ABD。
下列是《普通高中物理课程标准》中列出的三个必做实验的部分步骤,请完成实验操作和计算。
(1)图甲是“探究加速度与物体受力、物体质量的关系”实验装置示意图。图中木板右端垫高的目的是_____。图乙是实验得到纸带的一部分,每相邻两计数点间有四个点未画出。相邻计数点的间距已在图中给出。打点计时器电源频率为50Hz,则小车的加速度大小为_____
(2)在“长度的测量及其测量工具的选用”实验中,某同学用50分度的游标卡尺测量一例柱体的长度,示数如图丙所示,图丁为局部放大图,读数为_____cm。
(3)在“用双缝干涉实验测量光的波长”实验调节过程中,在光具座上安装光源、遮光筒和光屏。遮光筒不可调节。打开并调节_____。使光束沿遮光筒的轴线把光屏照亮。取下光屏,装上单缝、双缝和测量头。调节测量头,并缓慢调节单缝的角度直到目镜中观察到_____。
正确答案
(1)平衡摩擦力 2.86
(2)4.108
(3)光源 干涉条纹
解析
本题主要考查了以下知识点:“探究加速度与物体受力、物体质量的关系”实验中木板垫高的目的以及加速度的计算;游标卡尺的读数;“用双缝干涉实验测量光的波长”实验的操作步骤。例如在“探究加速度与物体受力、物体质量的关系”实验中,通过垫高木板可以平衡摩擦力,而加速度的计算则涉及到打点计时器打出的纸带等知识;游标卡尺的读数需要掌握其刻度特点和读数方法;在双缝干涉实验中,要了解各实验器材的作用和调节顺序等。
(1)①木板右端抬高的目的是平衡摩擦力
②小车的加速大小
(2)如图,游标卡尺读数为
(3)光源 干涉条纹
因为遮光筒不司调节所以只有调节光源,双缝干涉实验的目的就是观察干涉条纹
某科技小组模仿太阳能发电中的太阳光自动跟踪系统,制作光源跟踪演示装置,实现太阳能电池板方向的调整,使电池板正对光源。图甲是光照方向检测电路。所用器材有:电源E(电动势3V)电压表



(1)电路连接。
图乙中已正确连接了部分电路,请完成虚线框中滑动变阻器R、电源E、开关S和电压表(V)间的实物图连线_____。
(2)光敏电阻阻值与光照强度关系测试。
①将图甲中R的滑片置于_____端。用手电筒的光斜照射到



②闭合S,将R的滑片缓慢滑到某一位置。(V)的示数如图丙所示,读数
③断开S。
(3)光源跟踪测试。
①将手电筒的光从电池板上方斜照射到


正确答案
(1)略
(2)①. b ②. 1.60 ③. 较大
(3)①. 顺时针 ②. 转过90°
解析
本题主要考查了电路的连接、欧姆定律、光敏电阻的特性以及对实际问题的分析和理解。
在电路连接部分,需要掌握正确的连线方法;在光敏电阻阻值与光照强度关系测试中,涉及到对实验现象的观察和分析,以及根据电压值判断电阻大小;在光源跟踪测试中,需要结合实际情况,根据电压的比较来分析电动机的转动方向和最终状态,这些都需要对相关知识点有深入的理解和应用能力。
(1)电路连接如图
(2)①甲中的尺滑片置于上端(此时滑动变阻器阻值最大。)
②1.60V 较大
读数为1.60 v
光照强度较小的
(3)逆时针:
差压阀可控制气体进行单向流动,广泛应用于减震系统。如图所示,A、B两个导热良好的气缸通过差压阀连接,A内轻质活塞的上方与大气连通,B内气体体积不变。当A内气体压强减去B内气体压强大于










(1)求B内气体压强
(2)求A内气体体积
(3)在活塞上缓慢倒入铁砂,若B内气体压强回到

正确答案
(1)

解析
本题考查:
理想气体状态方程(包括查理定律、玻意耳定律等)。
热力学温度与摄氏温度的换算。
对物体的受力分析(在计算倒入铁砂质量时,对活塞进行受力分析)。
气体压强的概念和计算。
(1)读题
初始
降温
降温过程为等容变化,则
所以
(2)降温过程中A内气体为等压变化,则

(3) 最终状态稳定时


解得
汽车的安全带和安全气囊是有效保护乘客的装置。
(1)安全带能通过感应车的加速度自动锁定,其原理的简化模型如图甲所示。在水平路面上刹车的过程中,敏感球由于惯性沿底座斜面上滑直到与车达到共同的加速度a,同时顶起敏感臂,使之处于水平状态,并卡住卷轴外齿轮,锁定安全带。此时敏感臂对敏感球的压力大小为

(2)如图乙所示,在安全气囊的性能测试中,可视为质点的头锤从离气囊表面高度为H处做自由落体运动。与正下方的气囊发生碰撞。以头锤到气囊表面为计时起点,气囊对头锤竖直方向作用力F随时间t的变化规律,可近似用图丙所示的图像描述。已知头锤质量

①碰撞过程中F的冲量大小和方向;
②碰撞结束后头锤上升
正确答案
(1)
解析
该题目主要涉及到相互作用力规律、牛顿第二定律、冲量的计算等知识点。
(1)对敏感球进行受力分析,受重力mg、支持力N和斜面支持力
解得
(2)①头球做自由落体运动,根据
根据图像丙,取向下为正方向,碰撞过程中的作用时间为0.1s,平均作用力大小为6600N,则碰撞过程中F的冲量大小
方向竖直向上;
②头锤下落过程中,根据动能定理可得MgH=
碰撞后由动量定理(向上为正方向)
解得
头锤上升过程,根据动能定理可得

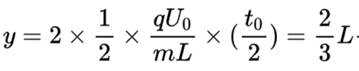
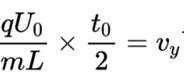
如图甲所示。两块平行正对的金属板水平放置,板间加上如图乙所示幅值为






(1)判断带电粒子的电性并求其所带的电荷量q;
(2)求金属板的板间距离D和带电粒子在
(3)求从
正确答案
(1)正电, 

解析
这道题目主要考查了以下知识点:
带电粒子在电场中的加速和偏转,涉及到动能定理、匀变速直线运动和类平抛运动的规律。
带电粒子在磁场中的运动,包括洛伦兹力提供向心力以及圆周运动的相关知识。
电场和磁场的综合应用,需要对粒子在不同场中的运动过程进行分析和计算。
对物理图像(如交变电压图像)的理解和运用。
(1)在电磁场中运动
根据牛顿第二定律
可得,
(2)粒子在金属板间水平方向上做匀速直线运动,竖直方向上先加速,后减速,
设粒子的初速度为v,根据运动特点可知带电粒子在

竖直方向
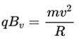
粒子在磁场中运动,洛伦兹力提供向心力,则
且
由①②③④得

(3)通过读题和计算如图
由计算可知,
根据运动的对称性,粒子会在与圆轨迹的最高点的位置进入金属板,且在经过
根据动能定理可得
解得





















































































