- 真题试卷
- 模拟试卷
- 预测试卷
高铁车厢里的水平桌面上放置一本书,书与桌面间的动摩擦因数为0.4,最大静摩擦力等于滑动摩擦力,取重力加速度
正确答案
如图所示,电路中灯泡均正常发光,阻值分别为

正确答案
如图所示,两根固定的通电长直导线a、b相互垂直,a平行于纸面,电流方向向右,b垂直于纸面,电流方向向里,则导线a所受安培力方向( )
正确答案
上海光源通过电子-光子散射使光子能量增加,光子能量增加后( )
正确答案
如图所示,半径为r的圆形区域内有垂直于纸面的匀强磁场,磁感应强度B随时间t的变化关系为

正确答案
自主学习活动中,同学们对密闭容器中的氢气性质进行讨论,下列说法中正确的是( )
正确答案
如图所示,一定质量的理想气体分别经历a→b和a→c两个过程,其中a→b为等温过程,状态b、c的体积相同,则( )
正确答案
某滑雪赛道如图所示,滑雪运动员从静止开始沿斜面下滑,经圆弧滑道起跳。将运动员视为质点,不计摩擦力及空气阻力,此过程中,运动员的动能
正确答案
如图所示,正方形ABCD四个顶点各固定一个带正电的点电荷,电荷量相等,O是正方形的中心。现将A点的电荷沿OA的延长线向无穷远处移动,则( )
正确答案
如图所示,轻质弹簧一端固定,另一端与物块A连接在一起,处于压缩状态,A由静止释放后沿斜面向上运动到最大位移时,立即将物块B轻放在A右侧,A、B由静止开始一起沿斜面向下运动,下滑过程中A、B始终不分离,当A回到初始位置时速度为零,A、B与斜面间的动摩擦因数相同、弹簧未超过弹性限度,则( )
正确答案
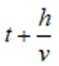
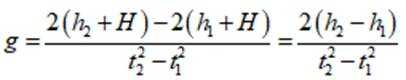
小明利用手机测量当地的重力加速度,实验场景如图1所示,他将一根木条平放在楼梯台阶边缘,小球放置在木条上,打开手机的“声学秒表”软件,用钢尺水平击打木条使其转开后,小球下落撞击地面,手机接收到钢尺的击打声开始计时,接收到小球落地的撞击声停止计时,记录下击打声与撞击声的时间间隔t,多次测量不同台阶距离地面的高度h及对应的时间间隔t。
(1)现有以下材质的小球,实验中应当选用______。A钢球 B乒乓球 C橡胶球
(2)用分度值为
(3)作出

(4)在图1中,将手机放在木条与地面间的中点附近进行测量,若将手机放在地面A点,设声速为v,考虑击打声的传播时间,则小球下落时间可表示为
(5)有同学认为,小明在实验中未考虑木条厚度,用图像法计算的重力加速度g必然有偏差。请判断该观点是否正确,简要说明理由______。
正确答案
(1)A;
(2)61.30;
(3)9.55;
(4)
可知与H无关。
如图所示,两条距离为D的平行光线,以入射角θ从空气射入平静水面,反射光线与折射光线垂直,求:
(1)水的折射率n;
(2)两条折射光线之间的距离d。
正确答案
(1)
利用云室可以知道带电粒子的性质,如图所示,云室中存在磁感应强度大小为B的匀强磁场,一个质量为m、速度为v的电中性粒子在A点分裂成带等量异号电荷的粒子a和b,a、b在磁场中的径迹是两条相切的圆弧,相同时间内的径迹长度之比

(1)粒子a、b的质量之比
(2)粒子a的动量大小
正确答案
(1)
在轨空间站中物体处于完全失重状态,对空间站的影响可忽略,空间站上操控货物的机械臂可简化为两根相连的等长轻质臂杆,每根臂杆长为L,如题图1所示,机械臂一端固定在空间站上的O点,另一端抓住质量为m的货物,在机械臂的操控下,货物先绕O点做半径为

(1)求货物做匀速圆周运动时受到合力提供的向心力大小
(2)求货物运动到B点时机械臂对其做功的瞬时功率P。
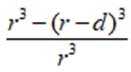
(3)在机械臂作用下,货物、空间站和地球的位置如题图2所示,它们在同一直线上,货物与空间站同步做匀速圆周运动,已知空间站轨道半径为r,货物与空间站中心的距离为d,忽略空间站对货物的引力,求货物所受的机械臂作用力与所受的地球引力之比
正确答案
(1)

某装置用电场控制带电粒子运动,工作原理如图所示,矩形ABCD区域内存在多层紧邻的匀强电场,每层的高度均为d,电场强度大小均为E,方向沿竖直方向交替变化,AB边长为




(1)当
(2)当


(3)当



正确答案
(1)
































