- 真题试卷
- 模拟试卷
- 预测试卷
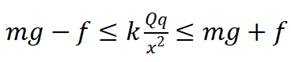
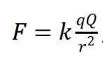
极板间一蜡烛火焰带有正离子、电子以及其他的带电粒子,两极板电压保持不变,当电极板距离减小时,电场强度如何变?电子受力方向?( )
正确答案
解析
这道题主要考查了电场强度的概念以及电场力的相关知识点。
当两极板距离减小时,根据平行板电容器的电场强度公式
对于电子,带负电,它受到的电场力方向与电场强度方向相反,而电场强度方向是从正极板指向负极板,即向左,所以电子受力方向向右,B正确。
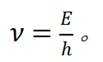
近年来,江西省科学家发明硅衬底氮化镓基系列发光二极管,开创了国际上第三条



正确答案
解析
这道题主要考查了光子能量公式以及频率与能量的关系等知识点
根据光子能量公式
已知能级差为 

正确答案为:C。
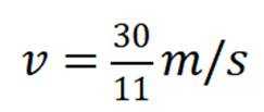
某物体位置随时间的关系为
正确答案
解析
这道题主要考查了速度的概念以及位移的计算。速度是刻画物体位置变化快慢的物理量,这是一个很重要的知识点
根据定义:速度是描述物体运动快慢的物理量,也是指物体位置变化快慢的物理量。排除BD.对于位移,已知:





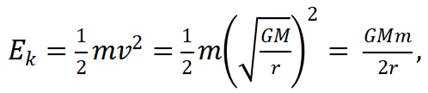
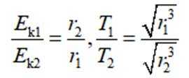
两个质量相同的卫星绕月球做匀速圆周运动,半径分别为
正确答案
解析
这道题主要考查了万有引力定律、匀速圆周运动以及动能和周期的相关知识
卫星绕月球做匀速圆周运动,万有引力提供向心力, 即 
动能 
周期
正确答案为:A
庐山瀑布“飞流直下三千尺,疑是银河落九天”瀑布高150m,水流量
正确答案
解析
这道题主要考查了重力势能、功率以及能量转化效率等知识点
水的重力势能转化为电能,水的质量


重力势能减少量等于重力做的功,重力做功 

转化为电能为
功率


如图(a)所示,利用超声波可以检测飞机机翼内部缺陷。在某次检测实验中,入射波为连续的正弦信号,探头先后探测到机翼表面和缺陷表面的反射信号,分别如图(b)、(c)所示。已知超声波在机翼材料中的波速为
正确答案
解析
这道题主要考查了波的叠加以及波速、波长和周期的关系等知识点。由图b、图c知,波的传播周期为
已知
由图b、图c知,时间差

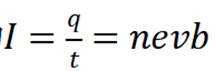
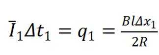
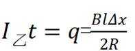
石墨烯是一种由碳原子组成的单层二维蜂窝状晶格结构新材料,具有丰富的电学性能.现设计一电路测量某二维石墨烯样品的载流子(电子)浓度。如图(a)所示,在长为a,宽为b的石墨烯表面加一垂直向里的匀强磁场,磁感应强度为B,电极1、3间通以恒定电流I,电极删除2、4间将产生电压U。当


正确答案
解析
这道题考查了以下知识点:
洛伦兹力的相关知识,包括带电粒子在磁场中受到洛伦兹力的作用,其大小和方向的判断。
电场力与洛伦兹力平衡的条件。
电流的微观表达式,通过载流子的定向移动形成电流,以及相关物理量之间的关系
电流的微观表达式为






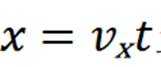
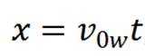
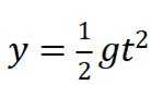
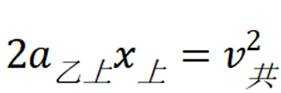
一条河流某处存在高度差,小鱼从低处向上跃出水面,冲到高处.如图所示,以小鱼跃出水面处为坐标原点,x轴沿水平方向,建立坐标系,小鱼的初速度为


正确答案
解析
本题主要用到以下知识点:
平抛运动的概念:物体以一定的初速度水平抛出,仅在重力作用下所做的运动。
平抛运动的分解:水平方向为匀速直线运动,竖直方向为自由落体运动。
匀速直线运动的位移公式: 

自由落体运动的位移公式:
自由落体运动的速度公式: 

①当小鱼在竖直方向上做竖直上抛运动时,
到达最高点时竖直方向的速度为0,图像开口向下,所以B错误,D正确。
②当小鱼在运动过程中只受重力作用时,小鱼在水平方向上做匀速直线运动,即 

某同学用普通光源进行双缝干涉测光的波长实验。下列说法正确的是( )
正确答案
解析
本题主要用到以下知识点:
双缝干涉实验的装置组成及元件排列顺序。
透镜在实验中的作用,即把光源发出的光变成平行光。
单缝和双缝在实验中的作用,单缝获得相干光源,双缝获得线光源。
选项A :光具座上依次摆放光源、滤光片、单缝、双缝、遮光筒、测量头等元件,A 选项顺序错误。
选项B :透镜的作用是将光源发出的光变成平行光,使光更集中,B 项说法正确。
选项C :单缝的作用是获得线光源,C 项说法正确。
选项D :根据双缝干涉条纹间距公式


正确答案为:BC
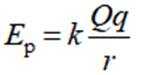
如图所示,垂直于水平桌面固定一根轻质绝缘细直杆,质量均为m带同种电荷的绝缘小球甲和乙穿过直杆,两小球均可视为点电荷,带电荷量分别为q和Q。在图示的坐标系中,小球乙静止在坐标原点,初始时刻小球甲从

正确答案
解析
本题主要用到以下知识点:
库仑定律: 
电势能的表达式: 
动能定理:合外力做功等于动能的变化量。
受力分析:分析小球甲受到的重力、库仑力、摩擦力等力的情况。
能量守恒定律:系统的机械能与电势能的总和保持不变。
选项A:设甲球运动到最低点时距离原点为x,从开始到最低点,根据能量守恒定律,重力势能的减少量等于电势能的增加量与克服摩擦力做功之和,即
移项化简可得 
选项B:当甲球所受合力为0时速率最大,此时重力等于静电力与摩擦力的合力, 即 

选项C.当小球甲最后停留时,满足 
所以位置x的区间 
选项D.若小球在最低点能返回,即在最低点满足 
可得 

所以
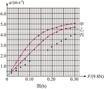
某小组探究物体加速度与其所受合外力的关系。实验装置如图(a)所示,水平轨道上安装两个光电门,小车上固定一遮光片,细线一端与小车连接,另一端跨过定滑轮挂上钩码。
(1)实验前调节轨道右端滑轮高度,使细线与轨道平行,再适当垫高轨道左端以平衡小车所受摩擦力。
(2)小车的质量为

(3)由图线甲可知,F较小时,a与F成正比;F较大时,a与F不成正比。为了进一步探究,将小车


(4)与图线甲相比,图线乙的线性区间____________,非线性区间____________。再将小车的质量增加至

(5)请在图(b)中补充描出第6至8三个数据点,并补充完成图线丙_________。
(6)根据以上实验结果猜想和推断:小车的质量____________时,a与F成正比。结合所学知识对上述推断进行解释:______________________。
正确答案
①. 较大
②. 较小
③.
④. 远大于钩码质量
⑤. 略
解析
本题主要考查知识点:
牛顿第二定律:F = ma,用于分析物体所受合外力与加速度的关系。
平衡摩擦力:通过垫高轨道左端使小车在不受拉力时能沿斜面匀速下滑,以消除摩擦力对实验的影响。
光电门测速度:根据遮光片通过光电门的时间计算瞬时速度。
图像分析:通过分析a - F图像的特征,得出相关结论。
控制变量法:在实验中保持一些量不变,研究其他量之间的关系。
(4)由图(b)可知,与图线甲相比,图线乙幅度较小线性区间较大,则非线性区间较小;
(5)如上图
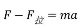
(6)设绳子拉力为
对小车由牛顿第二定律有
所以 

所以当 
所以
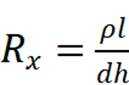
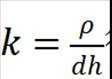
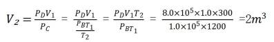
某小组欲设计一种电热水器防触电装置,其原理是:当电热管漏电时,利用自来水自身的电阻,可使漏电电流降至人体安全电流以下.为此,需先测量水的电阻率,再进行合理设计。
(1)如图(a)所示,在绝缘长方体容器左右两侧安装可移动的薄金属板电极,将自来水倒入其中,测得水的截面宽
(2)现有实验器材:电流表(量程



(3)连接好电路,测量





(4)若

(5)测出电阻率后,拟将一段塑料水管安装于热水器出水口作为防触电装置。为保证出水量不变,选用内直径为



正确答案
(2)
(4) 
(5) 0.46
解析
(2)电源电动势为3V,故电压表量程选择3V.如上图
(4)由电阻定律可得

因为电阻率越小更容易导电,由图像可知
(5)由(4)可知 
所以当用内直径为
的安全电流为


可逆斯特林热机的工作循环如图所示。一定质量的理想气体经








(1)气体在状态D的压强
(2)气体在状态B的体积
正确答案
(1)
解析
本题主要考查以下知识点:
理想气体状态方程: 
等温过程的特点:温度不变,
等容过程的特点:体积不变, 
气体实验定律,如玻意耳定律、查理定律等。
(1)DA为等容过程,根据查理定律
所以气体在状态D的压强.
(2)AB为等温过程,根据玻意耳定律.
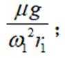
雪地转椅是一种游乐项目,其中心传动装置带动转椅在雪地上滑动。如图(a)、(b)所示,传动装置有一高度可调的水平圆盘,可绕通过中心O点的竖直轴匀速转动。圆盘边缘A处固定连接一轻绳,轻绳另一端B连接转椅(视为质点)。转椅运动稳定后,其角速度与圆盘角速度相等。转椅与雪地之间的动摩擦因数为
(1)在图(a)中,若圆盘在水平雪地上以角速度




(2)将圆盘升高,如图(b)所示。圆盘匀速转动,转椅运动稳定后在水平雪地上绕




正确答案
(1)
解析
本题主要考查以下知识点:
匀速圆周运动的相关知识,包括线速度、角速度、向心力等。
牛顿第二定律在圆周运动中的应用,分析物体的受力情况以确定向心力的来源。
摩擦力的计算与分析,尤其是动摩擦力的大小与方向。
三角函数在力的分解与合成中的应用。
几何关系在物理问题中的运用,通过图形确定角度和线段长度之间的关系。
(1)此时转椅做匀速圆周运动,设此时轻绳拉力为F,转椅质量为


所以
(2)设此时轻绳拉力为




竖直方向受力分析可得
由上解得
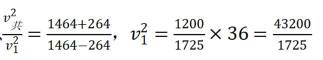
如图(a)所示,轨道左侧斜面倾斜角满足










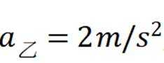
(1)甲杆刚进入磁场,乙杆的加速度?
(2)乙杆第一次滑上斜面前两杆未相碰,距离d满足的条件?
(3)若乙前两次在右侧倾斜导轨上相对于水平导轨的竖直高度y随时间t的变化如图(b)所示

正确答案
(1)

解析
本题主要考查以下知识点:
机械能守恒定律:分析导体杆甲在斜面上的运动,确定其进入磁场时的速度。
法拉第电磁感应定律:计算导体杆甲进入磁场时产生的感应电动势。
闭合电路欧姆定律:确定回路中的电流。
安培力的计算:F = BIL,分析导体杆乙所受的安培力。
牛顿第二定律:用于计算导体杆乙的加速度。
匀变速直线运动的规律:分析导体杆乙在水平导轨上的运动。
动能定理:处理导体杆在斜面上的运动。
完全非弹性碰撞的规律:分析两杆碰撞时的动量和能量变化。
(1) 当甲刚进人磁场时,平均切割磁感线有
当甲从静止运动到水平导轨时,根据动能定理有
所以
所以
根据欧姆定律,回路中的感应电流
根据楞次定律,可得乙所受安培力方向水平向右,
所以 

(2)甲和乙在磁场运动过程中,不受外力作用时,则系统动量守恒,只有当两者共速时刚好不相碰,则有
对乙由动量定理可得 
解得
则当d满足 
(3)由(2)问可知,当甲刚进入磁场稳定时,相对位移

当乙第一次在右侧斜轨上向上运动时,可得

当乙第一次在右侧斜轨上向下运动时,可得


所以
所以
所以
即当乙第一次滑下右侧轨道最低点时的速度
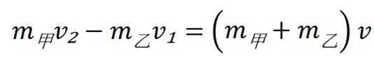
由于甲乙两棒发生碰撞,则为完全非弹性碰撞,则甲乙整体第一次在右侧倾斜轨道上向上运动时:
所以
同理可得
又因为
所以甲、乙碰撞后的速度

由动量守恒可得
所以当乙第一次滑下右侧轨道最低点时甲的速度为
当乙第一次滑下右侧轨道最低点且与甲发生碰撞时,则此时对应d的最小值,在乙第一次在右侧斜轨上运动的过程中,由动量定理可得甲:


即
所以
解得
当乙返回水平导轨后,此时两者共速时恰好碰撞,则此时对应d的最大值,在乙从返回水平导轨到与甲碰撞前瞬间的过程中,
由动量定理可得
解得
所以
解得
则d的取值范围为

















































































































