- 真题试卷
- 模拟试卷
- 预测试卷
某同学在练习投篮,篮球在空中的运动轨迹如图中虚线所示,篮球所受合力F的示意图可能正确的是( )
正确答案
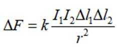
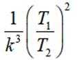
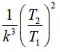
安培通过实验研究,发现了电流之间相互作用力的规律。若两段长度分别为





正确答案
如图(a),从高处M点到地面N点有Ⅰ、Ⅱ两条光滑轨道。两相同小物块甲、乙同时从M点由静止释放,沿不同轨道滑到N点,其速率v与时间t的关系如图(b)所示。由图可知,两物块在离开M点后、到达N点前的下滑过程中( )
正确答案
如图,空间中存在水平向右的匀强磁场,一导体棒绕固定的竖直轴OP在磁场中匀速转动,且始终平行于OP。导体棒两端的电势差

正确答案
“空气充电宝”是一种通过压缩空气实现储能的装置,可在用电低谷时储存能量、用电高峰时释放能量。“空气充电宝”某个工作过程中,一定质量理想气体的

正确答案
原子处于磁场中,某些能级会发生劈裂。某种原子能级劈裂前后的部分能级图如图所示,相应能级跃迁放出的光子分别设为①②③④。若用①照射某金属表面时能发生光电效应,且逸出光电子的最大初动能为
正确答案
在地球上观察,月球和太阳的角直径(直径对应的张角)近似相等,如图所示。若月球绕地球运动的周期为


正确答案
“球鼻艏”是位于远洋轮船船头水面下方的装置,当轮船以设计的标准速度航行时,球鼻艏推起的波与船首推起的波如图所示,两列波的叠加可以大幅度减小水对轮船的阻力。下列现象的物理原理与之相同的是( )
正确答案
图(a)为金属四极杆带电粒子质量分析器的局部结构示意图,图(b)为四极杆内垂直于x轴的任意截面内的等势面分布图,相邻两等势面间电势差相等,则( )
正确答案
如图,两根光滑平行金属导轨固定在绝缘水平面上,左、右两侧导轨间距分别为d和2d,处于竖直向上的磁场中,磁感应强度大小分别为2B和B。已知导体棒MN的电阻为R、长度为d,导体棒

正确答案
某同学为了验证对心碰撞过程中的动量守恒定律,设计了如下实验:用纸板搭建如图所示的滑道,使硬币可以平滑地从斜面滑到水平面上,其中
测量硬币的质量,得到一元和一角硬币的质量分别为


(1)在本实验中,甲选用的是____(填“一元”或“一角”)硬币;
(2)碰撞前,甲到O点时速度的大小可表示为_____(设硬币与纸板间的动摩擦因数为

(3)若甲、乙碰撞过程中动量守恒,则


(4)由于存在某种系统或偶然误差,计算得到碰撞前后甲动量变化量大小与乙动量变化量大小的比值不是1,写出一条产生这种误差可能的原因____。
正确答案
①一元 ② 
④1测量误差,因为无论是再精良的仪器总是会有误差的,不可能做到绝对准确;2碰撞过程中,我们认为内力远大于外力,动量守恒,实际上碰撞过程中,两个硬币组成的系统合外力不为零。
导电漆是将金属粉末添加于特定树脂原料中制作而成的能导电的喷涂油漆。现有一根用导电漆制成的截面为正方形的细长样品(固态),某同学欲测量其电阻率,设计了如图(a)所示的电路图,实验步骤如下:
a.测得样品截面的边长
b.将平行排列的四根金属探针甲、乙、丙、丁与样品接触,其中甲、乙、丁位置固定,丙可在乙、丁间左右移动;
c.将丙调节至某位置,测量丙和某探针之间的距离
d.闭合开关S,调节电阻箱R的阻值,使电流表示数
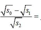
e.改变丙的位置,重复步骤c、d,测量多组L和U,作出
回答下列问题:
(1)L是丙到___________(填“甲”“乙”或“丁”)的距离;
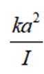
(2)写出电阻率的表达式 

(3)根据图像计算出该样品的电阻率

正确答案
①乙 ② 
某大型水陆两柄飞机具有水面滑行汲水和空中投水等功能。某次演练中,该飞机在水而上由静止开始匀加速直线滑行并汲水,速度达到





(1)飞机在水面滑行阶段的加速度

(2)整个攀升阶段,飞机汲取的水的机械能增加量
正确答案
(1)
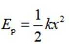
如图,水平放置的两平行金属板间存在匀强电场,板长是板间距离的





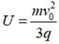
(1)求金属板间电势差
(2)求粒子射出磁场时与射入磁场时运动方向间的夹角
(3)仅改变圆形磁场区域的位置,使粒子仍从图中
正确答案
(1)

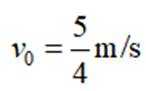
如图,质量








(1)求木板刚接触弹簧时速度

(2)求木板与弹簧接触以后,物块与木板之间即将相对滑动时弹簧的压缩量

(3)已知木板向右运动的速度从




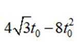
正确答案
(1)1m/s ;0.125m (2)0.25m;












































