- 真题试卷
- 模拟试卷
- 预测试卷
电梯上升过程中,某同学用智能手机记录了电梯速度随时间变化的关系,如图所示。电梯加速上升的时段是( )
正确答案
如图所示,匀强磁场的磁感应强度为B.L形导线通以恒定电流I,放置在磁场中.已知ab边长为2l,与磁场方向垂直,bc边长为l,与磁场方向平行.该导线受到的安培力为( )
正确答案
如图所示.密闭容器内一定质量的理想气体由状态A变化到状态B.该过程中( )
正确答案
设想将来发射一颗人造卫星,能在月球绕地球运动的轨道上稳定运行,该轨道可视为圆轨道.该卫星与月球相比,一定相等的是( )
正确答案
地球表面附近空气的折射率随高度降低而增大,太阳光斜射向地面的过程中会发生弯曲。下列光路图中能描述该现象的是( )
正确答案
用某种单色光进行双缝干涉实验,在屏上观察到的干涉条纹如图甲所示,改变双缝间的距离后,干涉条纹如图乙所示,图中虚线是亮纹中心的位置。则双缝间的距离变为原来的( )
正确答案
如图所示,“嫦娥五号”探测器静止在月球平坦表面处。已知探测器质量为m,四条腿与竖直方向的夹角均为θ,月球表面的重力加速度为地球表面重力加速度g的
正确答案
如图所示,圆形区域内有垂直纸面向里的匀强磁场,OC导体棒的O端位于圆心,棒的中点A位于磁场区域的边缘。现使导体棒绕O点在纸面内逆时针转动。O、A、C点电势分别为φ0、φA、φC,则( )
正确答案
在“探究气体等温变化的规律”的实验中,实验装置如图所示。利用注射器选取一段空气柱为研究对象。下列改变空气柱体积的操作正确的是( )
正确答案
达·芬奇的手稿中描述了这样一个实验:一个罐子在空中沿水平直线向右做匀加速运动,沿途连续漏出沙子。若不计空气阻力,则下列图中能反映空中沙子排列的几何图形是( )
正确答案
滑块以一定的初速度沿粗糙斜面从底端上滑,到达最高点B后返回到底端。利用频闪仪分别对上滑和下滑过程进行拍摄,频闪照片示意图如图所示。与图乙中相比,图甲中滑块( )
正确答案
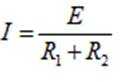
小明通过实验探究电压表内阻对测量结果的影响.所用器材有:干电池(电动势约1.5V,内阻不计)2节;两量程电压表(量程0~3V,内阻约3kΩ;量程0~15V,内阻约15kΩ)1个;滑动变阻器(最大阻值50Ω)1个;定值电阻(阻值50Ω)21个;开关1个及导线若干.实验电路如题1图所示.
(1)电压表量程应选用________(选填“3V”或“15V”).
(2)题2图为该实验的实物电路(右侧未拍全).先将滑动变阻器的滑片置于如图所示的位置,然后用导线将电池盒上接线柱A与滑动变阻器的接线柱________(选填“B”“C”“D”)连接,再闭合开关,开始实验.
(3)将滑动变阻器滑片移动到合适位置后保持不变,依次测量电路中O与1,2,…,21之间的电压.某次测量时,电压表指针位置如题3图所示,其示数为________V.根据测量数据作出电压U与被测电阻值R的关系图线,如题4图中实线所示.
(4)在题1图所示的电路中,若电源电动势为E,电压表视为理想电压表,滑动变阻器接入的阻值为




(5)分析可知,当R较小时,U的实测值与理论值相差较小,是因为电压表的分流小,电压表内阻对测量结果影响较小.小明认为,当R较大时,U的实测值与理论值相差较小,也是因为相同的原因.你是否同意他的观点?请简要说明理由______.
正确答案
(1)3V (2)D (3)1.50 (4)
解析
(1)所用电源为两节干电池,电动势为3V,则所用电表量程为3V
(2)闭合电键之前,滑动变阻器阻值应该调到最大,则由图可知,电池盒上的接线柱A应该与滑动变阻器的接线柱D连接
(3)电压表最小刻度为0.1V,则读数为1.50V
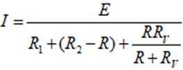
(4)由闭合电路欧姆定律可得
当被测电阻阻值为R时电压表读数
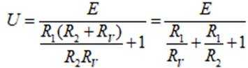
(5)当R较大时,则电压表内阻不能忽略,则电路中的电流
则电压表读数为
当R较大时,
因RV>>R1,则电压表读数接近于
“转碟”是传统的杂技项目,如图所示,质量为m的发光物体放在半径为r的碟子边缘,杂技演员用杆顶住碟子中心,使发光物体随碟子一起在水平面内绕A点做匀速圆周运动。当角速度为

正确答案

解析
发光体的速度
发光体做匀速圆周运动,则静摩擦力充当做圆周运动的向心力,则静摩擦力大小为
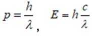
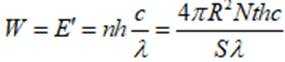
“夸父一号”太阳探测卫星可以观测太阳辐射的硬X射线。硬X射线是波长很短的光子,设波长为
(1)每个光子的动量p和能量E;
(2)太阳辐射硬X射线的总功率P。
正确答案
(1)
解析
(1)由题意可知每个光子的动量为
每个光子的能量为
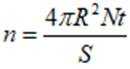
(2)太阳均匀地向各个方向辐射硬X射线,根据题意设t秒发射总光子数为n,则
可得
所以t秒辐射光子的总能量
太阳辐射硬X射线的总功率
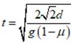
如图所示,滑雪道AB由坡道和水平道组成,且平滑连接,坡道倾角均为45°。平台BC与缓冲坡CD相连。若滑雪者从P点由静止开始下滑,恰好到达B点。滑雪者现从A点由静止开始下滑,从B点飞出。已知A、P间的距离为d,滑雪者与滑道间的动摩擦因数均为
(1)求滑雪者运动到P点
(2)求滑雪者从B点飞出的速度大小v;
(3)若滑雪者能着陆在缓冲坡CD上,求平台BC的最大长度L。
正确答案
(1)

解析
(1)滑雪者从A到P根据动能定理有
根据动量定理有
联立解得
(2)由于滑雪者从P点由静止开始下滑,恰好到达B点,故从P点到B点合力做功为0,所以当从A点下滑时,到达B点有
(3)当滑雪者刚好落在C点时,平台BC的长度最大;滑雪者从B点飞出做斜抛运动,竖直方向上有
水平方向上有
联立可得
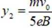
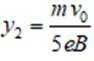
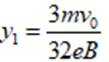
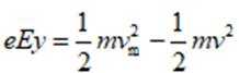
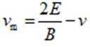
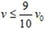
霍尔推进器某局部区域可抽象成如图所示的模型。Oxy平面内存在竖直向下的匀强电场和垂直坐标平面向里的匀强磁场,磁感应强度为B。质量为m、电荷量为e的电子从O点沿x轴正方向水平入射。入射速度为v0时,电子沿x轴做直线运动;入射速度小于v0时,电子的运动轨迹如图中的虚线所示,且在最高点与在最低点所受的合力大小相等。不计重力及电子间相互作用。
(1)求电场强度的大小E;
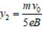
(2)若电子入射速度为


(3)若电子入射速度在

正确答案
(1)v0B ;(2)
解析
由题知,入射速度为v0时,电子沿x轴做直线运动则有
解得
(2)电子在竖直向下的匀强电场和垂直坐标平面向里的匀强磁场的复合场中,由于洛伦兹力不做功,且由于电子入射速度为
解得
(3)若电子以v入射时,设电子能达到的最高点位置的纵坐标为y,则根据动能定理有
由于电子在最高点与在最低点所受的合力大小相等,则在最高点有
在最低点有
联立有
要让电子达纵坐标

则若电子入射速度在



































































