试卷目录
1、单选题
1
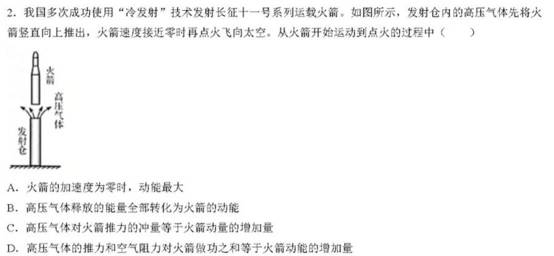
2
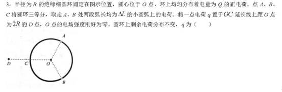
3
4
5
6
7
8
2、多选题
9
10
11
12
3、填空题
13
14
15
16
17
18
- 真题试卷
- 模拟试卷
- 预测试卷
单选题
本大题共8小题,每小题3分,共24分。在每小题给出的4个选项中,有且只有一项是符合题目要求。
1
题型:
单选题
|
分值: 3分
正确答案
B
1
题型:
单选题
|
分值: 3分
正确答案
A
1
题型:
单选题
|
分值: 3分
正确答案
C
1
题型:
单选题
|
分值: 3分
正确答案
D
1
题型:
单选题
|
分值: 3分
正确答案
C
1
题型:
单选题
|
分值: 3分
正确答案
C
1
题型:
单选题
|
分值: 3分
正确答案
A
1
题型:
单选题
|
分值: 3分
正确答案
B
多选题
本大题共4小题,每小题4分,共16分。在每小题给出的4个选项中,有多项符合题目要求,全对得4分,选对但不全得2分,有选错的得0分。
1
题型:
多选题
|
分值: 4分
正确答案
A,C
1
题型:
多选题
|
分值: 4分
正确答案
A,C,D
1
题型:
多选题
|
分值: 4分
正确答案
B,D
1
题型:
多选题
|
分值: 4分
正确答案
B,C
填空题
本大题共6小题,每小题6分,共36分。把答案填写在题中横线上。
1
题型:填空题
|
分值: 6分
正确答案
1
题型:填空题
|
分值: 8分
正确答案
1
题型:填空题
|
分值: 7分
正确答案
1
题型:填空题
|
分值: 9分
正确答案
1
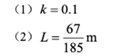
题型:填空题
|
分值: 14分
正确答案
1
题型:填空题
|
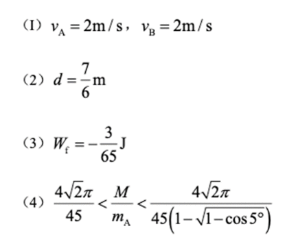
分值: 16分



























