试卷目录
1、单选题
1
2
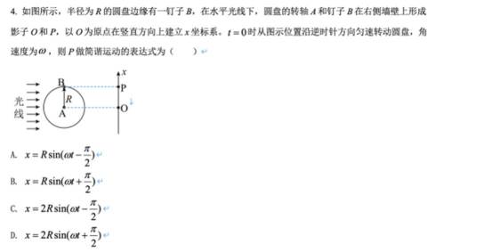
3
4
5
6
7
8
9
10
2、填空题
11
12
13
14
15
- 真题试卷
- 模拟试卷
- 预测试卷
单选题
本大题共10小题,每小题4分,共40分。在每小题给出的4个选项中,有且只有一项是符合题目要求。
1
题型:
单选题
|
分值: 4分
正确答案
A
1
题型:
单选题
|
分值: 4分
正确答案
D
1
题型:
单选题
|
分值: 4分
正确答案
B
1
题型:
单选题
|
分值: 4分
正确答案
B
1
题型:
单选题
|
分值: 4分
正确答案
A
1
题型:
单选题
|
分值: 4分
正确答案
C
1
题型:
单选题
|
分值: 4分
正确答案
A
1
题型:
单选题
|
分值: 4分
正确答案
C
1
题型:
单选题
|
分值: 4分
正确答案
D
1
题型:
单选题
|
分值: 4分
正确答案
A
填空题
本大题共5小题,每小题12分,共60分。把答案填写在题中横线上。
1
题型:填空题
|
分值: 12分
正确答案
1
题型:填空题
|
分值: 12分
正确答案
1
题型:填空题
|
分值: 12分
正确答案
1
题型:填空题
|
分值: 12分
正确答案
1
题型:填空题
|
分值: 12分




















