- 真题试卷
- 模拟试卷
- 预测试卷
20.如图所示,可视为质点的质量为m且所带电量为q的小球,用一绝缘轻质细绳悬

正确答案
解析
因为在小球在运动过程中电场力做了功,所以机械能不守恒,故A错误,B正确;
小球在运动过程中电场力







考查方向
解题思路
1、根据机械能守恒定律的条件判定是否守恒。
2、找出电场力和重力的合力的大小方向,将电场和重力场等效,在等效场的最高点速度最小,根据动能定理求出最小速度。
易错点
本题的易错点就是以为在竖直最高点速度最小。
知识点
21.如图所示的正方形线框abcd边长为L,每边电阻均为r,在垂直于纸面向里,磁感应强度为B的匀强磁场中绕cd轴以角速度ω匀速转动,c、d两点与一阻值为r的电阻相连,各表均可视为理想表,导线电阻不计,则下列说法中正确的是( ).
正确答案
解析
因为线框在垂直于纸面向里,磁感应强度为B的匀强磁场中绕cd轴以角速度ω匀速转动,所以交生的是交变电流,A正确;当S断开时,电压表的示数为cd两点间的电压,cd两点间的电压为



考查方向
解题思路
1、根据交变电流的产生规律知感应电动势瞬时值
2、当S断开时,电压表的示数为cd两点间的电压,当S闭合时,r与cd并联,根据闭合电路欧姆定律求出电流。
易错点
无
知识点
18.在如图所示电路中,闭合电键S,理想电流表和理想电压表的示数分别用I和U表示,当滑动变阻器的滑动触头P向左滑动时,两表的示数都发生变化。电源的电动势和内电阻始终不变,则下列说法正确的是( )
正确答案
解析
滑动变阻器向左滑动时电阻变大,根据闭合电路的欧姆定律可得,干路电流I变小,所以电流示数变小,电阻R1和内阻r上电压也变小,总电动势不变,所以R2电压变大,表压示数的变大,所以A项错误;



考查方向
解题思路
1、滑动变阻器向左滑动时电阻变大,根据闭合电路的欧姆定律可得,干路电流变小,判定电流表示数变化和电阻R1和内阻r上电压的变化,再判定电压表示数的变化。
2、根据电功率分式计算.R1的功率和电源的总功率。
易错点
1、电压表的示数变化应从电阻R1和内阻的电压变化判定。
2、
知识点
19.如图所示,光滑水平面上放置着四个相同的木块,其中木块B与C之间用一轻弹簧相连,轻弹簧始终在弹性限度内。现用水平拉力F拉B木块,使四个木块以相同的加速度一起加速运动,则以下说法正确的是( )
正确答案
解析
选整体为研究对象,根据牛顿第二定律


考查方向
解题思路
1、先整体法可得四个物块具有向右的加速度,再隔离法确定AD的受力
2、当F撤去瞬间,对A、D木块进行隔离受力分析。
易错点
1、研究对象选取的易出错。
2、撤去力的瞬间弹簧弹力不能突变
知识点
23. 某实验小组正在测定一节新型电池的电动势(约为3V)和内阻,现要选取一个定值电阻R0当做保护电阻。
(1)首先为了准确测量定值电阻R0阻值,在操作台上准备了如下实验器材:
A、电压表V(量程3V,电阻约为4kΩ)
B、电流表A1(量程1A,内阻约0.5Ω)
C、电流表A2(量程3A,内阻约0.5Ω)
D、定值电阻R0(阻值约为3Ω)
E、滑动变阻器R(0-10Ω)
F、开关s一个,导线若干
根据上述器材,在测量R0阻值时应选择________(填序号)为电流表,其实验电路图应选择以下哪种接法________(填字母),经测量定值电阻R0阻值为2.8Ω。
(2)之后为了测量该新型电池的电动势和内阻,设计了如下实验,在下图中将所选 器材进行连接。
(3)根据实验记录做出U-I图线如图所示,从中可以求出待测新型电池的内阻为
________Ω,电池电动势为________V(保留两位有效数字)。
正确答案
(1)B ;a
(2)
(3)0.95 ;2.9
解析
(1)电源的电动势约为3V,定值电阻R0阻值约为3Ω,所以电路中电流约为1A,所以电流表选1A量程的,选B;因为
(2)电路图如图所示。
(3)由图象的斜率表示电源的内阻和保护电阻R0之和,根据两点坐标(0.1A,2.5V)和(0.5A,1V)
考查方向
伏安法测电阻实验和测电源电动势和内阻的实验
解题思路
根据两点法求斜率,得到电源的内阻和保护电阻R0之和,减去保护电阻R0 后求出电源内阻,再代入闭合电路欧姆定律求出电动势E。
易错点
加上保护电阻后图象斜率表示电源的内阻和保护电阻R0之和。
知识点
如图所示为圆弧形固定光滑轨道,a点切线方向与水平方向夹角53o,b点切线方向水平。一小球以水平初速度6m/s做平抛运动刚好能沿轨道切线方向进入轨道,已知轨道半径1m,小球质量1kg。(sin53o=0.8,cos53o=0.6,g=10m/s2)
25.求小球做平抛运动的飞行时间。
26.小球到达b点时,轨道对小球压力大小。
正确答案
t=0.8s
解析
(1)进入轨道时速度方向与水平方向夹角为53o有
考查方向
本题考查的是平抛运动、竖直平面内圆周运动向心力问题
解题思路
通过分析进入轨道时速度,分解速度求出竖直方向上速度大小,根据竖直方向上的运动求出飞行时间。
易错点
本题易错点是进入轨道时速度分解时角度易出错,另一个易错点就是对b点列牛二定律方程时易丢掉重力。
正确答案
t=0.8s
解析
(2)初始位置距a点高度h
h=
初始位置距b点高度H
H=h-(R+
从初始位置到b列
动能定理mgH=

对b点列牛二定律N+mg=m
考查方向
解题思路
根据平抛运动求出抛出点的高度,再根据动能定理求出b点的速度,对b点列牛二定律方程求出压力。
易错点
本题易错点是进入轨道时速度分解时角度易出错,另一个易错点就是对b点列牛二定律方程时易丢掉重力。
质量为m带电量为-q的带电粒子0时刻由a点以初速度v0垂直进入磁场,Ⅰ区域磁场磁感应强度大小不变方向周期性变化如图所示(垂直纸面向里为正方向);Ⅱ区域为匀强电场,方向向上;Ⅲ区域为匀强磁场磁感应强度大小与Ⅰ区域相同均为B0。粒子在Ⅰ区域内一定能完成半圆运动且每次经过mn的时刻均为T0/2整数倍,则
27.粒子在Ⅰ区域运动的轨道半径为多少?
28.若初始位置与第四次经过mn时的位置距离为x,求粒子进入Ⅲ区域时速度的可能值 (初始位置记为第一次经过mn)。
29.在满足(2)的条件下,求电场强度E的大小可能值。
正确答案
(1)r=
解析
(1)qv0B0=m


考查方向
解题思路
(1)根据洛伦兹力提供向心力可以求出粒子在Ⅰ区域运动的轨道半径
易错点
本题中易错点是带电粒子带负电,洛伦兹力的方向易出错,导致运动轨迹出错,另处一个易错点就是两种情况不易找全。
正确答案
(2)v2=

解析
(2)R=




考查方向
解题思路
(2)因为电场区域的宽度没有给出,所以粒子从Ⅰ区域经过Ⅱ区域Ⅲ区域再次回到Ⅰ区域时Ⅰ区域磁场方向不确定,可能和原来同向也可能和原磁场反向,两种情况分别确定半径,然后确定速度。
易错点
本题中易错点是带电粒子带负电,洛伦兹力的方向易出错,导致运动轨迹出错,另处一个易错点就是两种情况不易找全。
正确答案
(3)E=

解析
(3)第一种情况:3区域速度大小:v2=




2t=(n+1)T0E=
考查方向
解题思路
(3)根据牛顿第二定律和运动学公式分别确定两种情况时的电场强度E。
易错点
本题中易错点是带电粒子带负电,洛伦兹力的方向易出错,导致运动轨迹出错,另处一个易错点就是两种情况不易找全。
物理一选修3-3
30.下列关于分子运动和热现象的说法正确的是( )
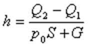
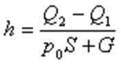
31.如图所示,圆柱形容器内用活塞封闭一定质量的理想气体,已知容器横截面积为S,活塞重为G,大气压强为p0。若活塞固定,封闭气体温度升高1℃,需吸收的热量为Q1;若活塞不固定,仍使封闭气体温度升高1℃,需吸收的热量为 Q2。不计一切摩擦,在活塞可自由移动时,封闭气体温度 升高1℃,活塞上升的高度h应为多少?
正确答案
解析
因为气体分子分子与分间间距很大,之间作用力几乎为0,所以气体如果失去了容器的约束就会散开,并不是因为有分子势能,所以A错;一定量100℃的水变成100℃的水蒸汽,分子间距变大了,克服分子力做功所以其分子之间的势能增加,所以B项正确;对于一定量的气体,如果压强不变,体积增大,温度一定升高,内能增加,体积增大,一定对外做功了,根据热力学第一定律,一定是一定从外界吸热;如果气体分子总数不变,而气体温度升高,气体分子的平均动能增大,因为不知道体积如何变化所以因此压强变化不确定,所以D错误;根据内能的定义,一定量气体的内能等于其所有分子热运动动能和分子之间势能的总和,所以E正确。
考查方向
解题思路
根据内能分子势能的概念和热力学第一定律直接判定。
易错点
本题D项中体积不变的情况下才成立这是一个易错点。
正确答案
解析
活塞固定时,由热力学第一定律,气体增加的内能
活塞不固定时,外界对气体做功为W,
则Q2+W= Q2-(p0Sh+Gh)
对活塞由能量守恒定律得Gh= W内-p0Sh 所以W=-W内=-(p0Sh+Gh)
解得活塞上升的高度
考查方向
解题思路
(1)由热力学第一定律,确定气体增加的内能
(2)活塞不固定时,求出外界对气体做功为W
(3)对活塞由能量守恒定律列方程求出上升高度h
易错点
本题当活塞不固定时,外界对气体做功为W时易忘记克服大气压做功。
14.物理学家通过艰辛的实验和理论研究探索自然规律,为人类的科学做出了巨大贡 献。下列描述中符合物理学史实的是( )
正确答案
解析
A项中是安培根据通电螺线管的磁场和条形磁铁的磁场的相似性,提出了分子电流假说,所以A错误;
B项中开普勒发现了行星运动三定律,但没有提出了万有引力定律,万有引力定律是牛顿提出的,所以B项错误;
D项中法拉第发现了电磁感应现象但没有总结出了判断感应电流方向的规律,判断感应电流方向的规律的楞次总结的,所以D项错误。
所以选C项。
考查方向
本题考查的是物理学史
解题思路
本题采用排除法作答,找出ABD选项的错误之处排除后得到正确答案为C。
易错点
C项中平均速度、瞬时速度和加速度等描述运动所需要的概念是伽利略首先建立的教材上没有明确的说明,学生易不敢选。
知识点
17.宇航员站在某一星球上,将一个小球距离星球表面h高度处由静止释放使其做自由落体运动,经过t时间后小球到达星球表面,已知该星球的半径为R,引力常量为G,则下列选项正确的是( )
正确答案
解析
小球距离星球表面h高度处由静止释放使其做自由落体运动,有
解得





考查方向
解题思路
1、根据自由落运动求出星球表面的重力加速度。
2、根据万有引力等于重力求解星球的质量和密度。
3、在星球表面运动时根据重力等于向心力,求出第一宇宙速度。
易错点
1、不能将自由落体运动求得的加速度与星球表面的重力加速度联系起来。
2、第一宇宙速度求解时易出错。
知识点
16. t=0时,A、B两小球从相距7m的两个位置相向行驶,它们的v-t图象如图所示。对小球运动状况的描述正确的是( )
正确答案
解析
在前2秒内,B球速度为负值,即沿负方向运动,在后4秒内,B球速度为正值,即沿正方向运动,所以在前6秒内,B球运动方向发生了变化,故A项错误;在第2秒末,B球速度为0,而A球速度为正值,两者之间距还要减小,所以此时AB两球不是相距最近,故B项错误;在前2秒内,B球速度在减小 ,在后4秒内,B球速度在增大,所以在前6秒内,B球不是一直做加速直线运动,故C项错误;在第6秒末,从图象面积可得A球位移为9m,B球位移为3m,开始AB两球相距7m,相向运动,所以间距为d=7m-(9m-3m)=1m,故D项正确。所以选D项。
考查方向
解题思路
本题采用逐项分析的方法,
1、A项根据v 的正负判定运动方向的变化。
2、B项根据速度相等时相距最远判定。
3、C项根据速度绝对值的大小判定速度大小变化确定是否一直加速。
4、D项中根据面积确定两者位移再根据初始相距7m求出第6秒末,AB两球相距的距离。
易错点
1、A项中v 的正负表示方向。
2、C项中根据速度绝对值的大小判定速度大小变化,不能看代数值,因为速度正负表方向不表大小,这一点易错。
知识点
15.在水平桌面上有一个质量为M且倾角为α的斜面体。一个质量为m的物块,在平行于斜面的拉力F作用下,沿斜面向下做匀速运动。斜面体始终处于静止状态。已知物块与斜面间的动摩擦因数为μ,重力加速度为g。下列结论正确的是( )

正确答案
解析
以物块m为研究对象受力分析,根据物体的平衡条件得物块受到的滑动摩擦力:f=μmgcsoα,所以AB错误;以物块m和斜面整体为研究对象受力分析,根据物体的平衡条件得桌面对斜面体的摩擦力f=Fcsoα,支持力为FN=(M+m)g+Fsinα,所以C正确,D错误。所以选C项。
考查方向
解题思路
1、以物块m为研究对象受力分析,根据物体的平衡条件正交分解列方程求出物块受到的摩擦力。
2、以物块m和斜面整体为研究对象受力分析,根据物体的平衡条件正交分解列方程求出桌面对斜面体的摩擦力和支持力。
易错点
1、研究对象的选择不恰当导致错误。
2、C项中物块沿斜面向下做匀速运动整体都是平衡状态误认为地面的摩擦力为0。
知识点

(1)每相邻两点的时间间隔是________s
(2)实验中应该先_______,后______(填字母 a、释放小车;b、接通打点计时器)
(3)打点4时对应小车速度的大小为________m/s,小车的加速度为________m/s2(结果保留2位有效数字)
正确答案
(1)0.02(2)b;a(3)0.83 ; 1.0
解析
(1)每相邻两点的时间间隔是0.02s,所以填0.02;
(2)实验中应该接通打点计时器,再释放小车,所以填b a;
(3)打点4时对应小车速度
小车的加速度
考查方向
解题思路
用平均速度求4点的瞬时速度,用逐差法求小车的加速度。
易错点
本题中用于计算的两点间时间间间隔为2个时间间隔,选取的点应选24和46段,舍去12。































