- 真题试卷
- 模拟试卷
- 预测试卷
10.兴趣小组的同学想测量一捆带绝缘漆的镍铬合金丝的长度。
①如图2所示,他们用螺旋测微器测得合金丝的直径d=__________mm。查得镍铬合金丝的电阻率为,若测出合金丝的电阻为R,则合金丝的长度可以根据公式L=_________求出(用
②他们用表盘如图3所示的多用电表测量合金丝的电阻。先将选择开关调到电阻挡的“X10”位置,将红、黑表笔分别插入“+”、“-”插扎,把两笔尖相互接触,调节________(选填“S”或“T”),使多用电表的指针指向电阻挡的_________(选填“0”或“
③正确选择挡位并重新调零后,他们将红、黑表笔分别与合金丝的两端接触,测得合金丝的电阻为15Ω 。他们还想用伏安法测量合金丝的电阻时,发现实验室提供的电表内阻约0.5Ω ,电压表内阻约3kΩ 。为减小测量误差,在实验中应采用图4中的 (选填“甲”或“乙”)电路。
④他们选择合适的电路后,分别用最大阻值是5Ω 、50Ω 、2000Ω 的三种滑动变阻器做限流电阻。当滑动变阻器的滑片由一端向另一端移动的过程中,根据实验数据,分别做出电压表读数U随滑片移动距离x的关系曲线a、b、c。如图5所示。用最大阻值为2000Ω 的滑动变阻器做实验得到的图线是图中的________(选填“a”、“b”或“c”)为减小实验误差,应选择图中的________(选填“a”、“b”或“c”)所对应的滑动变阻器。
正确答案
解析
①由图甲所示螺旋测微器可知,固定刻度示数为0mm,可动刻度所示为20.0×0.01mm=0.200mm,螺旋测微器的示数为0mm+0.200mm=0.200mm.
金属丝电阻:
②多用电表使用电阻挡时,需要将两表笔接触后进行欧姆调零,即图中T旋钮,使指针指向电阻挡的0刻度线;
将红黑表笔与电阻接触后发现指针偏转角度过大,说明在当前电阻挡位测量读数过小,需要换成更小挡位,即开关调到电阻挡的×1的位置;
③由电阻阻值及电流表电压表阻值可知,该被测电阻为小电阻,应采用电流表外接法测量,即图甲所示的电路;
④由题意可知,电压表测量的是被测电阻两端的电压U随着滑动变阻器滑片移动的距离x的变化关系,被测电阻与滑动变阻器是串联分压关系,从图中可以看出a曲线在滑片移动很小距离,就产生了很大的电压变化,说明该滑动变阻器阻值远大于被测量电阻阻值,所以a图对应2000Ω滑动变阻器;
同理分析,可知,c图线电压几乎不随着距离x变化,说明该滑动变阻器是小电阻,分压效果不明显,所以对应是5Ω的图象;
本实验采用的是伏安法测量电阻,为了减小实验误差,应该要保证被测电阻两端的电压变化范围大一些,所以选择图中b所对应的滑动变阻器.
故答案为:①0.200,
考查方向
测定金属的电阻率
解题思路
螺旋测微器固定刻度与可动刻度的示数之和是螺旋测微器的示数;根据实验所测数据,应用电阻定律可以求出金属丝的电阻丝的长度;多用电表测量电阻时,先进行机械校零,需将选择开关旋到殴姆档某一位置,再进行欧姆调零,欧姆调零后,测量电阻读出示数.欧姆表黑表笔与内置电源正极相连,电流从黑表笔流出,红表笔流入,根据待测电阻阻值与电表内阻关系确定电流表接法,然后选择实验电路.
易错点
掌握螺旋测微器的读数方法,多用电表的使用方法及注意事项,理解电流表内接法与外接法的区别,及图象中图线斜率的物理意义.
教师点评
本题考查了测定金属的电阻率,在近几年的各省高考题出现的频率较高,常与基本仪器的使用,伏安法测电阻等知识点交汇命题.
知识点
9.实验小组的同学利用弹簧秤在水平放置的方木板上做“验证共点力的合成规律”实验时,利用坐标纸记下了橡皮筋的结点位置O以及两只弹簧秤施加的拉力的大小和方向,如图1所示。图中每个正方形小格边长均代表0.5N。利用作图法可知F1与F2的合力大小为_____________N。(结果保留两位有效数字)
正确答案

解析
以表示两力的线段作为邻边作平行四边形,平行四边形的对角线是两力的合力,合力如图所示:
图中每个正方形小格边长均代表0.5N,F1与F2的合力大小:F≈3.4N;
考查方向
验证力的平行四边形定则
解题思路
以表示两力F1和F2的线段为邻边作平行四边形,通过O点的对角线表示合力F,根据图示作出两力F1和F2的合力,然后求出合力的大小.
易错点
掌握平行四边形定则,准确作出合力的图示是解题的关键,解题时要准确测出表示合力的线段的长度.
教师点评
本题考查了验证力的平行四边形定则,在近几年的各省高考题出现的频率较高,常与力的合成与分解的运用、共点力的平衡条件等知识点交汇命题.
知识点
7.如图所示,表面粗糙的水平传递带在电动机的带动下以速度v 匀速运动,在空间中边长为2L的正方形固定区域内有竖直向上的匀强磁场,磁感应强度大小为B。质量为m,电阻为R,边长为L的正方形金属线圈abcd平放在传送带上,与传送带始终无相对运动,下列说法中正确的是
正确答案
解析
A、线框向右运动,在线圈进入磁场过程,由右手定则可知,感应电流的方向为adcba,出磁场的过程中,ad边切割磁感线,由右手定则可知,感应电流的方向为abcda方向,故A错误;
B、线框向右运动,进入向上的磁场的过程中,bc边切割磁感线,由右手定则可知,感应电流的方向为adcba方向,由左手定则可知,bc边受到的安培力的方向向左,线框向右运动,出向上的磁场的过程中,感应电流的方向为abcda方向,由左手定则可知,ad边受到的安培力的方向向左,由于磁场的宽度大于线框的宽度,所以当线框全部在磁场中运动的过程中,线框的磁通量不变,没有感应电流,线框不受安培力的作用,故B错误;
C、线框进入磁场和出磁场的过程中产生的电动势是相等的,都是:E=BLv,回路中的电流:

D、进入磁场的时间与出磁场的时间相等,都是:

考查方向
功能关系;功率、平均功率和瞬时功率
解题思路
传送带传送时提供的能量转化为线圈的内能和电能,由右手定则即可判断出感应电流的方向,由楞次定律判断出安培力的方向,由共点力的平衡判断出摩擦力的方向,由功能关系即可判断出产生的电能.
易错点
理解从能量的角度研究电磁感应现象,掌握焦耳定律、E=BLv、欧姆定律和能量如何转化是解题的关键.
教师点评
本题考查了功能关系;功率、平均功率和瞬时功率,在近几年的各省高考题出现的频率较高,常与动能定理等知识点交汇命题.
知识点
6.实验小组为了探究物体在倾角不同的斜面上的运动情况,将足够长的粗糙木板的一端固定在水平地面上,使物体以大小相同的初速度v0由底端冲上斜面,每次物体在斜面上运动过程中斜面倾角保持不变。在倾角θ从0°逐渐增大到90°的过程中
正确答案
解析
由牛顿第二定律可知,物体的加速度:


考查方向
牛顿第二定律;匀变速直线运动的公式
解题思路
关键对物体受力分析,根据牛顿第二定律找出a的表达式根据数学知识及运动学公式分析解答.
易错点
关键找出a的表达式根据数学知识分析.
教师点评
本题考查了牛顿第二定律;匀变速直线运动的公式,在近几年的各省高考题出现的频率较高,常与图象、功能关系等知识点交汇命题.
知识点
3.下列表述正确的是
正确答案
解析
A.根据核反应中质量数守恒和电荷数守恒,X的质子数为1,质量数为1,所以X表示质子,故A错误;
B.选项中的反应是轻核的聚变反应,故B错误;
C.放射性元素的半衰期与原子所处的化学状态无关,故C正确;
D.β射线是原子核中的一个中子变成一质子和一个电子而形成的,故D错误;
考查方向
原子核衰变及半衰期、衰变速度;轻核的聚变;X射线、α射线、β射线、γ射线及其特性
解题思路
根据电荷数守恒、质量数守恒得出X的电荷数和质量数,从而确定X的种类;半衰期的大小与放射性元素所处的物理环境和化学状态无关,由原子核内部因素决定;β衰变的实质是原子核中的一个中子转变为一个质子和一个电子,电子释放出来,不是来自核外电子.
易错点
在物理学中,半衰期并不能指少数原子,它的定义为:放射性元素的原子核有半数发生衰变所需的时间; 放射性元素衰变的快慢是由原子核内部自身决定的,与外界的物理和化学状态无关.
教师点评
本题考查了原子核衰变及半衰期、衰变速度;轻核的聚变等知识点,在近几年的各省高考题出现的频率较高,常与玻尔的原子模型,爱因斯坦质能方程等知识点交汇命题.
知识点
2.已知单色光a的频率低于单色光b的频率,则
正确答案
解析
A、单色光的频率越小,折射率越小,发生折射时偏折程度越小,则知a光的折射率小,通过三棱镜时,单色光a的偏折程度小,故A正确;
B、由
C、频率越小,波长越长,发生双缝干涉时,干涉条纹的间距与波长成正比,则知用单色光a照射时相邻亮纹间距大,故C错误;
D、发生光电效应时,光电子的最大初动能为
考查方向
光的折射定律;双缝干涉的条纹间距与波长的关系
解题思路
单色光的频率越小,折射率越小,发生折射时偏折程度越小.折射率越小,临界角越大.波长越长,干涉条纹的间距越大.频率越大,发生光电效应时,逸出的光电子的最大初动能越大.
易错点
关键要掌握折射率与光的频率、波长的关系以及全反射临界角公式、干涉和衍射的条件.
教师点评
本题考查了光的折射定律,在近几年的各省高考题出现的频率较高,常与全反射、光电效应等知识点交汇命题.
知识点
1.下列说法正确的是
正确答案
解析
A、根据热力学第一定律,气体内能的变化由做功和热传递共同决定,只知道吸收热量无法判断内能的变化,故A错误;
B、布朗运动是悬浮微粒受到的来自各个方向的液体分子的撞击作用是不平衡引起的,故悬浮微粒越小,碰撞的不平衡越明显,则布朗运动越明显,故B正确;
C、根据理想气体状态方程
D、分子间一定同时存在引力和斥力的作用,铅板能够合在一起是由于引力大于斥力,故D错误;
考查方向
热力学第一定律;分子间的相互作用力;分子的热运动 布朗运动
解题思路
根据热力学第一定律公式△U=W+Q判断;布朗运动是悬浮在液体中的固体小颗粒的无规则运动,由液体分子碰撞的不平衡性造成;根据理想气体状态方程判断;分子间同时存在引力和斥力.
易错点
理解布朗运动的概念,即悬浮微粒永不停息地做无规则运动的现象叫做布朗运动,布朗运动是液体分子无规则热运动的反映.
教师点评
本题考查了热力学第一定律;分子间的相互作用力;分子的热运动 布朗运动,在近几年的各省高考题出现的频率较高,常与理想气体状态方程等知识点交汇命题.
知识点
8.物理学和计算机技术的发展推动了医学影像诊断技术的进步。
彩色超声波检测仪,简称彩超,工作时向人体发射频率已知的超声波,当超声波遇到流向远离探头的血流时探头接收的回波信号频率会降低,当超声波遇到流向靠近探头的血流时探头接收的回波信号频率会升高。利用计算机技术给这些信号加上色彩,显示在屏幕上,可以帮助医生判定血流的方向、流速的大小和性质.
计算机辅助X射线断层摄影,简称T。工作时X射线束对人体的某一部分按一定厚度的层面进行扫描,部分射线穿透人体被检测器接收。由于人体各种组织的疏密程度不同,检测器接收到的射线就有了差异,从而可以帮助医生诊断病变。
根据以上信息,可以判断下列说法中正确的是
正确答案
解析
A、根据题目的描述可知,彩超工作利用的是超声波的多普勒效应,故A正确;
B、CT工作利用的是x射线穿透不同组织后的强度不同,与衍射无关,故B错误;
CD、彩超发射的是超声波,超声波是机械波,CT发射的是x射线,x射线是电磁波,电磁波是横波,故CD错误;故本题选A
考查方向
多普勒效应
解题思路
彩超是利用超声波的穿透性强和多普勒效应工作的;CT是利用x射线的穿透性强成像的;超声波是机械波,x射线是电磁波.
易错点
关键是明确彩超和x射线的工作原理,知道超声波和x射线的特点.
教师点评
本题考查了机械波与电磁波的不同,在近几年的各省高考题出现的频率较高,常与波的图象等知识点交汇命题.
知识点
5.如图所示为一列沿x轴正方向传播的简谐横波在t=0时的波形图,当x=4cm处质点在t=0时的运动状态传播到x=10cm处质点时,下列说法正确的是
正确答案
解析
A.振动在介质中匀速传播,当 x=4 cm处质点的运动状态传播到 x=10 cm处时,质点振动了

B.结合A选项分析可知 x=4 cm处的质点也振动了
C.质点在平衡位置处上下振动,并不随波向前移动,故C错误;
D.根据波的传播方向可以判断质点的振动方向,4 cm< x<6 cm处的质点正在向 y轴负方向运动,故D正确.
考查方向
波的形成和传播;波的图象
解题思路
波传播的是振动形式,质点并不随波迁移,当质点在t=0时的运动状态传播到x=10cm处质点时由力可知质点振动了
易错点
关键掌握根据波的传播方向会判断出质点的振动方向.
教师点评
本题考查了波的形成和传播;波的图象,在近几年的各省高考题出现的频率较高,常与质点的振动图象、波长、频率和波速的关系等知识点交汇命题.
知识点
4.2015年12月29日0时04分,我国在西昌卫星发射中心成功发射高分四号卫星.至此我国航天发射“十二五”任务圆满收官.高分四号卫星是我国首颗地球同步轨道高分辨率光学成像卫星,也是目前世界上空间分辨率最高、幅宽最大的地球同步轨道卫星,它的发射和应用将显著提升我国对地遥感观测能力,该卫星在轨道正常运行时,下列说法正确的是
正确答案
解析
A、同步卫星轨道半径大于地球的半径,故A错误;
B、根据


C、根据
D、同步卫星的轨道半径小于月球的轨道半径,根据
考查方向
万有引力定律及其应用
解题思路
同步卫星的轨道半径大于地球的半径,根据万有引力提供向心力,得出加速度、线速度、周期与轨道半径的关系,从而分析比较.
易错点
关键根据万有引力提供向心力推导线速度、周期、加速度的表达式.
教师点评
本题考查了万有引力定律的应用,在近几年的各省高考题出现的频率较高,常与动能定理等知识点交汇命题.
知识点
电视机的显像管中电子束的偏转是应用磁偏转技术实现的。如图1所示为显像管的原理示意图。显像管中有一个电子枪,工作时阴极发射的电子(速度很小,可视为零)经过加速电场加速后,穿过以O点为圆心、半径为r的圆形磁场区域(磁场方向垂直于纸面),撞击到荧光屏上使荧光屏发光。
已知电子质量为m、电荷量为e,加速电场的电压为U,在没有磁场时电子束通过O点打在荧光屏正中央的M点,OM间距离为S。电子所受的重力、电子间的相互作用力均可忽略不计,也不考虑磁场变化所激发的电场对电子束的作用。由于电子经过加速电场后速度很大,同一电子在穿过磁场的过程中可认为磁场不变。
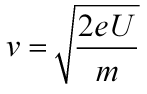
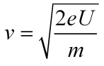
16.求电子束经偏转磁场后打到荧光屏上时的速率;
17.若磁感应强度随时间变化关系如图2所示,其中
若电子束经偏转磁场后速度的偏转角θ=60°,求此种情况下电子穿过磁场时,螺线管线圈中电流I0的大小;
正确答案
解析
设电子经过加速的速度为v,所以Ue=mv2/2
解得:
考查方向
加速电场中动能定理的应用
解题思路
加速电场中电子只收到电场力加速,列动能定理
易错点
动能定理的应用
教师点评
比较简单,应该平时练习很多类似的
正确答案
解析
考查方向
带电粒子在磁场中的偏转,最大角度以及半径的求法。
解题思路
先确定什么时候偏转最多,在确定最大角度,确定半径,最终确定距离
易错点
容易找错最大偏转角度。
正确答案
解析
设磁场中运动的半径为R,
考查方向
带电粒子在磁场中的偏转
解题思路
洛仑兹力提供向心力,确定偏角后,确定电流
易错点
偏角计算
教师点评
本题较难,学生不易理解
轻质弹簧一端固定,另一端与放置于水平面上的小物块(可视为质点)相连接。弹簧处于原长时物块位于O点。现将小物块向右拉至A点后由静止释放,小物块将沿水平桌面运动。已知弹簧劲度系数为k,小物块质量为m,OA间距离为L,弹簧弹性势能的表达式为
14.若小物块与水平桌面间的动摩擦因数
①小物块第一次经过O点时的速度大小;
②小物块向左运动过程中距离O点的最远距离以及最终静止时的位置。
15.在我们的生活中常常用到弹簧,有的弹簧很“硬”,有的弹簧很“软”,弹簧的“软硬”程度其实是由弹簧的劲度系数决定的。请你自行选择实验器材设计一个测量弹簧劲度系数的实验,简要说明实验方案及实验原理。
正确答案
①
②最远距离0.6L;最终静止在O点右侧0.2L处.
解析
①设小物块第一次经过O点时的速度为v,根据功能关系得:
解得:
②设小物块向左运动得最远处在O点左侧的B点,BO之间的距离为xB,小物块由A运动到B的过程中,由功能关系得:
解得:xB=0.6L
此时弹簧弹力为:F=kxB=0.6kL,小物块与地面的最大静摩擦力为:fm=μmg=0.2kL,因此小物块不能停在B点,将继续向右运动,设小物块能静止在O点右侧的C点,C与O的距离为xC,小物块由B点运动到C点的过程中,根据功能关系得:
解得:xC=0.2L,即小物块到达B点后向右运动,再次经过O点,最终静止在O点右侧0.2L处.
考查方向
功能关系
解题思路
①设小物块第一次经过O点时的速度为v,根据功能关系求解速度;
②设小物块向左运动得最远处在O点左侧的B点,小物块由A运动到B的过程中,由功能关系求出最远距离,再分析B位置受到的弹力与最大静摩擦力的关系,从而判断物块能否静止在B点,若不能静止,再根据功能关系求解即可.
易错点
关键理解物体运动中的能量转化,并通过计算判断当物体运动到最远点时能否静止.
教师点评
本题考查了功能关系,在近几年的各省高考题出现的频率较高,常与动能定理、机械能守恒定律等知识点交汇命题.
正确答案
见解析
解析
将弹簧悬挂,弹簧下端挂质量不同得物体,稳定后测量弹簧伸长量以及弹簧所受的拉力,再根据胡克定律得到弹簧的劲度系数.
考查方向
胡克定律
解题思路
将弹簧悬挂,弹簧下端挂质量不同的物体,稳定后测量弹簧伸长量以及弹簧所受的拉力,再根据胡克定律得到弹簧的劲度系数.
易错点
理解胡克定律的原理.
教师点评
本题考查了胡克定律,在近几年的各省高考题出现的频率较高,常与共点力的平衡条件等知识点交汇命题.
某次对新能源汽车性能进行的测量中,汽车在水平测试平台上由静止开始沿直线运动,汽车所受动力随时间变化关系如图1所示,而速度传感器只传回第10s以后的数据(如图2所示)。已知汽车质量为1000kg,汽车所受阻力恒定。
求:
11.汽车所受阻力的大小;
12.10s末汽车速度的大小;
13.前20s汽车位移的大小。
正确答案
1.0×103N
解析
10s后汽车做匀速直线运动,受到的牵引力等于阻力,由此求出汽车受到的阻力,由图象可知f=1.0×103N
考查方向
匀速直线运动及其公式、图像;牛顿第二定律
解题思路
由图象可知10s后汽车做匀速直线运动,受到的牵引力等于阻力,由此求出阻力.
易错点
关键根据汽车运动的v-t图象,得出物体的运动状态,根据牛顿第二定律解答.
教师点评
本题考查了匀速直线运动及其公式、图像,在近几年的各省高考题出现的频率较高,常与牛顿第二定律、位移等知识点交汇命题.
正确答案
25m/s
解析
由牛顿第二定律得:
F1-f=ma1
10s末车速:v=a1t1
代入数据得:a1=2.5m/s2;v=25m/s
考查方向
牛顿第二定律;匀变速直线运动规律的综合运用
解题思路
依据牛顿第二定律分段求出汽车加速度,进而由运动学速度公式可得汽车20s的速度.
易错点
关键从F-t图中读出物体受到的力F值,根据牛顿第二定律列式.
教师点评
本题考查了牛顿第二定律;匀变速直线运动规律的综合运用,在近几年的各省高考题出现的频率较高,常与动能定理、匀变速直线运动的图象等知识点交汇命题.
正确答案
375m
解析
在0-10s内的位移:
汽车在10-20s内的位移:x2=vt2=25×10=250m
故汽车在前20s的位移:x=x1+x2=125+250=375m.
考查方向
牛顿第二定律;匀变速直线运动规律的综合运用
解题思路
分段求出位移之后相加求和即可得前20s汽车的位移
易错点
关键通过图象信息找到各段受力情况,明确各段的运动规律.
教师点评
本题考查了牛顿第二定律;匀变速直线运动规律的综合运用,在近几年的各省高考题出现的频率较高,常与匀变速直线运动的图象等知识点交汇命题.





























