- 真题试卷
- 模拟试卷
- 预测试卷
2024年2月,我国科学家在兰州重离子加速器国家大科学装置上成功合成了新核素

正确答案
解析
本题考查了核反应中的常见粒子。在核反应中,质子和中子是主要的参与粒子,因为它们组成了原子核的主要部分。质子带正电,中子不带电,电子带负电但在核反应中不常见。题目中描述了新核素的合成,而在这种反应中,中子是最常见的参与或生成粒子。这是因为中子不带电,可以容易地被原子核捕获,从而改变核素的种类。质子在核反应中虽然也会出现,但一般需要更高的能量来克服电荷之间的斥力。因此,
小明测得兰州地铁一号线列车从“东方红广场”到“兰州大学”站的
正确答案
解析
本题考查了距离的测量和估算。题目提供了小明测得的兰州地铁一号线列车从“东方红广场”到“兰州大学”站的距离图像。通图像中的数据和标注信息表明,“东方红广场”到“兰州大学”站的距离约为1430米,这在地铁站间距离的常见范围内。因此,选择C.1430m。
小杰想在离地表一定高度的天宫实验室内,通过测量以下物理量得到天宫实验室轨道处的重力加速度,可行的是( )
正确答案
解析
本题考查了在天宫实验室(失重环境)中测量重力加速度的方法。A项使用弹簧秤在失重环境中测量重力是不现实的,因为物体在失重环境中不受重力影响。B项通过单摆测量也不适用,因为单摆在微重力环境下无法正常工作。C项方法通过从高处释放一个重物,不可以直接计算重力加速度,C错误。D项虽然可以通过天宫实验室绕地球做匀速圆周运动的周期和轨道半径来计算重力加速度,故D正确。
如图,相距为d的固定平行光滑金属导轨与阻值为R的电阻相连,处在磁感应强度大小为B、方向垂直纸面向里的匀强磁场中长度为L的导体棒ab沿导轨向右做匀速直线运动,速度大小为
正确答案
解析
本题考查了电磁感应中的安培力计算。根据电磁感应定律,当导体棒在磁场中运动时,会产生感应电动势



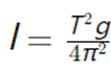
如图为某单摆的振动图像,重力加速度g取
正确答案
解析
本题考查了单摆的周期和速度关系。单摆的周期由公式确定,T为周期,l为摆长,g为重力加速度。题目图像给出的周期T和重力加速度g已知,可以计算出摆长

工业上常利用感应电炉冶炼合金,装置如图所示。当线圈中通有交变电流时,下列说法正确的是( )
正确答案
解析
本题考查了电磁感应中的感应电流。当线圈中通有交变电流时,磁场也会随之交变,根据法拉第电磁感应定律,金属中会产生交变感应电流,而不是恒定电流。交变电流在金属中会产生涡流,导致金属加热。A项中恒定感应电流是不正确的,因为线圈中电流是交变的。增加线圈匝数会增加磁通量,从而增加感应电动势,感应电流也会随之增大,因此C项不正确。线圈匝数增加,感应电流也会增加,因此D项不正确。选择B.金属中产生交变感应电流。
一平行板电容器充放电电路如图所示。开关S接1,电源E给电容器C充电;开关S接2,电容器C对电阻R放电。下列说法正确的是( )
正确答案
解析
本题考查了电容器的充放电过程。电容器在充电过程中,两极板间的电势差逐渐增大,充电电流逐渐减小,A项不正确。充电时,电容器的上极板带正电荷,流过电阻R的电流方向由电源正极流向负极,B项不正确。放电过程中,电容器两极板间的电势差逐渐减小,放电电流也逐渐减小,C项正确。放电时,电容器的上极板带负电荷,电流方向由上极板流向下极板,流过电阻R的电流方向由N点流向M点,D项不正确。选择C.放电过程中,电容器两极板间电势差减小,放电电流减小。
电动小车在水平面内做匀速圆周运动,下列说法正确的是( )
正确答案
解析
本题考查了匀速圆周运动的动力学特征。电动小车在水平面内做匀速圆周运动时,速度大小不变,因此动能不变,A项正确。由于小车的速度方向在不断变化,其动量方向也在不断变化,因此动量不守恒,B项不正确。匀速圆周运动中,小车的速度方向和加速度方向都在变化,加速度的大小虽然不变,但方向不断变化,因此加速度方向不恒定,C项不正确。小车在匀速圆周运动中所受的合外力始终指向圆心,这是向心力的定义,因此D项正确。选择AD。
某带电体产生电场的等势面分布如图中实线所示,虚线是一带电粒子仅在此电场作用下的运动轨迹,M、N分别是运动轨迹与等势面b、a的交点,下列说法正确的是( )
正确答案
解析
本题考查了电场和等势面的特性。带电粒子在电场中运动,其运动轨迹由电场力决定。粒子带负电荷时,会向电势高的方向运动,因此A项不正确。M点的等势面较高,电场强度比N点小,B项正确。粒子在电场中运动时,动能和电势能相互转换,存在一个点动能最小,C项正确。由于M点电势高于N点,带电粒子在M点的电势能大于N点,D项正确。因此选择BCD。
如图为一半圆柱形均匀透明材料的横截面,一束红光a从空气沿半径方向入射到圆心O,当
正确答案
解析
本题考查了光的反射和折射。根据斯涅尔定律,折射率


用图1所示实验装置探究外力一定时加速度与质量的关系。
(1)以下操作正确的是______(单选,填正确答案标号)。
A
C.补偿阻力时移去打点计时器和纸带 D.释放小车后立即打开打点计时器
(2)保持槽码质量不变,改变小车上砝码

A.
B.
C.
D.
(3)以小车和砝码的总质量M为横坐标,加速度的倒数

由图可知,在所受外力一定的条件下,a与M成______(填“正比”或“反比”);甲组所用的______(填“小车”、“砝码”或“槽码”)质量比乙组的更大。
正确答案
(1)B
(2)D
(3)反比,槽码
解析
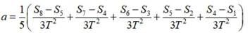
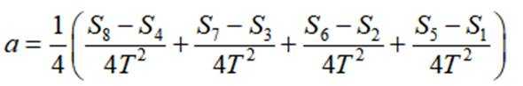
(1)本题考查的是在进行实验时如何正确补偿阻力。A项提到使小车质量远小于槽码质量,这会导致小车的惯性不足,影响实验的准确性。C项提到在补偿阻力时移去打点计时器和纸带,这样做会使得无法记录实验数据,失去实验依据。D项提到释放小车后立即打开打点计时器,这样会导致数据不准确,因为小车在释放的瞬间可能已经开始加速。B项提到调整垫块位置以补偿阻力,这样可以有效地平衡实验装置的阻力,使得小车在运动时受到的外力恒定,从而得到准确的加速度数据。因此选择B。
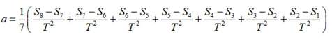
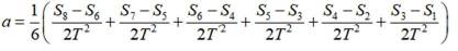
(2)本题考查的是加速度的计算方法。根据打点计时器的原理,相邻两点之间的距离与加速度的关系可以通过运动学公式来计算。设相邻两点之间的距离分别为×1,×2,×3,时间间隔均为T,最佳的加速度计算方法应尽量减少误差。选项D中的公式
(3)本题考查的是质量与加速度的关系。根据牛顿第二定律F=ma,在外力一定的情况下,加速度a与质量m成反比关系。题中以小车和砝码的总质量MMM为横坐标,加速度的倒数1/a为纵坐标,绘制的图像是一条直线,说明1/a与M成正比,即a与M成反比。甲组的图像斜率较大,说明所用的小车质量较大,外力部分更多地用来克服小车质量。因此选择反比,槽码。
精确测量干电池电动势和内阻需要考虑电表内阻的影响。可用器材有:电压表(量程1.5V,内阻约为
(1)考虑电流表内阻影响
①用图1所示电路测量电流表的内阻。从图2电压表和电流表读数可得电流表内阻

②用图3所示电路测量干电池电动势和内阻。电压表读数、电流表读数、干电池内阻和电流表内阻分别用U、I、r和


③调节滑动变阻器测得多组电表读数,作出图4所示的



(2)考虑电压表内阻影响
该小组也尝试用图5所示电路测量电压表内阻,但发现实验无法完成。原因是______(单选,填正确答案标号)。
A.电路设计会损坏仪器 B.滑动变阻器接法错误
C.电压太大无法读数 D.电流太小无法读数
正确答案
(1)1.0
(2)
(3)1.40 1.0
(4)D
解析
(1)本题考查的是电流表内阻的测量。根据图1中的电路,电流表和电压表并联,电压表测得的是电流表两端的电压,根据欧姆定律,电流表内阻
(2)本题考查的是测量干电池电动势和内阻的实验方法。根据图3中的电路,电流表内阻和干电池内阻都要考虑在内,电动势

(3)本题要求通过实验数据计算干电池的电动势和内阻。根据图4中的
(4)本题考查的是实验设计的合理性。图5中的电路设计用来测量电压表内阻,但由于滑动变阻器的接法不正确,导致电流过小,无法有效测量电压表的内阻。因此选择D。
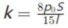
如图,刚性容器内壁光滑、盛有一定量的气体,被隔板分成A、B两部分,隔板与容器右侧用一根轻质弹簧相连(忽略隔板厚度和弹簧体积)。容器横截面积为S、长为2l。开始时系统处于平衡态,A、B体积均为Sl,压强均为

(1)抽气之后A、B的压强
(2)弹簧的劲度系数k。
正确答案
(1)
(2)
解析
(1)本题考查理想气体状态方程和弹簧力学。根据理想气体状态方程


(2)本题考查弹簧的劲度系数计算。弹簧的压缩量为

如图,质量为2kg的小球A(视为质点)在细绳



(1)求A运动到最低点时细绳OP所受的拉力。
(2)A在最低点时,细绳OP断裂。A飞出后恰好与C左侧碰撞(时间极短)、碰后A竖直下落,C水平向右运动。求碰后C的速度大小。
(3)A、C碰后,C相对B滑行4m后与B共速。求C和B之间的动摩擦因数。
正确答案
(1)40N
(2)4m/s
(3)0.15
解析
(1)本题考查绳子的拉力和物体的平衡状态。小球A在平衡时,绳子的拉力和重力相互作用,根据平衡条件,


(2)本题考查碰撞后的速度计算。小球A在最低点时,动能转化为重力势能

(3)本题考查动摩擦因数的计算。C和B碰撞后,动量守恒,

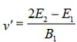
质谱仪是科学研究中



(1)粒子带正电还是负电?求粒子的比荷。
(2)求O点到P点的距离。
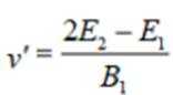
(3)若速度选择器Ⅱ中匀强电场的电场强度大小变为




正确答案
(1)带正电;
(2)
(3)
解析
本题考查带电粒子的运动和比荷计算。带正电粒子在加速电场中获得动能,动能等于电势能转化,



(2)本题考查粒子运动轨迹的计算。带电粒子进入偏转磁场后做圆周运动,根据洛伦兹力公式,可得轨道半径

(3)本题考查速度选择器中的运动速度计算。若电场强度变为




































