- 真题试卷
- 模拟试卷
- 预测试卷
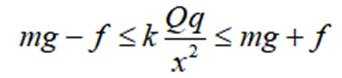
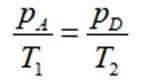
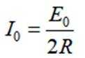
极板间一蜡烛火焰带有正离子、电子以及其他的带电粒子,两极板电压保持不变,当电极板距离减小时,电场强度如何变?电子受力方向?( )
正确答案
解析
由题知,两极板电压保持不变,则根据电势差和电场强度的关系有

故选B。
近年来,江西省科学家发明硅衬底氮化镓基系列发光二极管,开创了国际上第三条



正确答案
解析
【详解】根据题意可知,辐射出的光子能量


某物体位置随时间的关系为
正确答案
解析
根据速度的定义式



故选C。
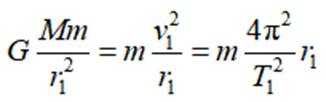
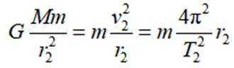
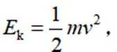
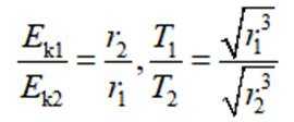
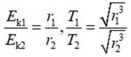
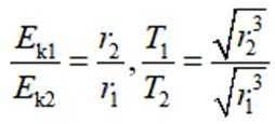
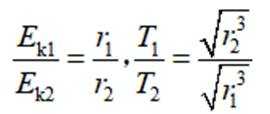
两个质量相同的卫星绕月球做匀速圆周运动,半径分别为
正确答案
解析
两个质量相同的卫星绕月球做匀速圆周运动,则月球对卫星的万有引力提供向心力,设月球的质量为M,卫星的质量为m,则半径为r1的卫星有





庐山瀑布“飞流直下三千尺,疑是银河落九天”瀑布高150m,水流量
正确答案
解析
由题知,


如图(a)所示,利用超声波可以检测飞机机翼内部缺陷。在某次检测实验中,入射波为连续的正弦信号,探头先后探测到机翼表面和缺陷表面的反射信号,分别如图(b)、(c)所示。已知超声波在机翼材料中的波速为
正确答案
解析
根据反射信号图像可知,超声波的传播周期为


解得
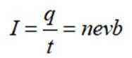
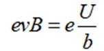
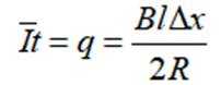
石墨烯是一种由碳原子组成的单层二维蜂窝状晶格结构新材料,具有丰富的电学性能.现设计一电路测量某二维石墨烯样品的载流子(电子)浓度。如图(a)所示,在长为a,宽为b的石墨烯表面加一垂直向里的匀强磁场,磁感应强度为B,电极1、3间通以恒定电流I,电极删除2、4间将产生电压U。当


正确答案
解析
设样品每平方米载流子(电子)数为n,电子定向移动的速率为v,则时间t内通过样品的电荷量





故选D。
一条河流某处存在高度差,小鱼从低处向上跃出水面,冲到高处.如图所示,以小鱼跃出水面处为坐标原点,x轴沿水平方向,建立坐标系,小鱼的初速度为


正确答案
解析
选项AC.小鱼在运动过程中只受重力作用,则小鱼在水平方向上做匀速直线运动,即

选项BD.小鱼在竖直方向上做竖直上抛运动,则
故选AD。
某同学用普通光源进行双缝干涉测光的波长实验。下列说法正确的是( )
正确答案
解析
【详解】选项A.进行双缝干涉测光的波长实验,光具座上依次摆放光源、透镜、滤光片、单缝、双缝、遮光筒、测量头等元件,故A错误;
选项B.透镜的作用是使光更集中,故B正确;
选项C.单缝的作用是获得线光源,故C正确;
选项D.根据条纹间距公式
故选BC。
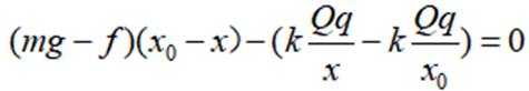
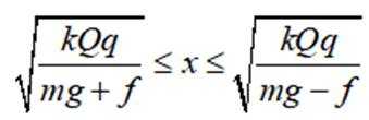
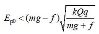
如图所示,垂直于水平桌面固定一根轻质绝缘细直杆,质量均为m带同种电荷的绝缘小球甲和乙穿过直杆,两小球均可视为点电荷,带电荷量分别为q和Q。在图示的坐标系中,小球乙静止在坐标原点,初始时刻小球甲从

正确答案
解析
【详解】选项A.全过程,根据动能定理

选项B.当小球甲的加速度为零时,速率最大,则有
故B正确;
选项C.小球甲最后停留时,满足
故C错误;
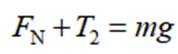
选项D.若在最低点能返回,即在最低点满足


故D正确。
故选BD。
某小组探究物体加速度与其所受合外力的关系。实验装置如图(a)所示,水平轨道上安装两个光电门,小车上固定一遮光片,细线一端与小车连接,另一端跨过定滑轮挂上钩码。
(1)实验前调节轨道右端滑轮高度,使细线与轨道平行,再适当垫高轨道左端以平衡小车所受摩擦力。
(2)小车的质量为

(3)由图线甲可知,F较小时,a与F成正比;F较大时,a与F不成正比。为了进一步探究,将小车


(4)与图线甲相比,图线乙的线性区间____________,非线性区间____________。再将小车的质量增加至

(5)请在图(b)中补充描出第6至8三个数据点,并补充完成图线丙_________。
(6)根据以上实验结果猜想和推断:小车的质量____________时,a与F成正比。结合所学知识对上述推断进行解释:______________________。
正确答案
①. 较大
②. 较小
③.
④. 远大于钩码质量
⑤. 略
解析
(4)[1][2]由题图(b)分析可知,与图线甲相比,图线之的线性区间较大,非线性区间较小;
(5)[3]在坐标系中进行描点,结合其他点用平滑的曲线拟合,使尽可能多的点在线上,不在线上的点均匀分布在线的两侧,如下图所示
(6)[4][5]设绳子拉力为
对小车根据牛顿第二定律有
联立解得
变形得
当
则
即a与F成正比。
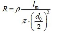
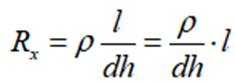
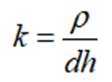
某小组欲设计一种电热水器防触电装置,其原理是:当电热管漏电时,利用自来水自身的电阻,可使漏电电流降至人体安全电流以下.为此,需先测量水的电阻率,再进行合理设计。
(1)如图(a)所示,在绝缘长方体容器左右两侧安装可移动的薄金属板电极,将自来水倒入其中,测得水的截面宽
(2)现有实验器材:电流表(量程



(3)连接好电路,测量





(4)若

(5)测出电阻率后,拟将一段塑料水管安装于热水器出水口作为防触电装置。为保证出水量不变,选用内直径为



正确答案
①.
②.
③. 高
④. 0.46
解析
(2)[1]电源电动势为

(4)[2]根据电阻定律
故可得
得
[3]电阻率越小更容易导电,根据图像可知
(5)[4]根据前面分析可知







可逆斯特林热机的工作循环如图所示。一定质量的理想气体经








(1)气体在状态D的压强
(2)气体在状态B的体积
正确答案
(1)
解析
(1)从D到A状态,根据查理定律
解得
(2)从C到D状态,根据玻意耳定律
解得
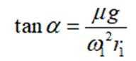
雪地转椅是一种游乐项目,其中心传动装置带动转椅在雪地上滑动。如图(a)、(b)所示,传动装置有一高度可调的水平圆盘,可绕通过中心O点的竖直轴匀速转动。圆盘边缘A处固定连接一轻绳,轻绳另一端B连接转椅(视为质点)。转椅运动稳定后,其角速度与圆盘角速度相等。转椅与雪地之间的动摩擦因数为
(1)在图(a)中,若圆盘在水平雪地上以角速度




(2)将圆盘升高,如图(b)所示。圆盘匀速转动,转椅运动稳定后在水平雪地上绕




正确答案
(1)
解析
(1)转椅做匀速圆周运动,设此时轻绳拉力为T,转椅质量为m,受力分析可知轻绳拉力沿切线方向的分量与转椅受到地面的滑动摩擦力平衡,沿径向方向的分量提供圆周运动的向心力,故可得

联立解得
(2)设此时轻绳拉力为


对转椅根据牛顿第二定律得
沿切线方向
竖直方向
联立解得
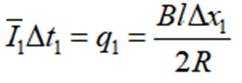
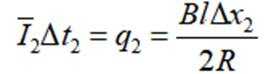
如图(a)所示,轨道左侧斜面倾斜角满足










(1)甲杆刚进入磁场,乙杆的加速度?
(2)乙杆第一次滑上斜面前两杆未相碰,距离d满足的条件?
(3)若乙前两次在右侧倾斜导轨上相对于水平导轨的竖直高度y随时间t的变化如图(b)所示

正确答案
(1)

解析
(1)甲从静止运动至水平导轨时,根据动能定理有
甲刚进人磁场时,平动切割磁感线有
则根据欧姆定律可知此时回路的感应电流为
根据楞次定律可知,回路中的感应电流沿逆时针方向(俯视),结合左手定则可知,乙所受安培力方向水平向右,由牛顿第二定律有
带入数据有
(2)甲和乙在磁场中运动的过程中,系统不受外力作用,则系统动量守恒,若两者共速时恰不相碰,则有
对乙根据动量定理有
其中
联立解得
则d满足
(3)根据(2)问可知,从甲刚进入磁场至甲、乙第一次在水平导轨运动稳定,相对位移为

根据匀变速直线运动位移与速度的关系有
乙第一次在右侧斜轨上向下运动的过程中,根据牛顿第二定律有
再根据匀变速直线运动位移与速度的关系有
且
联立解得乙第一次滑下右侧轨道最低点的速度
由于两棒发生碰撞,则为完全非弹性碰撞,则甲乙整体第一次在右侧倾斜轨道上向上运动有
同理有
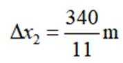
且由图(b)可知
解得甲、乙碰撞后的速度
乙第一次滑下右侧轨道最低点后与甲相互作用的过程中,甲、乙组成的系统合外力为零,根据动量守恒有
解得乙第一次滑下右侧轨道最低点时甲的速度为
若乙第一次滑下右侧轨道最低点时与甲发生碰撞,则对应d的最小值,乙第一次在右侧斜轨上运动的过程,对甲根据动量定理有
其中
解得
根据位移关系有
解得
若乙返回水平导轨后,当两者共速时恰好碰撞,则对应d的最大值,对乙从返回水平导轨到与甲碰撞前瞬间的过程,根据动量定理有
其中
解得
根据位移关系有
解得
则d的取值范围为












































































































