- 真题试卷
- 模拟试卷
- 预测试卷
5.美国在2016年2月11日宣布“探测到引力波的存在”。天文学家通过观测双星轨道参数的变化来间接验证引力波的存在,证实了GW150914是两个黑洞并合的事件。GW150914是一个36倍太阳质量的黑洞和一个29倍太阳质量的黑洞并合事件。假设这两个黑洞绕它们连线上的某点做圆周运动,且这两个黑洞的间距缓慢减小。若该黑洞系统在运动过程中各自质量不变且不受其它星系的影响,则关于这两个黑洞的运动,下列说法正确的是( )
正确答案
解析
A选项,由于两个黑洞绕它们连线上的某点做圆周运动,他们运动的角速度相等,向心力由他们之间的万有引力提供,故相等,所以有m1ω2r1= m2ω2r2,
B选项,根据万有引力提供向心力:


C选项,根据

D选项,由于它们的角速度相等,故
对于

考查方向
解题思路
1、根据双星模型的特点判断其角速度,线速度及向心加速度的大小关系。2、根据万有引力提供向心力的基本公式
易错点
1、对双星模型的特点不清楚。2、容易认为他们之间的距离就是其做圆周运动的半径。
知识点
1.一次课上老师拿来了一位同学所做的“探究匀变速直线运动规律”的测量记录如下表,表中“速度v”一行是这位同学用某种方法(方法不详)得到的物体在0,1,2,3,4,5几个位置的瞬时速度。根据表中数据作出的v-t图象如图所示。则下列说法正确的是( )
正确答案
解析
A选项,v-t图象中图像与横坐标围成的面积表示物体的位移,当时间间隔较短时,
C选项,小车从位置0到位置5的精确位移是图像与横坐标围成的面积,即梯形OABC的面积,故C、B选项错误。
考查方向
解题思路
1、根据v-t图像与横坐标围成的面积的含义解题。
易错点
对v-t图像与横坐标围成的面积的含义不清楚。
知识点
3.如图所示两个内壁光滑的倒立圆锥,底角不同,两个完全相同的小球A、B在两个圆锥内壁相同高度处分别做匀速圆周运动。关于小球A、B的运动情况,下列说法正确的是 ( )
正确答案
解析
A选项,如图所示,小球的受力图,合力F合力=mgtanθ=


B选项,根据合外力提供向心力有:

C选项,根据合外力提供向心力有:

D选项,根据合外力提供向心力有:F向心力= F合力=mgtanθ=
考查方向
解题思路
1、首先分析小球的受力情况,求出小球的合外力的表达式。2、根据合外力通过向心力分别求出,角速度,线速度,向心加速度的表达式,从而判断A、B小球角速度,线速度,向心加速度的大小关系。
易错点
1、对小球的受力分析不到位。2、对公式的选择模糊不清。
知识点
4.质量为m=20 kg的物体,在大小恒定的水平外力F的作用下,沿水平面做直线运动。0~2 s内F与运动方向相反,2~4 s内F与运动方向相同,物体的v-t图象如图所示。g取10 m/s2,则 ( )
正确答案
解析
A选项,0~2 s内F与运动方向相反,合外力ma1=F+f,2~4 s内F与运动方向相同,合外力ma2=F-f,联立可得F=
B选项,物体在4 s时拉力的瞬时功率P=Fv,带入数据得P=120W,故选项B正确。
C选项,0~2 s内F与运动方向相反,拉力做负功WF1=-FS1=-60N×10m=-600J,2~4 s内F与运动方向相同,拉力做正功WF2=FS2=60N×2m=120J,故4s内拉力所做的功为WF= WF1+WF2=-480 J,故错误。
D选项,4s内物体克服摩擦力做的功Wf=f(S1+S2)=40N×12m=480J,故错误。
考查方向
解题思路
1、首先根据图像斜率求出物体运动的加速度。2、分析物体在两个阶段的受力情况,再根据牛顿第二运动定律,求出拉力F大小。3、根据瞬时功率公式P=Fv求拉力做功功率。4、根据力做功的基本公式W=Fx求解拉力和摩擦力做功的大小。
易错点
1、在计算拉力在4s内做功时容易忽略拉力做功的正负问题。2、对“克服摩擦力做的功”的含义理解不到位。
知识点
2.甲、乙两玩具车(视为质点)沿同一方向做直线运动,某时刻经过同一地点。若以该时刻作为计时起点,得到两车的位移-时间图象如图所示。图象中的OC与AB平行,CB与OA平行,则下列说法中正确的是( )
正确答案
解析
A选项,由于OABC是平行四边形,因此在t1~t2时间内两车的距离d=x甲-x乙,不变,故错误。
B选项,平均速度v平均=
C选项,在x-t图象中,图像的斜率表示物体速度,由图可知在t1~t2时间内甲、乙的斜率相等,故速度相等。
D选项,在x-t图象中,同一点的位移相等,故D选项正确。
考查方向
解题思路
1、根据图像斜率判断甲、乙速度的大小及变化。2、根据平均速度的基本公式判断甲、乙平均速度的大小关系。
易错点
1、对x-t图像的斜率含义不清楚。2、容易把x-t图像误认为是v-t图像。
知识点
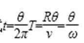
7.如图甲所示,一单匝圆形闭合导线框半径为r,线框电阻为R,连接一交流电流表(内阻不计)。线框内充满匀强磁场,已知该磁场磁感应强度B随时间按正弦规律变化,如图乙所示(规定向下为B的正方向),则下列说法正确的是 ( )
正确答案
解析
A选项,由图可知B=0.1sin(100πt),磁通量Φ=BS=0.1πr2sin(100πt),所以

B选项,根据楞次定律0.01s时,磁场逐渐减小,感应电流的磁场,应该与原磁场的方向相相同,根据右手定则可知电流方向从上往下看为顺时针方向,故B选项正确。
C选项,0.015s时,根据i==cos(100πt)可知,瞬时电流为零,但是交流电流表测的是交变电流的有效值,而不是瞬时值,故错误。
D选项,根据公式i=cos(100πt)可知,交变电流的有效值i有效=,0~0.02s内闭合导线框上产生的热量Q= i有效2Rt=,带入数据可得:Q=,故D选项正确。
考查方向
解题思路
1、首先根据B-t时间图像写出B的函数表达式,再根据感生电动势的基本公式

易错点
1、对交变电流表测量交变电流的有效值还是瞬时值分辨不清。2、对交变电流有效值的计算方法掌握不到位。3、在计算线框上产生的热量时不知道用交变电流的有效值还是瞬时值。
知识点
6.如图为处于静电场中某空腔导体周围的电场分布情况,实线表示电场线,虚线表示等势面。A、B、C为电场中的三个点,O为空腔导体内的一点。下列说法正确的是 ( )
正确答案
解析
A选项,电势沿着电场线逐渐降低,故A点的电势比B点的电势高,A选项正确。
B选项,电场线越密集,电场强度越大,由图可知A点的电场线密集度小于B点的电场线的密集度,故A点的电场强度小于B点的电场强度,B选项正确。
C选项,导体表面是等势面,因为电场线始终垂直与等势面,故导体表面的电场线与导体表面垂直,故错误。
D选项,由于A、C两点在同一等势面上,所以电荷从A点移到C点,电场力不做功,故错误。
考查方向
解题思路
1、根据电势沿电场线逐渐降低的关系判断A、B电势的高低。2、根据导体表电势的分布与电场线与等势面之间的关系判断电场线与导体表面的角度关系。3、根据电场线的疏密程度判断电场强度的大小。4、根据电场力做功的公式W=qU判断A点移到C点,电场做功情况。
易错点
1、对金属导体表面的电势分布不清楚。2、对电场线与等势面之间的角度关系不清楚。
知识点
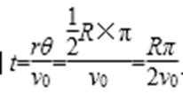
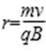
8.如图所示,在纸面内半径为R的圆形区域中充满了垂直于纸面向里、磁感应强度为B的匀强磁场。一点电荷从图中A点以速度v0垂直磁场射入,速度方向与半径方向的夹角为30°。当该电荷离开磁场时,速度方向刚好改变了180°。不计电荷的重力,下列说法正确的是 ( )
正确答案
解析
A选项,带电粒子在圆形磁场中的运动规律:粒子沿圆心射入,沿圆心射出,但是此题中粒子并不沿圆心射入,故其出磁场时的速度的反向延长线不通过O点,故错误。
B选项,粒子运动的轨迹如图所示,根据几何只是可知粒子做匀速圆周运动的半径


C选项,粒子在磁场中运动的时间
考查方向
解题思路
1、首先分析带电粒子在圆形磁场中的运动轨迹,确定圆心及半径。2、根据几何知识求出带电粒子在磁场中匀速圆周运动的半径r,再根据公式

易错点
1、对带电粒子“比荷”的含义理解不清楚。2、对带电粒子在圆形磁场中运动的特点不清楚。
知识点
10.某同学用伏安法测一节干电池的电动势和内阻,现备有下列器材: A.被测干电池一节B.电流表1:量程0~0.6 A,内阻r =0.2ΩC.电流表2:量程0~0.6 A,内阻约为0.1Ω D.电压表1:量程0~3 V,内阻未知E.电压表2:量程0~15 V,内阻未知 F.滑动变阻器1:0~10Ω,2 AG.滑动变阻器2:0~100Ω,1 A H.开关、导线若干
(1)伏安法测电池电动势和内阻的实验中,由于电流表和电压表内阻的影响,测量结果存在系统误差。在现有器材的条件下,要尽可能准确地测量电池的电动势和内阻。在上述器材中请选择适当的器材:A、___、___、____、H(填写选项前的字母);
(2)实验电路图应选择下图中的__________(填“甲”或“乙”);
(3)根据实验中电流表和电压表的示数得到了如图丙所示的U-I图象,则在修正了实验系统误差后,干电池的电动势E=__________V,内电阻r=_______Ω。
正确答案
(1)B、D、F(每空 共3分);(2)甲:;(3)1.49-1.51V,0.78-0.86Ω(每空 共 )。
解析
(1)如图甲所示由于电流表的分压作用,导致电压表测的电压不是路端电压,如图乙所示,由于电压表的分流作用,导致电流表测的电流不等于干路电流,从而导致测得的E和r不准确。为了可能准确地测量电池的电动势和内阻,如图甲所示,可以通过计算电流表分得的电压,加上电压表测得的电压,即可得准确的路段电压,从而准确的测量电池的电动势和内阻。因此必须知道电流表的精确电阻,故电流表选B;由于干电池电动势一般为1.5V,故电压表选择量程0~3 V,选D;如果滑动变阻器选G:0~100Ω,当滑动变阻器滑到一半时,电流i<0.03A,不到电流表量程的
(2)由(1)问可知,电路图应该选甲。
(3)根据欧姆定律有:E=U+I(rA+r),U=E-I(rA+r),所以截距任然是E,但斜率k=(rA+r),故E=1.49~1.51V,rA+r=0.98~1.06,故r=0.98~1.06Ω-0.2Ω=0.78~0.86Ω。
考查方向
解题思路
1、首先根据仪器选择的基本思路选择仪器及电路图。2、根据欧姆定律写出路端电压U与干路电流I的表达式,得出斜率与截距的表达式,带入数据求解。
易错点
对仪器的选择方法掌握不到位。
知识点
9.要测量两个质量不等的沙袋的质量,由于没有直接的测量工具,某实验小组选用下列器材:轻质定滑轮(质量和摩擦可忽略)、砝码一套(总质量m=0.2 kg)、细线、刻度尺、秒表。他们根据已学过的物理学知识,改变实验条件进行多次测量,选择合适的变量得到线性关系,作出图线并根据图线的斜率和截距求出沙袋的质量。请完成下列步骤:
(1)实验装置如图所示,设右边沙袋A的质量为m1,左边沙袋B的质量为m2。
(2)取出质量为m′的砝码放在右边沙袋中,剩余砝码都放在左边沙袋中,发现A下降,B上升。(左右两侧砝码的总质量始终不变)
(3)用刻度尺测出A从静止下降的距离h,用秒表测出A下降h所用的时间t,则可知A的加速度大小a= 。
(4)改变m′,测量相应的加速度a,得到多组m′及a的数据,作出 (填“a- m′ ”或“
(5)若求得图线的斜率k=4 m/ kg·s-2,截距b=4 m/s2 。则沙袋的质量m1= kg,m2 = kg。(取g=10 m/s2)
正确答案
(3)
解析
(3)根据匀加速运动位移与时间的关系:

(4)把A、B两小球看成一个系统,合外力F合外力= (m1+m´)g-(m2+mg-m´g)=2m´g+m1g-mg-m2g=(m1+m2+m)a,
(5)由

考查方向
解题思路
1、根据匀加速直线运动的公式


易错点
对实验数据处理的方法不清楚。
知识点
11.如图所示,质量M=8 kg的小车放在水平光滑的平面上,在小车左端加一水平推力F=8 N,当小车向右运动的速度达到3 m/s时,在小车前端轻轻地放上一个大小不计,质量为m=2 kg的小物块,物块与小车间的动摩擦因数μ=0.2,小车足够长。g=10 m/s2,求:
(1)小物块放上后,小物块及小车的加速度大小;
(2)从小物块放上小车开始,在3 s内小物块通过的位移大小。
正确答案
(1)2 m/s2 0.5m/s2 (2) 8.4m
解析
(1)物块的加速度
对小车分析根据牛顿第二定律得:
(2)两者速度相同时,由
在开始2s内小物块的位移:
在接下来的1s物块与小车相对静止,一起做加速运动,根据牛顿第二定律得:

这1s内的位移
通过的总位移
考查方向
解题思路
1、首先分析物块与小车的受力情况求得合外力,再根据牛顿第二运动定律解得加速度。2、分析物块在3s内的运动类型,分阶段求解小物块运动的位移。
易错点
容易误认为物块在3s内一直做匀加速运动,忽略了不同阶段运动类型不同。
知识点
12.如图所示,四条水平虚线等间距的分布在同一竖直面上,间距均为h。在Ⅰ、Ⅱ两区间分布着完全相同,方向水平向里的匀强磁场,磁感应强度的大小按B-t图变化。现有一个长方形金属线框ABCD,质量为m,电阻为R,AB=CD=L,AD=BC=2h。用一轻质的细线把线框ABCD竖直悬挂,AB边与M2N2重合(仍位于磁场中)。t0(未知)时刻磁感应强度为B0(已知),且此时刻细线恰好松弛。之后剪断细线,当CD边到达磁场Ⅱ区的中间位置时线框恰好匀速运动。空气阻力不计,重力加速度为g。
(1)求t0的值;
(2)求线框AB边到达M4N4时的速率v;
(3)从剪断细线到整个线框通过两个磁场区域的过程中产生的热量。
正确答案
(1)

解析
(1)细线恰好松弛,线框受力分析有

因感生产生的感应电动势

联立解得
(2)线框AB边到达M4N4的过程中一直做自由落体运动
根据动能定理
解得:
(3)CD边到达磁场Ⅱ区的中间位置时线框恰好匀速运动
线框受力分析有
因CD棒切割产生的感应电动势
解法一:当CD边到达M3N3时的速度设为v2
根据动能定理
从CD边穿过磁场Ⅱ的过程中,根据能量守恒得:重力势能减少量等于线框动能变化与电热之和
解得:
解法二:线框从静止开始下落到CD边刚离开M4N4的过程中,根据能量守恒得:重力势能减少量等于线框动能变化与电热之和
解得:
(其它正确解法参考解法一给分)
考查方向
解题思路
1、首先根据感生电动势的基本公式
易错点
1、对“细线恰好松弛”的临界条件不清楚。2、对“CD边到达磁场Ⅱ区的中间位置时线框恰好匀速运动”的条件不清楚。3、对导线框在各个阶段的运动类型分析不到位。











































