- 真题试卷
- 模拟试卷
- 预测试卷
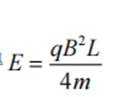
2024年是中国航天大年,神舟十八号、嫦娥六号等已陆续飞天,部分航天器装载了具有抗干扰性强的核电池。已知





正确答案
解析
考点是半衰期概念和
A.质量数、电荷数守恒

B.质量数、电荷数守恒

CD.必有一错一对。根据题意可知




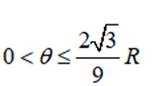
如图所示,国产人形机器人“天工”能平稳通过斜坡。若它可以在倾角不大于
正确答案
解析
考点是受力分析
容易知道倾角越大越容易下滑,在倾角不大于 30°的斜坡上稳定地站立和行走,对“天工” 沿斜面方向受力分析有
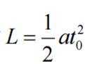
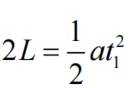
如图所示,固定的光滑斜面上有一木板,其下端与斜面上A点距离为L。木板由静止释放,若木板长度L,通过A点的时间间隔为


正确答案
解析
考点是牛顿第二定律
木板在斜面上运动时,加速度不变,木板从静止释放到下端到达 A 点的过程,根据运动学 公式有

仔细观察

检测球形滚珠直径是否合格的装置如图甲所示,将标准滚珠a与待测滚珠b、c放置在两块平板玻璃之间,用单色平行光垂直照射平板玻璃,形成如图乙所示的干涉条纹。若待测滚珠与标准滚珠的直径相等为合格,下列说法正确的是
正确答案
解析
考点是光的干涉
单色平行光垂直照射平板玻璃,上、下玻璃上表面的反射光在上玻璃上表面发生干涉,形成干涉条纹,光程差为两块玻璃距离的两倍,根据光的干涉,同一条干涉条纹位置处光的光程差相等,即滚珠 a 的直径与滚珠 b 的直径相等,即滚珠 b 合格;滚珠 c 对应的干涉条纹间距不合格。
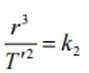
“鹊桥二号”中继星环绕月球运行,其24小时椭圆轨道的半长轴为a。已知地球同步卫星的轨道半径为r,则月球与地球质量之比可表示为
正确答案
解析
考点是开普勒第三定律
根据开普勒第三定律,对月球
同理,对地球的同步卫星
又开普勒常量与中心天体的质量成正比,所以
故
一定质量理想气体经历如图所示的循环过程,a→b过程是等压过程,b→c过程中气体与外界无热量交换,c→a过程是等温过程。下列说法正确的是
正确答案
解析
考点是热力学第一定律和理想气体实验定律
A.



吸收的热量一部分用于对外做功,另一部分用于增加内能,A 错误;
B.


故 b 到 c 过程气体的内能减少。B 错误;
C.


D.根据热力学第一定律结合上述解析可知:

故选C 。
如图所示,质量均为m的甲、乙两同学,分别坐在水平放置的轻木板上,木板通过一根原长为l的轻质弹性绳连接,连接点等高且间距为d(d<l)。两木板与地面间动摩擦因数均为μ,弹性绳劲度系数为k,被拉伸时弹性势能
正确答案
解析
考点是做功的定义
当甲所坐木板刚要离开原位置时,对甲及其所坐木板整体有
从开始拉动乙所坐木板到甲所坐木板刚要离开原位置的过程,乙所坐木板的位移为
画出外力 F 与木坂位移 x 的关系图如上图所示。则 F 所作的功为折现与 x 轴所围成的面积,
故选B
如图甲所示,在-d≤x≤d,-d≤y≤d的区域中存在垂直Oxy平面向里、磁感应强度大小为B的匀强磁场(用阴影表示磁场的区域),边长为2d的正方形线圈与磁场边界重合。线圈以y轴为转轴匀速转动时,线圈中产生的交变电动势如图乙所示。若仅磁场的区域发生了变化,线圈中产生的电动势变为图丙所示实线部分,则变化后磁场的区域可能为
正确答案
解析
考点是交流发电机的原理
根据题意可知,磁场区域变化前线圈产生的感应电动势为
由题图丙可知,磁场区域变化后,当

故选C。
甲、乙两列简谐横波在同一均匀介质中沿x轴相向传播,波速均为2m/s。t=0时刻二者在x=2m处相遇,波形图如图所示。关于平衡位置在x=2m处的质点P,下列说法正确的是()
正确答案
解析
考点是波的传播和叠加
由于波速均为
根据波形平移法可知, 



同理,在 




故选 BC。
如图所示,带电量为+q的小球被绝缘棒固定在O点,右侧有固定在水平面上、倾角为
删除AC间的距离为S,重力加速度大小为g,静电力常量为k,下列说法正确的是()
正确答案
解析
考点是库伦定律和能量守恒
AB.由 题 意 知 小 滑 块 在 B 点 处 的 加 速 度 为 零 , 则 沿 着 斜 面 受 力 分 析 有
C.因为滑到 C 点时速度为零,小滑块从 A 到 C 的过程,静电力对小滑块做的功为 W,根据功能关系有
D.根据电势差与电场强度的关系以及能量守恒可知
故选AD。
如图所示,两条相同的半圆弧形光滑金属导轨固定在水平桌面上,其所在平面竖直且平行,导轨最高点到水平桌面的距离等于半径,最低点的连线


正确答案
解析
考点是楞次定律和左手定则
当金属棒 MN 向右运动,根据右手定则可知,MN 中电流方向由 M 到 N,根据左手定则,可知金属棒 MN 受到的安培力水平向左,则安培力做负功;当金属棒 MN 向左运动,根据右手定则可知,MN 中电流方向由 N 到 M,根据左手定则,可知金属棒 MN 受到的安培力水平向右,则安培力做负功;可知 MN 运动过程中安培力始终做负功,最终停在 




故 D 正确。
故选 ABD。
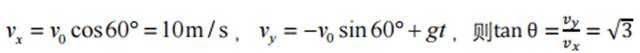
如图所示,工程队向峡谷对岸平台抛射重物,初速度



正确答案
解析
考点是运动的合成与分解
从 P 到 Q 水平方向上 



到Q点落地时,

垂直于 PQ 连线上,

结合 B 项的结论,在最高点竖直方向上

在第四次“天宫课堂”中,航天员演示了动量守恒实险。受此启发,某同学使用如图甲所示的装置进行了碰撞实验,气垫导轨两端分别安装a、b两个位移传感器,a测量滑块A与它的距离

①测量两个滑块的质量,分别为200.0g和400.0g;
②接通气源,调整气垫导轨水平;
③拨动两滑块,使A、B均向右运动;
④导出传感器记录的数据,绘制

回答以下问题:
(1)从图像可知两滑块在t=s时发生碰撞;
(2)滑块B碰撞前的速度大小v=m/s(保留2位有效数字);
(3)通过分析,得出质量为200.0g的滑块是(填“A”或“B”)。
正确答案
(1)1.0 (2)0.20 (3)B
解析
考点是动量平衡
(1)由

(2)根 据
(3)由图乙知,碰撞前 A 的速度大小




某学习小组对两种型号铅笔芯的电阻率进行测量。实验器材如下:
学生电源(输出电压0~16V)
滑动变阻器(最大阻值10Ω,额定电流2A);
电压表V(量程3V,内阻未知);
电流表A(量程3A,内阻未知);
待测铅笔芯R(X型号、Y型号);
游标卡尺,螺旋测微器,开关S,单刀双掷开关K,导线若干。
回答以下问题:
(1)使用螺旋测微器测量铅笔芯直径,某次测量结果如图甲所示,该读数为mm;
(2)把待测铅笔芯接入图乙所示电路,闭合开关S后,将滑动变阻器滑片由最右端向左调节到合适位置,将单刀双掷开关K分别掷到1、2端,观察到电压表示数变化比电流表示数变化更明显,则测量铅笔芯电阻时应将K掷到(填“1”或“删除2”)端;
(3)正确连接电路,得到Y型号铅笔芯I-U图像如图丙所示,求得电阻
(4)使用游标卡尺测得X、Y型号铅笔芯的长度分别为40.68mm、60.78mm,使用螺旋测微器测得X、Y型号铅笔芯直径近似相等,则X型号铅笔芯的电阻率(填“大于”或“小于”)Y型号铅笔芯的电阻率。
正确答案
(1)2.450
(2)1 (3)1.91
(4)大于
解析
考点是欧姆定律和电阻定律
(1)根据螺旋测微器的读数规则可知,其读数为
(2)由于电压表示数变化更明显,说明电流表内阻与铅笔芯接近,不可忽略不计,因此电流 表应采用外接法,即测量铅笔芯电阻时应将 K 掷到 1 端;
(3)根据图丙的 I-U 图像,由欧姆定律有
(4) 根据电阻定律

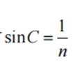
某光学组件横截面如图所示,半圆形玻璃砖圆心为O点,半径为R;直角三棱镜FG边的延长线过O点,EG边平行于AB边且长度等于R,

(1)求
(2)以
正确答案
(1)
解析
考点是光的折射定律和全反射临界角
(1)设光在三棱镜中的折射角为


(2)根据题意作出单色光第一次到达半圆弧 AMB 恰好发生全反射的光路图如下所示。
则 FE 上从 P 点到 E 点以 




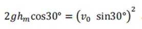
图甲为战国时期青铜汲酒器,根据其原理制作了由中空圆柱形长柄和储液罐组成的汲液器,如图乙所示。长柄顶部封闭,横截面积




(1)求x;
(2)松开孔A,从外界进入压强为
正确答案

解析
考点是理想气体实验定律
(1)由题意可知缓慢地将汲液器竖直提出液面过程只能够,气体发生等温变化,有


(2)当外界气体进入后,以所有气体为整体对象分析有 
又得题意,

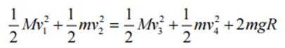
如图甲所示,质量为M的轨道静止在光滑水平面上,轨道水平部分的上表面粗糙,竖直半圆形部分的表面光滑,两部分在P点平滑连接,Q为轨道的最高点。质量为m的小物块静置在轨道水平部分上,与水平轨道间的动摩擦因数为

(1)若轨道固定,小物块以一定的初速度沿轨道运动到Q点时,受到轨道的弹力大小等于3mg,求小物块在Q点的速度大小v;
(2)若轨道不固定,给轨道施加水平向左的推力F,小物块处在轨道水平部分时,轨道加速度a与F对应关系如图乙所示。
(i)求
(ii)初始时,小物块静置在轨道最左端,给轨道施加水平向左的推力F=8N,当小物块到P点时撤去F,小物块从Q点离开轨道时相对地的速度大小为7m/s。求轨道水平部分的长度L。
正确答案
(1)

解析
考点是动量守恒定律、能量守恒定律、向心力公式
(1)根据题意可知小物块在 Q 点由向心力公式有
(2)(i)根据所给图像可知当


当外力F>4N 时,轨道与小物块有相对滑动,同理对轨道有

截距
(ii)由图乙可知,当 F=8N 时,轨道的加速度为



在
水平方向动量守恒,则有
联立解得

根据运动学公式有

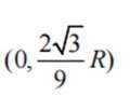
如图所示,在Oxy坐标系x>0,y>0区域内充满垂直纸面向里,磁感应强度大小为B的匀强磁场。磁场中放置一长度为L的挡板,其两端分别位于x、y轴上M、N两点,∠OMN=60°,挡板上有一小孔K位于MN中点。△OMN之外的第一象限区域存在恒定匀强电场。位于y轴左侧的粒子发生器在
(1)求使粒子垂直挡板射入小孔K的加速电压
(2)调整加速电压,当粒子以最小的速度从小孔K射出后恰好做匀速直线运动,求第一象限中电场强度的大小和方向;
(3)当加速电压为
正确答案
(1)


解析
考点是电磁复合场和运动的分解
(1)根据题意,作出粒子垂直挡板射入小孔 K 的运动轨迹如下图所示
根据几何关系可知粒子在磁场中做圆周运动的轨迹半径为
在
在匀强加速电场中由动能定理有
联立解得
(2)根据题意,当轨迹半径最小时,粒子速度最小,则作出粒子以最小的速度从小孔 K 射出的运动轨迹如图所示
根据几何关系可知粒子在磁场中做圆周运动的轨迹半径为
在



联立得
(3)
在匀强加速电场中由动能定理有
在
可得粒子在
作出从小孔 K 射出的粒子的运动轨迹如下图所示。
设P为NO中点,则BP
则

考虑运动分解,
由(2)中匀速直线运动时
则
所以作运动分解,在 
在x轴方向上,是匀速圆轴运动(只受洛伦兹力),
且由
整体合起来为螺旋运动,观家图3.1,










































































































