6. 基本再生数










正确答案
7.已知


正确答案
8.若定义在




正确答案
1. 设集合

正确答案
2.
正确答案
解析
3.6名同学到甲、乙、丙三个场馆做志愿者,每名同学只去一个场馆,甲场馆安排1名,乙场馆安排2名,丙场馆安排3买名,则不同的安排方法共有
正确答案
4.日晷是中国古代用来测量时间的仪器,利用与晷面垂直的晷针投射到晷面的影子来测定时间。把地球看成一个球(球心记为O),地球上一点A的维度是指OA与地球赤道所在平面所成角,点A 处的水平面是指过点A且与OA垂直的平面,在点A处放置一个日晷,若晷面与赤道所在平面平行,点A处的维度为北纬
正确答案
5. 某中学的学生积极参加体育锻炼,其中有96%的学生喜欢足球或游泳,60%的学生喜欢足球,82%的学生喜欢游泳,则该中学既喜欢足球又喜欢游泳的学生数占该校学生总数的比例是
正确答案
9. 已知曲线
正确答案
10. 右图是函数

正确答案
12. 信息熵是信息论中的一个重要概念,设随机变量X所有可能的值为1,2,...n,且
正确答案
11.已知a>0,b>0,且a+b=1,则
正确答案
正确答案
16.已知直四棱柱




正确答案
解析
正确答案
正确答案
17.在①



问题:是否存在



注:如果选择多个条件分别解答,按第一个解答计分.
正确答案
18.已知公比大于1的等比数列

(1)求
(2) 记





正确答案
19. 为加强环境保护,治理空气污染,环境监测部门对某市空气质量进行调研,随机抽查了100天空气中的


(1)估计事件“该市一天空气中

(2)根据所给数据,完成下面的2x2列联表:
(3)根据(2)中的列联表,判断是否有99%的把握认为该市一天空气中

附:
正确答案
20.如图,四棱锥





(1) 证明:
(2) 已知




正确答案
21.已知函数
(1)当


(2)若

正确答案
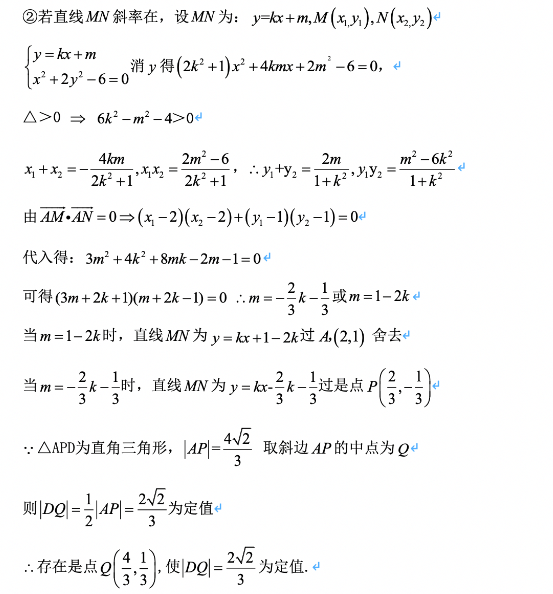
22. 已知椭圆

(1)求
(2)点




















































































