- 真题试卷
- 模拟试卷
- 预测试卷
“国之重器”是我国科技综合实力的结晶。下述材料属于金属材料的是( )
正确答案
下列化学用语或图示表达正确的是( )
正确答案
下列有关物质性质与用途对应关系错误的是( )
正确答案
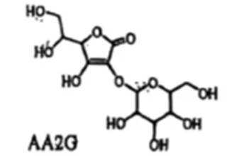
抗坏血酸葡萄糖苷(AA2G)具有抗氧化功能。下列关于AA2G的说法正确的是( )
正确答案
“机械键”是两个或多个分子在空间上穿插互锁的一种结合形式。我国科研人员合成了由两个全苯基大环分子组成的具有“机械键”的索烃,结构如图,下列说法错误的是( )
正确答案
下列对物质性质的解释错误的是( )
正确答案
下列有关反应方程式错误的是( )
正确答案
一种负热膨胀材料的立方晶胞结构如图,晶胞密度为

正确答案
一种高聚物
【答案】D
正确答案
下列实验方案不能得出相应结论的是( )
正确答案
某元素的单质及其化合物的转化关系如图,常温常压下G、J均为无色气体,J具有漂白性。阿伏加德罗常数的值为
正确答案
12.格氏试剂性质活泼,可与空气中的

下列说法错误的是( )
正确答案
我国科研人员采用图示的电解池,由百里酚(TY)合成了百里醌(TQ)。电极b表面的主要反应历程见图(灰球表示电极表面催化剂)。下列说法错误的是( )
正确答案
常温下,溶液中



已知:



下列说法错误的是( )
正确答案
某实验室制备糖精钴
已知:

(一)制备
Ⅰ.称取
Ⅱ.称取2.6g(稍过量)糖精钠(
Ⅲ.将溶液2加入到接近沸腾的溶液1中,反应3分钟后停止加热,静置,冷却结晶。
Ⅳ.过滤,依次用三种不同试剂洗涤晶体,晾干得产品。
回答下列问题:
(1)I和Ⅱ中除烧杯外,还需用到的玻璃仪器有______、______。(写出两种)
(2)Ⅲ中静置过程有少量晶体出现时,可将烧杯置于______中,以使大量晶体析出。
(3)Ⅳ中用①丙酮、②冷水、③冷的
A.①③②
B.③②①
C.②①③
(4)Ⅳ中为了确认氯离子已经洗净,取水洗时的最后一次滤液于试管中,______(将实验操作、现象和结论补充完整)。
(5)与本实验安全注意事项有关的图标有______。
A.护目镜
B.洗手
C.热烫
D.锐器
(二)结晶水含量测定
EDTA和

(6)下列操作的正确顺序为______(用字母排序)。
a.用标准溶液润洗滴定管
b.加入标准溶液至“0”刻度以上2-3mL处
c.检查滴定管是否漏水并清洗
d.赶出气泡,调节液面,准确记录读数
(7)滴定终点时消耗标准溶液VmL,则产品
正确答案
(1)量筒,玻璃棒,酒精灯(任意两个均可)
(2)冰水/冷水
(3)B
(4)先加入稀硝酸酸化,再加入
(5)ABC
(6)cabd
(7)
一种综合回收电解锰工业废盐(主要成分为
已知:①常温下


②

回答下列问题:
(1)制备废盐溶液时,为加快废盐溶解,可采取的措施有______、______。(写出两种)
(2)“沉锰Ⅰ”中,写出形成的




(3)“沉锰Ⅱ”中,过量的

(4)“沉镁Ⅰ”中,当pH为8.0-10.2时,生成碱式碳酸镁


(5)“沉镁Ⅱ”中,加

(6)“结晶”中,产物的化学式为______。
(7)“焙烧”中,Mn元素发生了______(填“氧化”或“还原”)反应。
正确答案
(1)搅拌;适当加热(答案合理即可)
(2)
(3)
(4)碱性太强,不能形成碱式碳酸镁,只能生成氢氧化镁,煅烧时无气体
(5)
(6)
(7)还原





回答下列问题:
(1)计算

(2)提高
A.高温高压
B.低温高压
C.高温低压
D.低温低压
(3)高温下

(4)100kPa下,在密闭容器中


注:
①表示
②点M温度下,反应Ⅱ的

③在550℃下达到平衡时,

正确答案
(1)-65
(2)B
(3)④;
(4)①C;②
我国某公司研发的治疗消化系统疾病的新药凯普拉生(化合物H),合成路线如下(部分试剂、反应条件省略)。
已知:
回答下列问题:
(1)A中官能团的名称是______、______。
(2)B的结构简式为______。
(3)由C转变为D的反应类型是______。
(4)同时满足下列条件的B的同分异构体有______种(不考虑立体异构)。
①含有两个甲基;②与钠反应产生氢气。
(5)由D转变为E的过程中经历了两步反应,第一步反应的化学方程式是______(要求配平)。(6)下列关于F说法正确的有______。
A.F能发生银镜反应
B.F不可能存在分子内氢键
C.以上路线中E+F→G的反应产生了氢气
D.已知醛基吸引电子能力较强,与
(7)结合合成H的相关信息,以

正确答案
(1)硝基;羟基
(2)
(3)还原反应
(4)5
(5)
(6)AC
(7)

































































