- 真题试卷
- 模拟试卷
- 预测试卷
中华传统技艺,凸显人民智慧。下列选项所涉及材料的主要成分属于合金的是( )
正确答案
在法拉第发现苯200周年之际,我国科学家首次制备了以金属M为中心的多烯环配合物。该配合物具有芳香性,其多烯环结构(如图)形似梅花。该多烯环上( )
正确答案
现代科技,增强国力,增进民生福祉。下列说法正确的是( )
正确答案
劳动创造美好生活。下列对劳动项目涉及的相关化学知识表述错误的是( )
正确答案
声波封印,材料是音乐存储技术的基础。下列说法错误的是( )
正确答案
对铁钉进行预处理,并用铜氨溶液给铁钉镀铜。下列操作不能达到实验目的的是( )
正确答案
能满足下列物质间直接转化关系,且推理成立的是( )
单质X



正确答案
下列陈述Ⅰ与陈述Ⅱ均正确,且两者间具有因果关系的是( )
正确答案
元素a~i为短周期元素,其第一电离能与原子序数的关系如图。下列说法正确的是( )
正确答案
设
正确答案
利用如图装置进行实验:打开


正确答案
CuCl微溶于水,但在




正确答案
由结构不能推测出对应性质的是( )
正确答案
一种高容量水系电池示意图如图。已知:放电时,电极Ⅱ上

正确答案
按如图组装装置并进行实验:将铜丝插入溶液中,当c中红色褪去时,将铜丝拔离液面。下列叙述错误的是( )
正确答案
某理论研究认为:燃料电池(图b)的电极Ⅰ和Ⅱ上所发生反应的催化机理示意图分别如图a和图c,其中
正确答案
(14分)酸及盐在生活生产中应用广泛。
(1)甲苯氧化可生成苯甲酸。向盛有2mL甲苯的试管中,加入几滴酸性
(2)某苯甲酸粗品含少量泥沙和氯化钠。用重结晶法提纯该粗品过程中,需要的操作及其顺序为:加热溶解、______(填下列操作编号)。
a.冷却结晶 b.常温过滤 c.蒸馏 d.趁热过滤
(3)兴趣小组测定常温下苯甲酸饱和溶液的浓度


①

②苯甲酸的
(4)该小组继续探究取代基对芳香酸酸性的影响。
①知识回顾 羧酸酸性可用

随着卤原子电负性______,羧基中的羟基______增大,酸性增强。
②提出假设 甲同学根据①中规律推测下列芳香酸的酸性强弱顺序为:
③验证假设 甲同学测得常温下三种酸的饱和溶液的pH大小顺序为Ⅲ>Ⅱ>Ⅰ,据此推断假设成立。但乙同学认为该推断依据不足,不能用所测得的pH直接判断
乙同学用(3)中方法测定了上述三种酸的
④实验小结 假设不成立,芳香环上取代基效应较复杂,①中规律不可随意推广。
(5)该小组尝试测弱酸HClO的
①丙同学认为不宜按照(3)中方法进行实验,其原因之一是次氯酸易分解。该分解反应的离子方程式为______。
②小组讨论后,选用0.100mol/LNaClO溶液(含少量NaCl)进行实验,以获得HClO的
③教师指导:设计实验方案时,需要根据物质性质,具体问题具体分析。
正确答案
(1) 紫红色褪去
(2)d、a、b
(3) ① 0.02800 ②
(4) ① 增大;极性 ② 三种酸的饱和溶液对应的浓度不同,不同浓度的酸不能用 pH 来判断酸性的强弱
(5) ① 





(14分)我国是金属材料生产大国,绿色生产是必由之路。一种从多金属精矿中提取Fe、Cu、Ni等并探究新型绿色冶铁方法的工艺如下。
已知:多金属精矿中主要含有Fe、Al、Cu、Ni、O等元素。
(1)“酸浸”中,提高浸取速率的措施有______(写一条)。
(2)“高压加热”时,生成
(3)“沉铝”时,pH最高可调至______(溶液体积变化可忽略)。已知:“滤液1”中

(4)“选择萃取”中,镍形成如图的配合物。镍易进入有机相的原因有______。
A.镍与N、O形成配位键
B.配位时
C.配合物与水能形成分子间氢键
D.烷基链具有疏水性
(5)


(6)①“700℃加热”步骤中,混合气体中仅加少量
②“电解”时,
③与传统高炉炼铁工艺相比,上述两种新型冶铁方法所体现“绿色化学”思想的共同点是______(写一条)。
正确答案
(1) 将矿物粉碎、搅拌、加热
(2) 
(3) 5
(4) AD
(5) 3:1:1
(6) ① 
②
③ 没有 
(14分)钛单质及其化合物在航空、航天、催化等领域应用广泛。
(1)基态Ti原子的价层电子排布式为______。
(2)298K下,反应


(3)以



①
②不同温度下,平衡时反应体系的组成如图。曲线Ⅰ对应的物质为______。
③温度



(4)钛基催化剂可以催化储氢物质肼
(e)
为研究某钛基催化剂对上述反应的影响,以肼的水溶液为原料(含











①


②


正确答案
(1)
(2) 能
(3) ① -267.8 ② 
(4) ① 
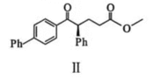
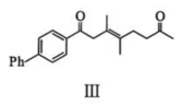
(14分)我国科学家最近在光-酶催化合成中获得重大突破,光-酶协同可实现基于三组分反应的有机合成,其中的一个反应如下(反应条件略:Ph-代表苯基
(1)化合物1a中含氧官能团的名称为______。
(2)①化合物2a的分子式为______。
②2a可与
(3)下列说法正确的有______。
A.在1a、2a和3a生成4a的过程中,有

B.在4a分子中,存在手性碳原子,并有20个碳原子采取
C.在5a分子中,有大
D.化合物5a是苯酚的同系物,且可发生原子利用率为100%的还原反应
(4)一定条件下,


(5)已知:羧酸在一定条件下,可发生类似于丙酮的
根据上述信息,分三步合成化合物Ⅱ。
①第一步,引入溴:其反应的化学方程式为______。
②第二步,进行______(填具体反应类型):其反应的化学方程式为______(注明反应条件)。
③第三步,合成Ⅱ:②中得到的含溴有机物与1a、2a反应。
(6)参考上述三组分反应,直接合成化合物Ⅲ,需要以1a、______(填结构简式)和3a为反应物。
正确答案
(1) 醛基
(2)① 
(3) AB
(4) 有 2 组峰,且峰面积比为 3:2
(5) ①
② 取代反应;
(6)








































































