- 真题试卷
- 模拟试卷
- 预测试卷
下列与生活相关的叙述中,不涉及化学变化的是( )
正确答案
下列化学用语表达错误的是( )
正确答案
下列描述不能正确地反映事实的是( )
正确答案
下列化学实验目的与相应实验示意图不相符的是( )
正确答案
下列说法错误的是( )
正确答案
某化合物的分子式为
正确答案
下列关于物质性质或应用解释错误的是( )
正确答案
如图所示的物质转化关系中,固体A与固体B研细后混合,常温下搅拌产生气体C和固体D,温度迅速下降。气体C能使湿润的红色石蕊试纸变蓝。G是一种强酸。H是白色固体,常用作钡餐。下列叙述错误的是( )
正确答案


正确答案
制备



下列说法错误的是( )
正确答案
桥头烯烃Ⅰ的制备曾是百年学术难题,下列描述正确的是( )
正确答案
某电池的正极材料为



正确答案
N和P为同主族相邻元素。下列关于物质性质或现象的解释错误的是( )
正确答案
铜(I)、乙腈(简写为L)的某水溶液体系中含铜物种的分布曲线如图。纵坐标(δ)为含铜物种占总铜的物质的量分数,总铜浓度为
正确答案
某电化学制冷系统的装置如图所示。


正确答案
(14分)氟化钠是一种用途广泛的氟化试剂,通过以下两种工艺制备:
Ⅰ
Ⅱ
已知:室温下,




回答下列问题:
(1)基态氟离子的电子排布式为_________。
(2)




(3)工艺Ⅰ中研磨引发的固相反应为

①工艺Ⅰ的固相反应_________(填“正向”或“逆向”)进行程度大。
②分析以上产率变化,推测溶解度

(4)工艺Ⅱ水浸后
(5)从滤液Ⅱ获取
a.蒸发至大量晶体析出,趁热过滤
b.蒸发至有晶膜出现后冷却结晶,过滤
(6)研磨能够促进固相反应的原因可能有_________(填标号)。
a.增大反应物间的接触面积
b.破坏反应物的化学键
c.降低反应的活化能
d.研钵表面跟反应物更好接触
正确答案
(1)

(4)
(5)a
(6)ab
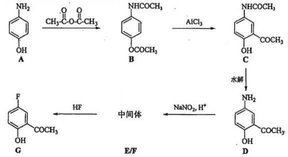
(13分)化合物G是某药物的关键原料,合成路线如下:
回答下列问题:
(1)化合物A分子内含氧官能团的名称为_________。
(2)化合物
(3)能用于分离化合物B和C的试剂为_________(填标号)。
a.
b.
c.
(4)

(5)化合物D与间的反应方程式:
用类比法,下列反应中X的结构简式为_________。
(6)E存在一种含羰基异构体F,二者处于快速互变平衡。F与
正确答案
(1)羟基/酚羟基 (2)取代,5 (3)b
(4)
(5)
(6)
(14分)某小组在探究
(1)向


①反应产生的砖红色沉淀为_________(写化学式),葡萄糖表现出_________(填“氧化”或“还原”)性。
②操作时,没有加入葡萄糖溶液就加热,有黑色沉淀生成。用化学反应方程式说明该沉淀产生的原因:_________。
(2)向

①加入盐酸的目的是_________
②同学甲一次性加入

a.
b.
c.
d.
③同学乙搅拌下分批加入






由实验结果可知,X的组成是_________(填“Ⅰ”“Ⅱ”或“Ⅲ”)。从物质形态角度分析,X为黑色的原因是_________
正确答案
(1)①
(2)①除去剩余的锌粉; ②b; ③Ⅲ,光线进入后被多次反射吸收
(14分)

(1)已知一定温度下,
则


(2)图1分别是





a.
b.
c.
d.
(3)图1中曲线_________(填“Ⅰ”“Ⅱ”或“Ⅲ”)对应的反应温度最高。
(4)研究发现





(5)









(6)已知



正确答案
(1)
(5)②,将


(6)随着反应的进行,











































































