- 真题试卷
- 模拟试卷
- 预测试卷
活字印刷术极大地促进了世界文化的交流,推动了人类文明的进步.下列“活字”字坯的主要成分为硅酸盐的是
正确答案
下列化学用语或图示正确的是
正确答案
下列图示中,实验操作或方法符合规范的是
正确答案
X是自然界中一种常见矿物的主要成分,可以通过如图所示的四步反应转化为Q(略去部分参与反应的物质和反应条件).已知X和Q的组成元素相同.
下列说法错误的是
正确答案
对于下列过程中发生的化学反应,相应离子方程式正确的是
正确答案
我国科研人员合成了一种深紫外双折射晶体材料,其由原子序数依次增大的五种短周期元素Q、W、X、Y和Z组成.基态X原子的s轨道中电子总数比p轨道中电子数多1,X所在族的族序数等于Q的质子数,基态Y和Z原子的原子核外均只有1个未成对电子,且二者核电荷数之和为Q的4倍.下列说法正确的是
正确答案
化合物M是从红树林真菌代谢物中分离得到的一种天然产物,其结构如图所示.
下列有关M的说法正确的是
正确答案
某同学设计以下实验,探究简单配合物的形成和转化.
下列说法错误的是
正确答案
自旋交叉化合物在分子开关、信息存储等方面具有潜在的应用价值.某自旋交叉化合物的结构及在氮气气氛下的热重曲线分别如图1和图2所示.该化合物的相对分子质量
下列说法正确的是
正确答案
在催化剂a或催化剂b作用下,丙烷发生脱氢反应制备丙烯,总反应的化学方程式为
(*表示吸附态,
下列说法正确的是
正确答案
可持续高分子材料在纺织、生物医用等领域具有广阔的应用前景.一种在温和条件下制备高性能可持续聚酯P的路线如图所示.
下列说法错误的是
正确答案
一种液流电解池在工作时可以实现海水淡化,并以LiCl形式回收含锂废弃物中的锂元素,其工作原理如图所示.
下列说法正确的是
正确答案
在



下列说法错误的是
正确答案
乙二胺(

















下列说法错误的是
正确答案
(14分)一种从预处理得到的贵金属合金粉[主要成分为

(1)“酸溶1”的目的是______.
(2)已知“酸溶2”中

(3)“沉铑”中得到的沉淀经“灼烧”后分解成铑单质,但夹杂少量

(4)若“活化还原”在室温下进行,





A.2.0
正确答案
(1)溶解Fe
(2)
(3)
(4)A
(5)+1价;6:1
(6)溶解过量Zn, 分离出Pt
(14分)某研究小组设计了如下实验测定某药用硫黄中硫的含量,其中硫转化的总反应为
主要实验步骤如下:
I.如右图所示,准确称取

II.室温下向①中加入适量蒸馏水,搅拌下缓慢滴加足量


III.将①中溶液全部转移至锥形瓶中,加入



Ⅳ.不加入硫黄,重复步骤Ⅰ、Ⅱ、Ⅲ做空白实验,消耗HCl标准溶液体积为
Ⅴ.平行测定三次,计算硫含量的平均值.
回答下列问题:
(1)仪器①的名称是_____;②的名称是_____.
(2)步骤Ⅰ中,乙醇的作用是_____.
(3)步骤Ⅰ中,样品完全溶解后,必须蒸馏除去乙醇的原因是_____.
(4)步骤Ⅱ中不宜采用水浴加热的原因是_____.步骤Ⅱ结束后,若要检验反应后溶液中的
(5)步骤Ⅲ中,判断滴定达到终点的现象为______.
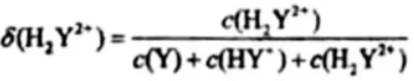
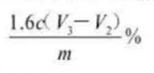
(6)单次样品测定中硫的质量分数可表示为________(写出计算式).
正确答案
(1)圆底烧瓶;球形冷凝管
(2)溶解硫黄,使反应物之间充分接触,反应发生更安全
(3)乙醇会与
(4)实验要求在

(5)滴入最后半滴HCl标准溶液,溶液恰好由黄色变为橙色,且半分钟不恢复
(6)
(15分)



反应I:
反应II:
反应III:
回答下列问题:
(1)

(2)水分子的VSEPR模型与其空间结构模型不同,原因是_______.
(3)



(4)恒压条件下,

(5)在温度分别为






(6)一定温度、





正确答案
(1)
(2)VSEPR模型考虑的是孤电子对和成键电子对,而空间结构模型只考虑成键电子对
(3)
(4)


(5)



(6)1.2 ; 70%
(15分)化合物Ⅰ具有杀虫和杀真菌活性,以下为其合成路线之一(部分反应条件已简化).
回答下列问题:
(1)Ⅰ中含氧官能团的名称是_______.
(2)A的结构简式为_______.
(3)由B生成C的化学方程式为_______.反应时,在加热搅拌下向液体B中滴加异丙醇;若改为向异丙醇中滴加B则会导致更多副产物的生成,副产物可能的结构简式为_______(写出一种即可).
(4)由D生成E的反应类型为_______.
(5)由F生成H的反应中可能生成中间体J,已知J的分子式为
(6)G的同分异构体中,含有碳氧双键的还有_______种(不考虑立体异构);其中,能发生银镜反应,且核磁共振氢谱显示为两组峰的同分异构体的结构简式为_______.
正确答案
(1)酯基,醚键
(2)
(3)
(4)取代反应
(5)
(6)6;






























































