试卷目录
1、单选题
1
2
3
4
5
6
7
8
9
2、填空题
10
11
12
13
14
15
3、简答题
16
17
18
19
20
单选题
本大题共9小题,每小题5分,共45分。在每小题给出的4个选项中,有且只有一项是符合题目要求。
1
题型:
单选题
|
分值: 5分
正确答案
C
1
题型:
单选题
|
分值: 5分
正确答案
A
1
题型:
单选题
|
分值: 5分
正确答案
D
1
题型:
单选题
|
分值: 5分
正确答案
C
1
题型:
单选题
|
分值: 5分
下列说法中错误的是( )
正确答案
B
1
题型:
单选题
|
分值: 5分
正确答案
C
1
题型:
单选题
|
分值: 5分
正确答案
B
1
题型:
单选题
|
分值: 5分
正确答案
A
1
题型:
单选题
|
分值: 5分
正确答案
A
填空题
本大题共6小题,每小题5分,共30分。把答案填写在题中横线上。
1
题型:填空题
|
分值: 5分
已知

正确答案
1
题型:填空题
|
分值: 5分
正确答案
-20
1
题型:填空题
|
分值: 5分
正确答案
2
1
题型:填空题
|
分值: 5分
小桐操场跑圈,一周2次,一次5圈或6圈。第一次跑5圈或6圈的概率均为0.5,若第一次跑5圈,则第二次跑5圈的概率为0.4,6圈的概率为0.6;若第一次跑6圈,则第二次跑5圈的概率为0.6,4圈的概率为0.4。小桐一周跑11圈的概率为__________;若一周至少跑11圈为运动量达标,则连续跑4周,记合格周数为

正确答案
0.6 3.2
1
题型:填空题
|
分值: 5分
正确答案

1
题型:填空题
|
分值: 5分
正确答案
4
简答题(综合题)
本大题共75分。简答应写出文字说明、证明过程或演算步骤。
1
题型:简答题
|
分值: 14分
(本题满分14分)
正确答案
(1)
(2)c=3
(3)
1
题型:简答题
|
分值: 15分
(本题满分15分)
正确答案
(2)
(3)
1
题型:简答题
|
分值: 15分
(本题满分15分)
已知椭圆







(1)求椭圆的方程;
(2)过点P的直线与椭圆有唯一交点B(异于点A),求证:
正确答案
(1)
1
题型:简答题
|
分值: 15分
(本题满分15分) 


正确答案
(1)
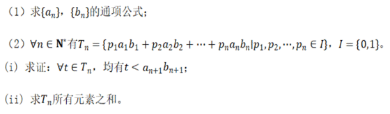
(2)
(ii)
1
题型:简答题
|
分值: 16分
(本题满分16分)已知函数
(1)a=1时,求f(x)在点(1,f(1))处的切线方程;
(2)f(x)有


(i)求
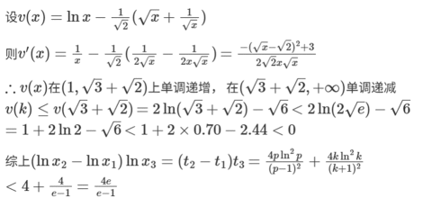
(ii)证明:
正确答案
(1)y=x
(2)(i)

























































