- 真题试卷
- 模拟试卷
- 预测试卷
2. 高分子材料在生产生活中应用广泛。下列说法错误的是
正确答案
解析
【详解】A芦苇中含有天然纤维素,可用于制造黏胶纤维,故A正确;
B聚氯乙烯在高温条件下会分解生成有毒气体,因此不能用于制作不粘锅的耐热涂层,故B错误;
C淀粉为多糖,属于天然高分子物质,其相对分子质量可达几十万,故C正确;
D大豆蛋白纤维的主要成分为蛋白质,能够被微生物分解,因此大豆蛋白纤维是一种可降解材料,故D正确;
综上所述,说法错误的是B项,故答案为B。
10. 关于非金属含氧酸及其盐的性质,下列说法正确的是
正确答案
解析
【详解】A浓硫酸能使蔗糖炭化,体现的是其脱水性,而不是吸水性,A错误;
B NaClO在水溶液中会发生水解,离子方程式为:

C HI的沸点低,易挥发加热


D相同条件下根据铜与浓硝酸、稀硝酸反应的剧烈程度可知,浓硝酸的氧化性大于稀硝酸的氧化性,D错误;
故选B。
9. K—O2电池结构如图,a和b为两个电极,其中之一为单质钾片。关于该电池,下列说法错误的是
正确答案
解析
由图可知,a电极为原电池的负极,单质钾片失去电子发生氧化反应生成钾离子,电极反应式为K—e-=K+,b电极为正极,在钾离子作用下,氧气在正极得到电子发生还原反应生成超氧化钾;据以上分析解答。
【详解】A金属性强的金属钾易与氧气反应,为防止钾与氧气反应,电池所选择隔膜应允许

B由分析可知,放电时,a为负极,b为正极,电流由b电极沿导线流向a电极,充电时,b电极应与直流电源的正极相连,做电解池的为阳极,故B正确;
C由分析可知,生成1mol超氧化钾时,消耗1mol氧气,两者的质量比值为1mol×71g/mol:1mol×32g/mol≈2.22:1,故C正确;
D铅酸蓄电池充电时的总反应方程式为2PbSO4+2H2O=PbO2+Pb+2H2SO4,反应消耗2mol水,转移2mol电子,由得失电子数目守恒可知,耗

故选D
1. “灌钢法”是我国古代劳动人民对钢铁冶炼技术的重大贡献,陶弘景在其《本草经集注》中提到“钢铁是杂炼生鍒作刀镰者”。“灌钢法”主要是将生铁和熟铁(含碳量约0.1%)混合加热,生铁熔化灌入熟铁,再锻打成钢。下列说法错误的是
正确答案
解析
【详解】A钢是含碳量低的铁合金,故A正确;
B钢的硬度和脆性与含碳量有关,随着含碳量的增大而增大,故正确;
C由题意可知,生铁熔化灌入熟铁,再锻打成钢,说明生铁的熔点低于熟铁,故C错误;
D赤铁矿的主要成分是Fe2O3,可用于冶炼铁,故D正确;
故选C。
3. 下列操作规范且能达到实验目的的是
正确答案
解析
【详解】A氢氧化钠溶液呈碱性,因此需装于碱式滴定管,氢氧化钠溶液与醋酸溶液恰好完全反应后生成的醋酸钠溶液呈碱性,因此滴定过程中选择酚酞作指示剂,当溶液由无色变为淡红色时,达到滴定终点,故A选;
B测定中和热实验中温度计用于测定溶液温度,因此不能与烧杯内壁接触,并且大烧杯内空隙需用硬纸板填充,防止热量散失,故B不选;
C容量瓶为定容仪器,不能用于稀释操作,故C不选;
D分液过程中长颈漏斗下方放液端的长斜面需紧贴烧杯内壁,防止液体留下时飞溅,故D不选;
综上所述,操作规范且能达到实验目的的是A项,故答案为A。
4. 硫和氮及其化合物对人类生存和社会发展意义重大,但硫氧化物和氮氧化物造成的环境问题也日益受到关注,下列说法正确的是
正确答案
解析
【详解】A 

B 汽车尾气的主要大气污染物为C与N的氧化物,如NOx和CO等,B错误;
C 氮的固定是指将游离态的氮元素转化为化合态,且植物可吸收土壤中的铵根离子或硝酸根离子作为肥料,不能直接吸收空气中的氮氧化物,C错误;
D 工业废气中的
故选D。
5. 用中子轰击





正确答案
解析
根据核反应为:

【详解】A 


B Y为Li,在空气中燃烧的产物只有Li2O,B错误;
C X为B,与氢元素会形成BH3或B2H4等硼氢化合物,B元素与H元素以共价键结合,属于共价化合物,C错误;
D 

故选A。
6. BiOCl是一种具有珠光泽的材料,利用金属Bi制备BiOCl的工艺流程如图:
下列说法错误的是
正确答案
解析
【详解】A硝酸为强氧化剂,可与金属铋反应,酸浸工序中分次加入稀
B金属铋与硝酸反应生成的硝酸铋会发生水解反应生成



C氯化铋水解生成



D氯化铋水解生成





故选D。
7. NA是阿伏加德罗常数的值,下列说法错误的是
正确答案
解析
【详解】A在标准状况下


B碘蒸气与氢气发生的反应为:

C电解饱和食盐水时电极总反应为:2NaCl+2H2O



D








故选C
8. 苯并降冰片烯是一种重要的药物合成中间体,结构简式如图。关于该化合物,下列说法正确的是
正确答案
解析
【详解】A苯的同系物必须是只含有1个苯环,侧链为烷烃基的同类芳香烃,由结构简式可知,苯并降冰片烯的侧链不是烷烃基,不属于苯的同系物,故A错误;
B由结构简式可知,苯并降冰片烯分子中苯环上的6个碳原子和连在苯环上的2个碳原子共平面,共有8个碳原子,故B正确;
C由结构简式可知,苯并降冰片烯分子的结构上下对称,分子中含有5类氢原子,则一氯代物有5种,故C错误;
D苯环不是单双键交替的结构,由结构简式可知,苯并降冰片烯分子中只含有1个碳碳双键,故D错误;
故选B。
13. 室温下,某溶液初始时仅溶有M和N且浓度相等,同时发生以下两个反应:①M+N=X+Y;②M+N=X+Z,反应①的速率可表示为v1=k1c2(M),反应②的速率可表示为v2=k2c2(M) (k1、k2为速率常数)。反应体系中组分M、Z的浓度随时间变化情况如图,下列说法错误的是
正确答案
解析
【详解】A由图中数据可知,











B由题中信息可知,反应①和反应②的速率之比为

C结合A、B的分析可知因此反应开始后,在相同的时间内体系中Y和Z的浓度之比等于



D由以上分析可知,在相同的时间内生成Z较多、生成Y较少,因此,反应①的化学反应速率较小,在同一体系中,活化能较小的化学反应速率较快,故反应①的活化能比反应②的活化能大,D说法正确。
综上所述,相关说法不正确的只有A,故本题选A。
12. 番木鳖酸具有一定的抗炎、抗菌活性,结构简式如图。下列说法错误的是
正确答案
解析
【详解】A根据分子的结构简式可知,1 mol该分子中含有1mol -COOH,可与


B 1mol分子中含5mol羟基和1mol羧基,其中羟基和羧基均能与Na发生置换反应产生氢气,而只有羧基可与氢氧化钠发生中和反应,所以一定量的该物质分别与足量

C 

D分子中含碳碳双键和羟基,均能被酸性
故选BC。
11. 如图所示的两种化合物可应用于阻燃材料和生物材料的合成。其中W、X、Y、Z为原子序数依次增大的短周期元素,X和Z同主族,Y原子序数为W原子价电子数的3倍。下列说法正确的是
正确答案
解析
结合图中所示结构可知图中两种化合物均为共价化合物,已知X和Z同主族,可得X和Z同为第ⅦA族,Y为第ⅤA族元素,W为第ⅢA族或第ⅤA族元素,再结合W、X、Y、Z为原子序数依次增大的短周期元素, Y原子序数为W原子价电子数的3倍推知W、X、Y、Z分别为N、F、P、Cl,据此答题。
【详解】A X和Z分别是F、Cl,F无正价,A错误;
B 

C 四种元素W(N)、X(F)、Y(P)、Z(Cl)中,W(N)、X(F)有两个电子层,Y(P)、Z(Cl)有三个电子层,半径大于W(N)和X(F),Y(P)原子序数小于Z(Cl),故Y原子半径在这四种元素中最大;X(F)原子序数大于W(N),故X原子半径在这四种元素中最小,C正确;
D Z(Cl)、W(N)和氢三种元素可形成氯化铵,属于同时含有离子键和共价键的化合物,D正确;
故选CD。
14. 化工专家侯德榜发明的侯氏制碱法为我国纯碱工业和国民经济发展做出了重要贡献,某化学兴趣小组在实验室中模拟并改进侯氏制碱法制备NaHCO3,进一步处理得到产品Na2CO3和NH4Cl,实验流程如图:
回答下列问题:
(1)从A~E中选择合适的仪器制备NaHCO3,正确的连接顺序是___(按气流方向,用小写字母表示)。为使A中分液漏斗内的稀盐酸顺利滴下,可将分液漏斗上部的玻璃塞打开或___。
正确答案
(1). aefbcgh (2). 将玻璃塞上的凹槽对准漏斗颈部的小孔 (3). 使氨盐水雾化,可增大与二氧化碳的接触面积,从而提高产率(或其他合理答案) (4). NH3
解析
根据工艺流程知,浓氨水中加入氯化钠粉末形成饱和氨盐水后,再通入二氧化碳气体,发生反应:NH3

【详解】(1)根据分析可知,要制备


(2)B中使用雾化装置使氨盐水雾化,可增大与二氧化碳的接触面积,从而提高产率;
(3)根据上述分析可知,生成

(4)①对固体












②根据溶解度虽温度的变化曲线可以看出,氯化铵的溶解度随着温度的升高而不断增大,而氯化钠的溶解度随着温度的升高变化并不明显,所以要想使
(5)称量前,若无水


15. 绿色化学在推动社会可持续发展中发挥着重要作用。某科研团队设计了一种熔盐液相氧化法制备高价铬盐的新工艺,该工艺不消耗除铬铁矿、氢氧化钠和空气以外的其他原料,不产生废弃物,实现了Cr—Fe—Al—Mg的深度利用和Na+内循环。工艺流程如图:
回答下列问题:
(1)高温连续氧化工序中被氧化的元素是_______(填元素符号)。
(2)工序①的名称为__。
(3)滤渣的主要成分是__(填化学式)。
(4)工序③中发生反应的离子方程式为_______。
(5)物质V可代替高温连续氧化工序中的NaOH,此时发生的主要反应的化学方程式为__,可代替NaOH的化学试剂还有_______(填化学式)。
(6)热解工序产生的混合气体最适宜返回工序_______(填“①”或“②”或“③”或“④”)参与内循环。
(7)工序④溶液中的铝元素恰好完全转化为沉淀的pH为__。(通常认为溶液中离子浓度小于10-5mol•L-1为沉淀完全;A1(OH)3+OH-⇌Al(OH)
正确答案
(1). Fe、Cr (2). 溶解浸出 (3). MgO、Fe2O3 (4). 2Na++2


解析
由题给流程可知,铬铁矿、氢氧化钠和空气在高温下连续氧化发生的反应为,在熔融氢氧化钠作用下,Fe(CrO2)2被氧气高温氧化生成铬酸钠和氧化铁,氧化铝与熔融氢氧化钠反应转化为偏铝酸钠,氧化镁不反应;将氧化后的固体加水溶解,过滤得到含有氧化镁、氧化铁的滤渣1和含有过量氢氧化钠、铬酸钠、偏铝酸钠的滤液;将滤液在介稳态条件下分离得到铬酸钠溶液、氢氧化钠溶液和偏铝酸钠溶液;向铬酸钠溶液中通入过量的二氧化碳得到重铬酸钠和碳酸氢钠沉淀;向偏铝酸钠溶液中通入过量的二氧化碳气体得到氢氧化铝沉淀和碳酸氢钠;向滤渣1中通入二氧化碳和水蒸气,氧化镁与二氧化碳和水蒸气反应转化为碳酸氢镁溶液;碳酸氢镁溶液受热分解得到碳酸镁固体和二氧化碳、水蒸气,二氧化碳、水蒸气可以在工序②循环使用;碳酸镁高温煅烧得到氧化镁。
【详解】(1)由分析可知,高温连续氧化工序中被氧化的元素是铁元素和铬元素,故答案为:Fe、Cr;
(2)由分析可知,工序①为将氧化后的固体加水溶解浸出可溶性物质,故答案为:溶解浸出;
(3)由分析可知,滤渣Ⅰ的主要成分是氧化铁和氧化镁,故答案为:MgO、Fe2O3;
(4)工序③中发生的反应为铬酸钠溶液与过量的二氧化碳反应生成重铬酸钠和碳酸氢钠沉淀,反应的离子方程式为2Na++2



(5)碳酸氢钠代替高温连续氧化工序中的氢氧化钠发生的主要反应为高温下,,Fe(CrO2)2与氧气和碳酸氢钠反应生成铬酸钠、氧化铁、二氧化碳和水,反应的化学方程式为4Fe(CrO2)2+ 7O2+16NaHCO3

(6)热解工序产生的混合气体为二氧化碳和水蒸气,将混合气体通入滤渣1中可以将氧化镁转化为碳酸氢镁溶液,则混合气体最适宜返回工序为工序②,故答案为:②;
(7)工序④溶液中的铝元素恰好完全转化为沉淀的反应为






17. 【选修3:物质结构与性质】KH2PO4晶体具有优异的非线性光学性能。我国科学工作者制备的超大KH2PO4晶体已应用于大功率固体激光器,填补了国家战略空白。回答下列问题:
(1)在KH2PO4的四种组成元素各自所能形成的简单离子中,核外电子排布相同的是__(填离子符号)。
(2)原子中运动


(3)已知有关氨、磷的单键和三键的键能(kJ•mol-1)如表:
从能量角度看,氮以N2、而白磷以P4(结构式可表示为
(4)已知KH2PO4是次磷酸的正盐,H3PO2的结构式为___,其中P采取___杂化方式。
(5)与PO
(6)磷酸通过分子间脱水缩合形成多磷酸,如:
如果有n个磷酸分子间脱水形成环状的多磷酸,则相应的酸根可写为___。
(7)分别用○、●表示H2PO

①若晶胞底边的边长均为apm、高为cpm,阿伏加德罗常数的值为NA,晶体的密度__g•cm-3(写出表达式)。
②晶胞在x轴方向的投影图为__(填标号)。
正确答案
(1). 






解析
【详解】(1)在







(2)对于基态的磷原子,其价电子排布式为


(3)根据表中的相关共价键的键能可知,若6mol N形成类似白磷分子结构的N4分子,可以释放出的能量为193kJ6=1158kJ;若6mol N形成N2分子,则可释放的能量为946kJ2=1892kJ,显然,形成N2分子放出的能量更多,故在N数目相同的条件下,N2具有更低的能量,能量越低越稳定。同理,若6mol P形成
(4)含氧酸分子中只有羟基上的H可以电离;由


(5)等电子体之间的原子总数和价电子总数都相同,根据前加后减、前减后加、总数不变的原则,可以找到与
(6)由题中信息可知,n个磷酸分子间脱去(n-1)个水分子形成链状的多磷酸,因此,如果有n个磷酸分子间脱水形成环状的多磷酸,则可脱去n个水分子得到(HPO3)n,其失去

(7)①由晶胞结构可知,











②由图(a)、(b)、(c)可知,晶胞在x轴方向的投影图为
16. 当今,世界多国相继规划了碳达峰、碳中和的时间节点。因此,研发二氧化碳利用技术,降低空气中二氧化碳含量成为研究热点。
(1)大气中的二氧化碳主要来自于煤、石油及其他含碳化合物的燃烧。已知25℃时,相关物质的燃烧热数据如表:

(2)雨水中含有来自大气的CO2,溶于水中的CO2进一步和水反应,发生电离:
①CO2(g)=CO2(aq)
②CO2(aq)+H2O(l)=H+(aq)+HCO
25℃时,反应②的平衡常数为K2。
溶液中CO2的浓度与其在空气中的分压成正比(分压=总压×物质的量分数),比例系数为ymol•L-1•kPa-1,当大气压强为pkPa,大气中CO2(g)的物质的量分数为x时,溶液中H+浓度为________mol•L-1(写出表达式,考虑水的电离,忽略HCO
(3)105℃时,将足量的某碳酸氢盐(MHCO3)固体置于真空恒容容器中,存在如下平衡:2MHCO3(s)
保持温度不变,开始时在体系中先通入一定量的CO2(g),再加入足量MHCO3(s),欲使平衡时体系中水蒸气的分压小于5kPa,CO2(g)的初始压强应大于________kPa。
(4)我国科学家研究Li—CO2电池,取得了重大科研成果,回答下列问题:
①Li—CO2电池中,Li为单质锂片,则该电池中的CO2在___(填“正”或“负”)极发生电化学反应。研究表明,该电池反应产物为碳酸锂和单质碳,且CO2电还原后与锂离子结合形成碳酸锂按以下4个步骤进行,写出步骤Ⅲ的离子方程式。
Ⅰ.2CO2+2e-=C2O

Ⅲ.__________ Ⅳ.CO
②研究表明,在电解质水溶液中,CO2气体可被电化学还原。
Ⅰ.CO2在碱性介质中电还原为正丙醇(CH3CH2CH2OH)的电极反应方程式为_________。
Ⅱ.在电解质水溶液中,三种不同催化剂(a、b、c)上CO2电还原为CO的反应进程中(H+被还原为H2的反应可同时发生),相对能量变化如图.由此判断,CO2电还原为CO从易到难的顺序为_______(用a、b、c字母排序)。
正确答案
(1). 6C(石墨,s)+3H2(g)= C6H6(l) 





解析
【详解】(1)根据表格燃烧热数据可知,存在反应①C(石墨,s)+O2(g)=CO2(g) 




















(2)由题可知,①CO2(s)










(3)2MHCO3(s)





(4)①由题意知,Li-CO2电池的总反应式为:4Li+3CO2=2Li2CO3+C,CO2发生得电子的还原反应,则CO2作为电池的正极;CO2还原后与Li+结合成Li2CO3,按4个步骤进行,由步骤II可知生成了C





②I.CO2在碱性条件下得电子生成CH3CH2CH2OH,根据电子守恒和电荷守恒写出电极反应式为:12CO2+18e-+4H2O=CH3CH2CH2OH+9C

II.c催化剂条件下,CO2电还原的活化能小于H+电还原的活化能,更容易发生CO2的电还原;而催化剂a和b条件下,CO2电还原的活化能均大于H+电还原的活化能,相对来说,更易发生H+的电还原。其中a催化剂条件下,H+电还原的活化能比CO2电还原的活化能小的更多,发生H+电还原的可能性更大,因此反应从易到难的顺序为c、b、a,故答案为:c、b、a。
(二)选考题:共15分。请考生从2道题中任选一题作答,并用2B铅笔将答题卡上所选题目对应的题号右侧方框涂黑,按所涂题号进行评分;多涂、多答,按所涂的首题进行评分;不涂,按本选考题的首题进行评分。
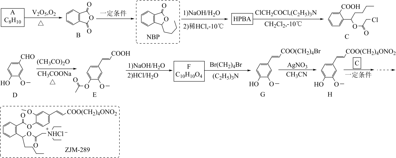
18. 【选修5:有机化学基础】丁苯酞(NBP)是我国拥有完全自主知识产权的化学药物,临床上用于治疗缺血性脑卒中等疾病。ZJM—289是一种NBP开环体(HPBA)衍生物,在体内外可经酶促或化学转变成NBP和其它活性成分,其合成路线如图:
已知信息:

回答下列问题:
(1)A的化学名称为___。
(2)D有多种同分异构体,其中能同时满足下列条件的芳香族化合物的结构简式为___、___。
①可发生银镜反应,也能与FeCl3溶液发生显色反应;
②核磁共振氢谱有四组峰,峰面积比为1∶2∶2∶3。
(3)E→F中(步骤1)的化学方程式为__。
(4)G→H的反应类型为___。若以NaNO3代替AgNO3,则该反应难以进行,AgNO3对该反应的促进作用主要是因为__。
(5)HPBA的结构简式为__。通常酯化反应需在酸催化、加热条件下进行,对比HPBA和NBP的结构,说明常温下HPBA不稳定、易转化为NBP的主要原因___。
(6)W是合成某种抗疟疾药物的中间体类似物。设计由2,4—二氯甲苯(

正确答案
(1). 邻二甲苯 (2). 



解析
【详解】(1)A的分子式为C8H10,不饱和度为4,说明取代基上不含不饱和键,A与O2在V2O5作催化剂并加热条件下生成

(2)




(3)E→F中步骤1)为



(4)观察流程可知,G→H的反应为

(5)NBP(






(6)由

































