试卷目录
1、单选题
1
2
3
4
5
6
7
8
9
10
2、简答题
11
12
13
14
15
16
17
单选题
本大题共10小题,每小题4分,共40分。在每小题给出的4个选项中,有且只有一项是符合题目要求。
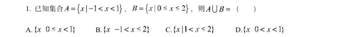
1
题型:
单选题
|
分值: 4分
正确答案
B
1
题型:
单选题
|
分值: 4分
正确答案
D
1
题型:
单选题
|
分值: 4分
正确答案
A
1
题型:
单选题
|
分值: 4分
正确答案
A
1
题型:
单选题
|
分值: 4分
正确答案
B
1
题型:
单选题
|
分值: 4分
正确答案
C
1
题型:
单选题
|
分值: 4分
正确答案
D
1
题型:
单选题
|
分值: 4分
正确答案
B
1
题型:
单选题
|
分值: 4分
正确答案
C
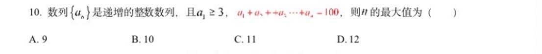
1
题型:
单选题
|
分值: 4分
正确答案
C
简答题(综合题)
本大题共235分。简答应写出文字说明、证明过程或演算步骤。
1
题型:简答题
|
分值: 25分
正确答案
1
题型:简答题
|
分值: 25分
正确答案
1
题型:简答题
|
分值: 25分
正确答案
1
题型:简答题
|
分值: 25分
正确答案
1
题型:简答题
|
分值: 25分
正确答案
1
题型:简答题
|
分值: 25分
正确答案
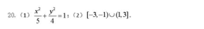
1
题型:简答题
|
分值: 85分
























