试卷目录
1、单选题
1
2
3
4
5
6
7
8
2、多选题
9
10
11
3、填空题
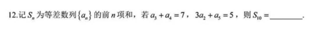
12
13
14
4、简答题
15
16
17
18
19
单选题
本大题共8小题,每小题5分,共40分。在每小题给出的4个选项中,有且只有一项是符合题目要求。
1
题型:
单选题
|
分值: 5分
正确答案
C
1
题型:
单选题
|
分值: 5分
正确答案
B
1
题型:
单选题
|
分值: 5分
正确答案
B
1
题型:
单选题
|
分值: 5分
正确答案
C
1
题型:
单选题
|
分值: 5分
正确答案
A
1
题型:
单选题
|
分值: 5分
正确答案
D
1
题型:
单选题
|
分值: 5分
正确答案
B
1
题型:
单选题
|
分值: 5分
正确答案
C
多选题
本大题共3小题,每小题6分,共18分。在每小题给出的4个选项中,有多项符合题目要求,全对得6分,选对但不全得3分,有选错的得0分。
1
题型:
多选题
|
分值: 6分
正确答案
B,C
1
题型:
多选题
|
分值: 6分
正确答案
A,B,D
1
题型:
多选题
|
分值: 6分
正确答案
A,D
填空题
本大题共3小题,每小题5分,共15分。把答案填写在题中横线上。
1
题型:填空题
|
分值: 5分
正确答案
95
1
题型:填空题
|
分值: 5分
正确答案
1
题型:填空题
|
分值: 5分
正确答案
24;58
简答题(综合题)
本大题共77分。简答应写出文字说明、证明过程或演算步骤。
1
题型:简答题
|
分值: 13分
正确答案
1
题型:简答题
|
分值: 15分
正确答案
1
题型:简答题
|
分值: 15分
正确答案
(2)正弦值为0
1
题型:简答题
|
分值: 17分
正确答案
(1)0.686
(2)(i)乙
(ii)甲
1
题型:简答题
|
分值: 17分































































