- 真题试卷
- 模拟试卷
- 预测试卷
按物质组成分类,
正确答案
解析



下列说法不正确的是
正确答案
解析
选项A.
选项B.



选项C.

选项D.见光易分解的物质应保存在棕色试剂瓶中;
综上所述,本题选A。
下列表示不正确的是
正确答案
解析
选项A.

选项B.

选项C.



选项D.3,3-二甲基戊烷的主链上有5个C,3号碳上连接有2个甲基,键线式为:
故选A。
下列说法不正确的是
正确答案
解析
选项A.铜与浓硫酸反应方程式为:


选项B.图②标识表示易燃类物质,故B正确;
选项C.
选项D.萃取是利用物质在不同溶剂中溶解性的差异进行分离混合物,装置④可用于从碘水中萃取碘,故D正确;
故选C。
化学与人类社会可持续发展息息相关。下列说法不正确的是
正确答案
解析
选项A.根据金属活泼性的不同,可以采用不同的方法冶炼金属,大部分金属(主要是中等活泼的金属)的冶炼是通过高温下发生氧化还原反应来完成的,即热还原法,常用的还原剂有焦炭、CO、
选项B.煤的气化是将煤转化为可燃性气体的过程,主要发生的反应为
选项C.维生素C(即抗坏血酸)具有还原性,能被氧化成脱氢抗坏血酸,故制作水果罐头时加入维生素C作抗氧化剂,可延长保质期,C项正确;
选项D.混凝剂聚合氯化铝在污水中能水解成

利用


正确答案
解析
选项A.由题中信息可知,利用


选项B.




选项C.该反应中,还原剂


选项D.




综上所述,本题选C。
物质微观结构决定宏观性质,进而影响用途。下列结构或性质不能解释其用途的是
正确答案
解析
选项A.石墨呈层状结构,层间以范德华力结合,该作用力较小,层与层容易滑动,石墨可用作润滑剂,A正确;
选项B.
选项C.聚丙烯酸钠(

选项D.冠醚18-冠-6空腔直径





故选B。
下列离子方程式正确的是
正确答案
解析
选项A.

选项B.酸性条件下








选项C.电离平衡常数:



选项D.Cu与


有机物A经元素分析仪测得只含碳、氢、氧3种元素,红外光谱显示A分子中没有醚键,质谱和核磁共振氢谱示意图如下。下列关于A的说法正确的是
正确答案
解析
由质谱图可知,有机物A相对分子质量为60,A只含C、H、O三种元素,因此A的分子式为


选项A.A为
选项B.A中官能团为羟基,不能与

选项C.

选项D.

故选D。
X、Y、Z、M四种主族元素,原子序数依次增大,分别位于三个不同短周期,Y与M同主族,Y与Z核电荷数相差2,Z的原子最外层电子数是内层电子数的3倍。下列说法不正确的是
正确答案
解析
X、Y、Z、M四种主族元素,原子序数依次增大,分别位于三个不同短周期,Y与M同主族,Y与Z核电荷数相差2,Z的原子最外层电子数是内层电子数的3倍,则Z为O元素,Y为C元素,X为H元素,M为Si元素。
选项A.










选项B.


选项C.金则石和晶体硅均为共价晶体,但是由于C的原子半径小于Si,因此,C—C键的键能大于Si—Si键的,故共价晶体熔点较高的是金刚石,C正确;
选项D.元素的非金属性越强,其气态氢化物的热稳定性越强;C的非金属性强于Si,因此,甲烷的稳定热稳定性较高,D正确;
综上所述,本题选B。
二氧化碳氧化乙烷制备乙烯,主要发生如下两个反应:
I.
II.
向容积为



正确答案
解析
选项A.由表可知,相同温度下,乙烷在发生转化时,反应Ⅰ更易发生,则反应活化能:Ⅰ<Ⅱ,A正确;
选项B.由表可知,




选项C.其他条件不变,平衡后及时移除
选项D.其他条件不变,增大投料比


丙烯可发生如下转化(反应条件略):
下列说法不正确的是
正确答案
解析
丙烯与HOCl发生加成反应得到M,M有






选项A. 据分析,产物M有2种且互为同分异构体(不考虑立体异构),A正确;
选项B. 据分析,
选项C.从题干
选项D. Y→P是

故选D。
金属腐蚀会对设备产生严重危害,腐蚀快慢与材料种类、所处环境有关。下图为两种对海水中钢闸门的防腐措施示意图:
下列说法正确的是
正确答案
解析
选项A.图1为牺牲阳极的阴极瓮中保护法,牺牲阳极一般为较活泼金属,其作为原电池的负极,其失去电子被氧化;图2为外加电流的阴极保护法,阳极材料为辅助阳极,其通常是惰性电极,其本身不失去电子,电解质溶液中的阴离子在其表面失去电子,如海水中的
选项B.图2中,外加电压偏高时,钢闸门表面积累的电子很多,除了海水中的


选项C.图2为外加电流的阴极保护法,理论上只要能对抗钢闸门表面的腐蚀电流即可,当钢闸门表面的腐蚀电流为零时保护效果最好;腐蚀电流会随着环境的变化而变化,若外加电压保持恒定不变,则不能保证抵消腐蚀电流,不利于提高对钢闸门的防护效果,C不正确;
选项D.图1、图2中,当钢闸门表面的腐蚀电流为零时,说明从牺牲阳极或外加电源传递过来的电子阻止了
综上所述,本题选B。






正确答案
解析
选项A.该结构中,如图

选项B.
选项C.




选项D.


故选A。
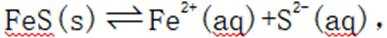
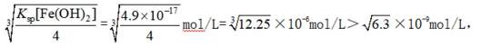
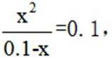
室温下,



下列说法正确的是
正确答案
解析
在







选项A.








选项B.酚酞的变色范围为8.2~10,若以酚酞为指示剂,用NaOH标准溶液滴定
选项C.






选项D.





为探究化学平衡移动的影响因素,设计方案并进行实验,观察到相关现象。其中方案设计和结论都正确的是
正确答案
解析
选项A.



选项B.反应


选项C.反应
选项D.催化剂只会改变化学反应速率,不影响平衡移动,D错误;
氧是构建化合物的重要元素。请回答:
(1)某化合物的晶胞如图1,

(2)下列有关单核微粒的描述正确的是_______。
A. 
B. 

C. 
D. 



(3)化合物

①


②已知

正确答案
(1)①. 12 ②.
(2)AB
(3) ①. 





选AB。
(3)①O、S、Se的电负性逐渐减小,键的极性:C=O>C=S>C=Se,使得HA、HB、HC中羟基的极性逐渐增大,从而其中羟基与水形成的氢键由强到弱的顺序为HC>HB>HA;
②HC、HD钠盐的碱性NaC>NaD,说明酸性HC<HD,原因是:S的原子半径大于O的原子半径,S—H键的键能小于O—H键,同时HC可形成分子间氢键,使得HD比HC更易电离出


解析
(1)由晶胞结构知,Cl位于8个顶点,O位于体心,K位于面心,1个晶胞中含Cl:









(2)选项A.根据原子核外电子排布规律,基态Ar原子的电子排布方式只有
选项B.Na的第二电离能指气态基态



选项C.Ge的原子序数为32,基态Ge原子的简化电子排布式为
选项D.基态Fe原子的价电子排布式为

矿物资源的综合利用有多种方法,如铅锌矿(主要成分为
已知:①
②电解前后

请回答:
(1)根据富氧煅烧(在空气流中煅烧)和通电电解(如图)的结果,




(2)下列说法正确的是_______。
A. 电解池中发生的总反应是
B. 产物B主要是铅氧化物与锌氧化物
C.
D. 
(3)D的结构为
①实验方案:取D的溶液,加入足量
②写出D(用

正确答案
(1) ①. 还原性 ②.

(2)AB
(3) ①. 加入足量



解析
铅锌矿(主要成分为





(1)根据富氧煅烧和通电电解的结果,










(2)选项A. 根据图示和已知②可知,电解池中阳极上





选项B. 据分析,铅锌矿(主要成分为

选项C. 据分析,化合物C是



选项D. 

故选AB。
(3)①D的结构为




②D(用

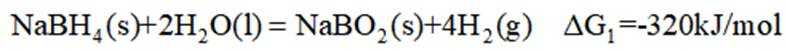
氢是清洁能源,硼氢化钠

请回答:
(1)该反应能自发进行的条件是_______。
A. 高温 B. 低温 C. 任意温度 D. 无法判断
(2)该反应比较缓慢。忽略体积变化的影响,下列措施中可加快反应速率的是_______。
A. 升高溶液温度 B. 加入少量异丙胺
C. 加入少量固体硼酸
(3)为加速

(4)氢能的高效利用途径之一是在燃料电池中产生电能。某研究小组的自制熔融碳酸盐燃料电池工作原理如图2所示,正极上的电极反应式是_______。该电池以


[已知:该条件下

(5)资源的再利用和再循环有利于人类的可持续发展。选用如下方程式,可以设计能自发进行的多种制备方法,将反应副产物偏硼酸钠(




I.
II.
III.
请书写一个方程式表示



正确答案
(1)C (2)A
(3)随着投料比

(4) ①. 
(5)
选A。
(3)随着投料比

(4)根据题干信息,该燃料电池中








(5)结合题干信息,要使得氢原子利用率为100%,可由(2×反应3)-(2×反应Ⅱ+反应Ⅰ)得
解析
(1)反应

(2)选项A.升高温度,活化分子数增多,有效碰撞几率增大,反应速率加快,A符合题意;
选项B.加入少量异丙胺
选项C. 加入少量固体硼酸
选项D.增大体系压强,忽略体积变化,则气体浓度不变,化学反应速率不变,D不符合题意;
某小组采用如下实验流程制备
已知:
请回答:
(1)如图为步骤I的实验装置图(夹持仪器和尾气处理装置已省略),图中仪器A的名称是_______,判断步骤I反应结束的实验现象是_______。
(2)下列做法不正确的是_______。
A. 步骤I中,反应物和溶剂在使用前除水
B. 步骤I中,若控温加热器发生故障,改用酒精灯(配石棉网)加热
C. 步骤Ⅲ中,在通风橱中浓缩至蒸发皿内出现晶膜
D. 步骤Ⅳ中,使用冷的正己烷洗涤
(3)所得粗产品呈浅棕黄色,小组成员认为其中混有碘单质,请设计实验方案验证_______。
(4)纯化与分析:对粗产品纯化处理后得到产品,再采用银量法测定产品中




①从下列选项中选择合适的操作补全测定步骤_______。
称取产品



a.润洗,从滴定管尖嘴放出液体
b.润洗,从滴定管上口倒出液体
c.滴加指示剂
d.滴加指示剂硫酸铁铵
e.准确移取
f.滴定至溶液呈浅红色
g.滴定至沉淀变白色
②加入稀酸B的作用是_______。
③三次滴定消耗

正确答案
(1) ①. 球形冷凝管 ②. 溶液由紫红色恰好变为无色(或溶液褪为无色)
(2)BC
(3)取少量粗产品置于少量冷的正己烷中充分搅拌,静置后,取少量上层清液,向其中滴加淀粉溶液,观察液体是否变蓝,若变蓝则其中混有碘单质,否则没有
(4) ①.a e d f ②.抑制
解析
由流程信息可知,铝、碘和正己烷一起加热回流时,铝和碘发生反应生成
(1)由实验装置图中仪器的结构可知,图中仪器A的名称是球形冷凝管,其用于冷凝回流;碘溶于正己烷使溶液显紫红色,
(2)选项A.
选项B.使用到易烯的有机溶剂时,禁止使用明火加热,因此在步骤I中,若控温加热器发生故障,不能改用酒精灯(配石棉网)加热,B不正确;
选项C.
选项D.
综上所述,本题选BC。
(3)碘易溶于正己烷,而
(4)①润洗时,滴定管尖嘴部分也需要润洗;先加











②




③由滴定步骤可知,












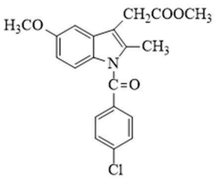
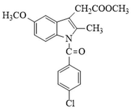
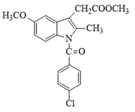
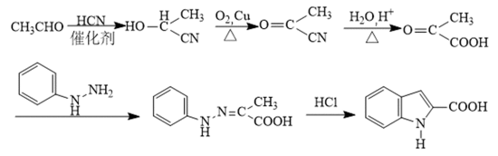
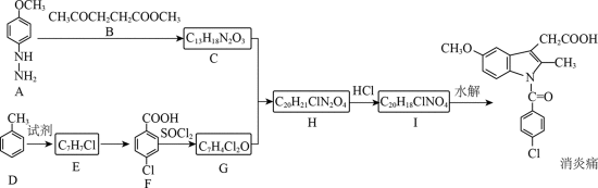
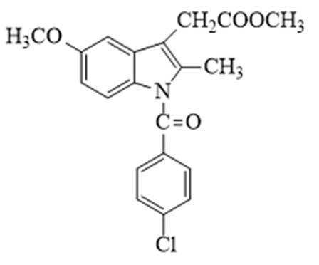
某研究小组按下列路线合成抗炎镇痛药“消炎痛”(部分反应条件已简化)。
已知:
请回答:
(1)化合物F的官能团名称是_______。
(2)化合物G的结构简式是_______。
(3)下列说法不正确的是_______。
A. 化合物A的碱性弱于
B. 
C. 
D. “消炎痛”的分子式为
(4)写出
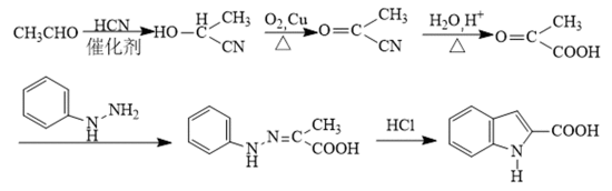
(5)吗吲哚-2-甲酸(


(6)写出4种同时符合下列条件的化合物B的同分异构体的结构简式_______。
①分子中有2种不同化学环境的氢原子;
②有甲氧基
正确答案
(1)羧基、氯原子
(2)
(3)AD
(4)
(5)
(6)




解析
A与B发生类似已知







(1)由F的结构可知,F的官能团为羧基、碳氟键;
(2)由分析得,G为
(3)选项A.

选项B.
选项C.D→E是甲苯甲基对位上的H被Cl取代,试剂可为
选项D.由“消炎痛”的结构可知,分子式为
故选AD;
(4)H(



(5)乙醛与HCN加成得到











(6)B为





















































































































































