试卷目录
1、单选题
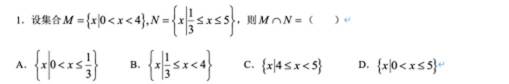
1
2
3
4
5
6
7
8
9
10
11
12
2、填空题
13
3、简答题
14
15
单选题
本大题共12小题,每小题5分,共60分。在每小题给出的4个选项中,有且只有一项是符合题目要求。
1
题型:
单选题
|
分值: 5分
正确答案
B
1
题型:
单选题
|
分值: 5分
正确答案
C
1
题型:
单选题
|
分值: 5分
正确答案
B
1
题型:
单选题
|
分值: 5分
正确答案
C
1
题型:
单选题
|
分值: 5分
正确答案
A
1
题型:
单选题
|
分值: 5分
正确答案
D
1
题型:
单选题
|
分值: 5分
正确答案
B
1
题型:
单选题
|
分值: 5分
正确答案
B
1
题型:
单选题
|
分值: 5分
正确答案
A
1
题型:
单选题
|
分值: 5分
正确答案
C
1
题型:
单选题
|
分值: 5分
正确答案
A
1
题型:
单选题
|
分值: 5分
正确答案
D
填空题
本大题共1小题,每小题20分,共20分。把答案填写在题中横线上。
1
题型:填空题
|
分值: 20分
正确答案
简答题(综合题)
本大题共70分。简答应写出文字说明、证明过程或演算步骤。
1
题型:简答题
|
分值: 60分
正确答案
1
题型:简答题
|
分值: 10分
正确答案
略
















