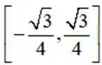
设全集


正确答案
“x为整数”是“2x+1为整数”的( )条件
正确答案
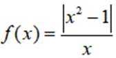
函数
正确答案
为研究某药品的疗效,选取若干名志愿者进行临床试验,所有志愿者的舒张压数据(单位:

正确答案
已知
正确答案
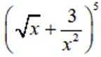
化简
正确答案
已知抛物线



正确答案
如图,“十字歇山”是由两个直三棱柱重叠后的景象,重叠后的底面为正方形,直三棱柱的底面是顶角为
正确答案
已知
①


③当


④


以上四个说法中,正确的个数为( )
正确答案
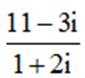
已知i是虚数单位,化简
正确答案


正确答案
15
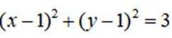
直线

正确答案
2
52张扑克牌,没有大小王,无放回地抽取两次,则两次都抽到A的概率为___________;已知第一次抽到的是A,则第二次抽取A的概率为____________.
正确答案

在






正确答案

设


正确答案
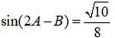
在

(1)求c的值;
(2)求
(3)求
正确答案
(1)
(2)
(3)
直三棱柱




(1)求证:
(2)求直线BE与平面
(3)求平面

正确答案
(1)证明: 在直三棱柱








空间直角坐标系,
则 A(2,0,0)、B(2,2,0)、C(2,0,2)、 



则





(2)
(3)
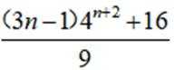
设


(1)求

(2)设


(3)求
正确答案
(1)
(2)证明:因为






(3)
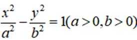
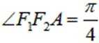
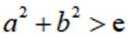
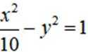
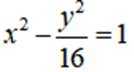
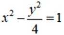
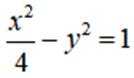
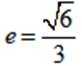
椭圆

(1)求椭圆的离心率e;
(2)直线l与椭圆有唯一公共点M,与y轴相交于点N(N异于M).记O为坐标原点,若


正确答案
(1)
(2)
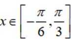
已知

(1)求函数
(2)若
(i)当
(ⅱ)求证:
正确答案
(1)
(2)(i)

































