- 真题试卷
- 模拟试卷
- 预测试卷
文物见证历史,化学创造文明。东北三省出土的下列文物据其主要成分不能与其他三项归为一类的是
正确答案
解析
A.金银盏属于合金,B.玻璃注属于硅酸盐,C.白玉属于硅酸盐,D.陶罐属于硅酸盐,故选A.
下列化学用语或表述正确的是
正确答案
解析
下列实验操作或处理方法错误的是
正确答案
解析
B.金属K着火,用沙土掩埋 故选B.
正确答案
解析
家务劳动中蕴含着丰富的化学知识。下列相关解释错误的是
正确答案
解析
B.酒曲为蛋白质,乙醇防止蛋白质变性 故选B.
正确答案
解析
如下图所示的自催化反应,Y作催化剂。下列说法正确的是
正确答案
解析
下列实验方法或试剂使用合理的是
正确答案
解析
选项A.正确
选项B.H2S干扰
选项C.反应产生氢气无需过滤
选项D.次氯酸根强氧化性
故选A.
环六糊精(D-吡喃葡萄糖缩合物)具有空腔结构,腔内极性较小,腔外极性较大,可包合某些分子形成超分子。图1、图2和图3分别表示环六糊精结构、超分子示意图及相关应用。下列说法错误的是
正确答案
解析
选项B.可水解出2~10mol单糖,故选B.
异山梨醇是一种由生物质制备的高附加值化学品:150℃时其制备过程及相关物质浓度随时间变化如图所示,15h后异山梨醇浓度不再变化。下列说法惜误的是
正确答案
解析
如下反应相关元素中,W.X,Y、Z为原子序数依次增大的短周期元素,基态X原子的核外电子有5种空间运动状态,基态Y、z原子有两个未成对电子,Q是ds区元素,焰色试验呈绿色。下列说法错误的是
正确答案
解析
因为选项D.配位原子为N,故选D.
正确答案
解析
正确答案
解析
某锂离子电池电极材料结构如图。结构1是钴硫化物晶胞的一部分,可代表其组成和结构;晶胞2是充电后的晶胞结构:所有品胞均为立方晶胞。下列说法错误的是
正确答案
解析
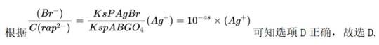
下列说法错误的是
正确答案
解析
(14分)
回答下列问题:
(1)北宋时期我国就有多处矿场利用细菌氧化形成的天然“胆水”冶炼铜,“胆水”的主要溶质为____(填化学式).
(2)
(3)
(4)“焙烧氧化”也可提高“没金”效率,相比“焙烧氧化”,“细菌氧化”的优势为____(填标号).
A.无需控温
B.可减少有害气体产生
C.设备无需耐
D.不产生废液废渣
(5)
(6)
(7)
正确答案
解析
(1)炼铜的主要溶质是硫酸铜。
回答下列问题:
(1)
(2)甲基紫和变色硅胶的颜色变化均可指示反应进程,变色硅胶吸水,除指示反皮进程外,还可___。
(3)使用小孔冷凝柱承载,而不向反应液中直接加入变色硅胶的优点是___(填标号)
A.无需分离
B.增大读反应平街常数
C.起到沸石作用,防止暴沸
D.不影响甲基紫指示反应进程
(4)下列仪器中,分离有机相和洗涤有机相时均需使用的是____(填名称)。
(5)该实验乙酸乙酯的产率为____(精确至0.1%)。
(6)
正确答案
(1)催化,安全
(2)吸收水,控制反应速率
(3)AD
(4)分液漏斗
(5)73.5%
解析
(1)硫酸氢钠在反应中起催化作用,提供酸性环境。其优点为安全。
(2)硅胶具有吸水性质,可以控制反应速率。
(3)使用小孔冷凝柱承载起到沸石作用,防止爆沸。不影响甲基紫指示反应进程。
(4)分离有机相和洗涤有机相时均需使用分液漏斗。
(5)
回答下列问题:
(1)
(2)
(3)
A.增大HCI的流速
B.
C.
D.使用更高效的催化剂
(4)
(5)
(6)
正确答案
(1)<;360
(2) 285.8
(3)BCD
(4)反应未达到平衡
(5)6
(6)101
解析
特戈拉赞(化合物K)是抑制胃酸分泌的药物,其合成路线如下:
已知
回答下列问题:
(1)B中含氧官能团只有醛基,其结构简式为__
(2)G中含氧官能团的名称为____和____.
(3)
(4)D的同分异构体中,与D官能团完全相同,且水解生成丙二酸的有____种(不考虑立体异构)
(5)
(6)















































































